☆打卡算法☆LeetCode 19、四数之和 算法解析

103 阅读2分钟

小知识,大挑战!本文正在参与“程序员必备小知识”创作活动。

推荐阅读

大家好,我是小魔龙,Unity3D软件工程师,VR、AR,虚拟仿真方向,不定时更新软件开发技巧,生活感悟,觉得有用记得一键三连哦。

一、题目

1、算法题目

“删除给定链表的第n个节点,并返回链表的头结点。”

题目链接:

来源:力扣(LeetCode)

链接:19. 删除链表的倒数第 N 个结点 - 力扣(LeetCode) (leetcode-cn.com)

2、题目描述

给你一个链表,删除链表的倒数第 n **个结点,并且返回链表的头结点。

进阶: 你能尝试使用一趟扫描实现吗?

image.png

示例 1:
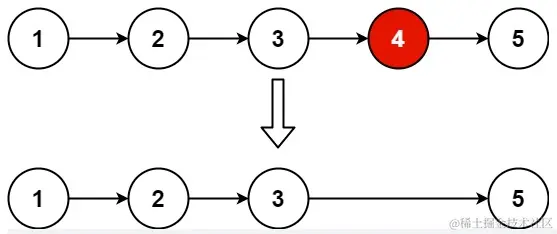
输入: head = [1,2,3,4,5], n = 2
输出: [1,2,3,5]
示例 2:
输入: head = [1], n = 1
输出: []

二、解题

1、思路分析

这道题,如果我们要删除节点y,我们需要知道节点y的前节点x,并将x的指针指向y的后节点,但是,因为头结点没有前节点,所以在删除头结点的时候需要进行处理。

可以在头结点前设置一个哑结点(dummy node),这样头结点的前节点就是哑结点了。

2、代码实现

链表没有头节点,那么弄一个头节点这个问题就简化掉了,然后让一个快指针先走n步,代码参考:

public class Solution {
    public ListNode RemoveNthFromEnd(ListNode head, int n) {
                ListNode preHead = new ListNode();
                preHead.next = head;
                ListNode pre, end;
                pre = preHead;
                end = preHead;

                for (var i = 0; i < n; i++)
                {
                    end = end.next;
                }
                while (end.next != null)
                {
                    pre = pre.next;
                    end = end.next;
                }
                // Remove
                pre.next = pre.next.next;               
                return preHead.next;
    }
}

image.png

3、时间复杂度

时间复杂度 : O(L)

其中L是链表的长度。

空间复杂度: O(1)

三、总结

比较简便的方法就是从头节点开始遍历,得到链表长度L。

随后遍历到第L-n+1个节点的时候,就是我们需要删除的节点。