「链表/双指针」leetcode 141.环形链表(简单)

119 阅读2分钟

小知识,大挑战!本文正在参与“程序员必备小知识”创作活动。

一、了解题目

附上原题链接:141. 环形链表

给定一个链表,判断链表中是否有环。

如果链表中有某个节点,可以通过连续跟踪 next 指针再次到达,则链表中存在环。 为了表示给定链表中的环,我们使用整数 pos 来表示链表尾连接到链表中的位置(索引从 0 开始)。 如果 pos-1,则在该链表中没有环。注意:pos 不作为参数进行传递,仅仅是为了标识链表的实际情况。

如果链表中存在环,则返回 true 。 否则,返回 false

示例:

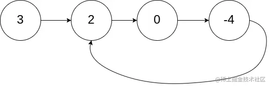
img

输入:head = [3,2,0,-4], pos = 1
输出:true
解释:链表中有一个环,其尾部连接到第二个节点。

二、题解分析

(1)解题思路

  • 两个人在圆形操场上的起点同时起跑,速度快的人一定会超过速度慢的人一圈;
  • 一快一慢两个指针遍历链表,如果指针能够相逢,那么链表就有圈。

(2)解题步骤

  • 一快一慢两个指针遍历链表,如果指针能够相逢,就返回 true
  • 遍历结束后,还没有相逢就返回 false

三、代码实现

依据上面的题解,我们将用 js 来实现这道题。具体实现代码如下:

/**
 * Definition for singly-linked list.
 * function ListNode(val) {
 *     this.val = val;
 *     this.next = null;
 * }
 */
/**
 * @param {ListNode} node
 * @return {void} Do not return anything, modify node in-place instead.
 */
var hasCycle = function(head) {
    // 1.定义一个p1指针,指向头结点
    let p1 = head;
    // 2.定义一个p2指针,指向头结点
    let p2 = head;
    // 3.假设P1是走的慢的值,P2是走的快的值
    // 3.所以只有p2有下一个节点,则说明走在它后面的p1也是存在下一个节点的
    while(p1 && p2 && p2.next){
        // 3.1 p1走一圈
        p1 = p1.next;
        // 3.2 p2走两圈
        p2 = p2.next.next;
        // 3.3 当p1和p2相等时,则说明他们相遇了,说明有环;此时返回true
        if(p1 === p2){
            return true;
        }
    }
    // 4.否则返回false
    return false;
};

以上就是关于环形链表的题解,不知道对小伙伴们是否有帮助呢?

我们下期见👋👋👋