【JS浮点数】常见的JS浮点数精度问题及原理

11,020 阅读4分钟

起因

最近在项目线上环境中收集到客户反馈数值输入后展示值少了0.01,收到反馈后立刻定位代码中问题所在,原因就是上一个版本中此数值输入框改成非四舍五入截取两位小数,使用的方法是

Math.floor(floatNum*100)/100

这个看似没有什么问题的方法当floatNum的值为1.15时,就出现了 Js 浮点数精度引起的异常情况,看下图。

image.png

可以看到 1.15*100 在 Js 中计算结果并非为 115而是114.99999999999999,由此通过 Math.floor()向下取整并除以100时得到的最终结果是1.14,与预期结果正好相差0.01

定位到问题所在后立刻进行修复,决定抛弃的浮点数计算的方式,使用转换成字符串截取的方案。

/**
  * 保留小数(不四舍五入)
  * @param floatNum 输入值
  * @param decimal 保留浮点数精度位数
  */
formatDecimal(floatNum, decimal) {
    let result = floatNum.toString();
    const index = result.indexOf('.');
    if (index !== -1) {
      result = result.substring(0, decimal + index + 1);
    } else {
      result = result.substring(0);
    }
    return parseFloat(result);
  }

在问题解决后,决定对 Js 浮点数进行梳理,并列举一些可能遇到的精度问题。

Js 浮点数

标准与储存方式

Js 没有单独的浮点型,浮点数与整数都是通过 Number 类型表示,是遵循 IEEE754标准的 64 位双精度值,在二进制中 64 位由三个部分组成。

  • sign bit(符号S):用来表示正负号,0代表正数,1代表负数

  • exponent(指数E):用来表示次方数,中间11位

  • mantissa(尾数M):用来表示精确度, 超出的部分自动进一舍零,最后52位

image.png

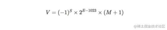
在二进制的科学记数法中,IEEE754标准的 64 位双精度值数字被公式表示为:

image.png

在十进制的科学记数法中 1 <= M < 10,同理在二进制科学记数法中 1 <= M < 2,所以 M 的整数部分只能是 1, 可以舍去,M 只存储后面小数部分。指数 E 是 11 位,在大能表示的数是 2047 (2^11 - 1),由于指数包含正与负,所以取中间值 1023 临界值,[1024, 2047] 表示正指数,[0, 1022] 表示负指数。

以 4.5 为例转换成二进制是 100.1,用二进制科学记数法表示就是 1.001 * 2^2。 代入公式 1.001 舍去 1 尾数 M 是 001,指数 E 是 2 + 1023 = 1025 (二进制 10000000001),正数 S 取 0,所以组合在一起 4.5 在 IEEE754 双精度64位标准表示如下。

image.png 图片源自于binaryconvert

哪些常见的精度问题及背后原理

明白了 Js 中浮点数的标准与储存方式,再回到实际场景中看看有哪些常见的浮点数精度问题极其原因。

场景一 0.1 + 0.2 != 0.3

0.1、0.2 以及相加的和的二进制表示如下

0.1 -> 0.0001 1001 1001 1001 1001 1001 1001 1001 1001 1001 1001 1001 1001 1010 (1001循环 进一舍零)
0.2 -> 0.0011 0011 0011 0011 0011 0011 0011 0011 0011 0011 0011 0011 0011 010 (0011循环 进一舍零)
相加 -> 0.0100 1100 1100 1100 1100 1100 1100 1100 1100 1100 1100 1100 1100 111

相加所得的值转换成十进制恰好为 0.30000000000000004

(十进制小数转化为二进制小数计算方式)

(十进制小数转化为二进制小数计算工具)

场景二 (1.335).toFixed(2) == 1.33

浮点数精度和 toFixed 其实属于同一类问题,都是由于浮点数无法精确表示引起的,如下:

(1.335).toPrecision(20);    // "1.3349999999999999645"

toFixed() 方法实则是对 1.3349999999999999645 四舍五入保留两位小数

场景三 大数问题61453901951867050 + 5 == 61453901951867060

因为 Javascript 的数字存储使用了 IEEE 754 中规定的双精度浮点数数据类型,而这一数据类型能够安全存储 (2^53 - 1) 到 -(2^53 - 1) 之间的数值(包含边界值)。

Number.MAX_SAFE_INTEGER === Math.pow(2, 53) - 1 // true 最大安全整数
Number.MIN_SAFE_INTEGER === -(Math.pow(2, 53) - 1) // true 最小安全整数

这里安全存储的意思是指能够准确区分两个不相同的值,例如:

Number.MAX_SAFE_INTEGER + 1 === Number.MAX_SAFE_INTEGER + 2 // true

将得到 true 的结果,而这在数学上是错误的 因为遵循 IEEE754 标准 JavaScript 中最大的安全整数 Number.MAX_SAFE_INTEGER

在场景三中,其数值 61453901951867050 超过最大安全整数,导致相加结果不准确。

61453901951867050 > Number.MAX_SAFE_INTEGER // true

解决精度问题的方案

假如我们要判断 0.1 + 0.2 是否等于 0.3

可以判断两边之差的绝对值是否小于 Number.EPSILON(浮点数之间最小差,如下:

Math.abs(0.1 + 0.2 - 0.3) < Number.EPSILON // true

若小于 Number.EPSILON 则认为等式成立。

但这种方式只能判断两边等式是否成立,如需要计算浮点数的精确计算值还需要利用其他方法。

目前社区已经有了很多较为成熟的库,比如 bignumber.jsdecimal.js,以及 big.js 等。我们可以根据自己的需求来选择对应的工具。这些库不仅解决了浮点数的运算精度问题,还支持了大数运算,并且修复了原生 toFixed 结果不准确的问题。

结语

感谢阅读,若有不足,欢迎指正。

提前祝 XDM 1024 节快乐~

参考文献

Wikipedia-IEEE754

老生常谈之js浮点数精度

JS中浮点数精度问题