进制之间的相互转换

156 阅读1分钟

一、(二、八、十六)转换为十进制

n代表二、八、十六

(1100)n  转换为10进制     0*n^0+0*n^1+1*n^2+1*n^3=12

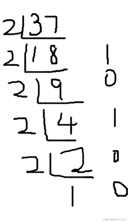
二、十进制转换为(二、八、十六)进制

二进制转换为十进制  其他进制同理,将2换成进制数(八进制转换,将2变为8)        

  余数倒着写  100101   

二进制转换为八进制

八进制转换为二进制

二进制转换为十六进制

十六进制转换为二进制

八进制转换为十六进制

十六进制转换为八进制