「链表」leetcode 83. 删除排序链表中的重复元素(简单)

281 阅读2分钟

小知识,大挑战!本文正在参与“程序员必备小知识”创作活动。

一、了解题目

附上原题链接:83. 删除排序链表中的重复元素

存在一个按升序排列的链表,给你这个链表的头节点 head ,请你删除所有重复的元素,使每个元素 只出现一次

返回同样按升序排列的结果链表。

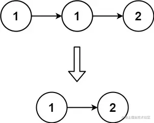
示例:

img

输入:head = [1,1,2]
输出:[1,2]

二、题解分析

(1)解题思路

  • 因为链表是有序的,所以重复元素一定相邻;
  • 遍历链表,如果发现当前元素和下个元素值相同,就删除下个元素值。

(2)解题步骤

  • 遍历链表,如果发现当前元素和下个元素值相同,就删除下个元素的值;
  • 遍历结束后,返回原链表的头部。

三、代码实现

依据上面的题解,我们将用 js 来实现这道题。具体实现代码如下:

/**
 * Definition for singly-linked list.
 * function ListNode(val, next) {
 *     this.val = (val===undefined ? 0 : val)
 *     this.next = (next===undefined ? null : next)
 * }
 */
/**
 * @param {ListNode} head
 * @return {ListNode}
 */
 var deleteDuplicates = function(head) {
    //  1.定义一个p指针,指向头结点
    let p = head;
    // 2.判断条件:当前节点和当前节点的下一个节点存在
    while(p && p.next){
        // 2.1 当前节点的值和下一个节点的值一样
        if(p.val === p.next.val){
            // 2.1.1 将当前节点的下一个指针指向下下个节点的指针,这样就将下一个元素进行删除
            p.next = p.next.next;
        }
        // 2.2 如果值不一样时,那么将当前节点继续指向下一个节点,继续进行下一轮比较
        else{
            p = p.next;
        }
    }
    // 3.返回p指针的内容
    return head;
};

以上就是关于删除排序链表中的重复元素的题解,不知道对小伙伴们是否有帮助呢?

我们下期见👋👋👋