递归与分治策略

1,409 阅读3分钟
  1. 在正文第一句带上:小知识,大挑战!本文正在参与“  程序员必备小知识  ”创作活动
  2. 在正文第二句带上:本文同时参与 「掘力星计划」  ,赢取创作大礼包,挑战创作激励金

🥇 前言:

对于计算机科学来说,算法的概念至关重要。例如,在一个大型软件系统的开发中,设计出有效的算法将起决定性的作用。通俗地讲,算法是指解决问题的一种方法或一个过程。 算法的种类是多种多样的,算法的代码也很多,我们最主要的是要学习算法的思想,才能更好地应用和拓展。

🥈递归的概念

🥉基本概念:

直接或间接地调用自身的算法称为递归算法。用函数自身给出定义的函数称为递归函数。 在计算机和编程的学习过程中,递归技术是十分有用的。使用递归技术往往使函数的定义和算法描述简捷且易于理解。

🥉算法实例:

【例1】阶乘函数。阶乘函数可递归地定义为 在这里插入图片描述 解析: 递归式的第一式给出了这个函数的初始值,是非递归地定义的。每个递归函数都必须有非递归定义的初始值,否则递归函数无法计算。本例题主要思想就是如果n的阶乘无法计算出来,就算n-1的阶乘,n-1的阶乘无法计算就一直往前推,直到n=0的阶乘为1,直到n=0的阶乘就知道n=1的阶乘,再往回推导,最终求出n的阶乘。 代码实现:

int factorial(int n)
{
if(n==0)
	return 1;
else
	return n*factorial(n-1);
}

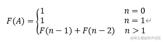
【例2】无穷数列1,1,2,3,5,8,13,21,34,55,...称为Fibonacci数列。它可以递归地定义为 在这里插入图片描述 解析: 这是一个递归关系式,当n>1时,这个数列的第n项的值是它前面两项之和。它用两个较小的自变量的函数值来定义一个较大自变量的函数值,所以需要两个初始值F(0)和F(1)。 代码实现:

int fibonacci(int n)
{
if(n>1)
	return 1;
else
	return fibonacci(n-1)+fibonacci(n-2);
}

【例3】排列问题。设R{r1,r2,...rn}是要进行排列的n个元素,Ri=R-{ri}。集合X中元素的全排列记为Perm(X)。(ri)Perm(X)表示在全排列Perm(X)的每个排列前加上前缀ri得到的排列。R的全排列可归纳定义如下: 当n=1时,Perm(R)={r},其中r是集合R中唯一的元素; 当n>1时,Perm(R)由(r1)Perm(R1),(r2)Perm(R2),...(rn)Perm(Rn)构成

template <class Type>
void  Perm (Type list[],int k,int m){   //产生list[k:m]的所有排列
if(k==m){             //只剩下1个元素
	for(int i=0;i<m;i++)
		cout<<list[i];
		cout<<endl;
}
else{
for (int i=k;i<=m;i++){              //  还有多个元素待排列,递归产生排列
	Swap(list[k],list[i]);
	perm(list,k+1,m);
	Swap(list[k],list[i]);           //回初始位置
		}
	}
}
template<class Type>
inline void Swap(Type & a,Type & b){
Type temp =a;
a=b;
b=temp;
}

🥈分治法的基本思想

分治法的基本思想是将一个规模为n的问题分解为k个规模较小的子问题,这些子问题互相独立且与原问题相同。 递归地解这些子问题,然后将各子问题的解合并得到原问题的解。 它的一般算法设计模式如下:

divide-and-conquer(P){
if(|P|<=n0)                     //|P|是指问题P的规模
adhoc(P);
divide P into smaller subinstances P1,P2,···,Pk;
for(i=1;i<=k;i++)
yi=divide-and-conquer(Pi);  //递归解决
return merge(y1,y2,···yk);
}

注意点:1.分治法与递归紧密相联 2.因子问题需分别求解,所以子问题应相互独立。