基于哈夫曼编码对文件进行压缩和解压缩(详细讲解)

3,131 阅读12分钟

小知识,大挑战!本文正在参与“程序员必备小知识”创作活动。

一、背景

利用特定的算法来压缩数据的工具,压缩后生成的文件称为压缩包。如果想使用其中的数据,就得用压缩软件对数据进行解压。利用压缩软件对文件中重复的数据进行压缩,可以减小文件中的字节总数,常用的压缩软件有rar、zip等。

二、编码介绍

2.1 等长编码

任何文件在计算中都是以字节为最小单位进行存储的,所以可以把任何文件看作是利用8位(一个字节)作为等长编码编码方式,编码而成的文件。往往这种编码方式并不是最优的编码方式。

例如:对电文“ababababaaaccd”利用8位的ASCII码进行等长编码,其编码如下:

原文字符等长编码
a01100001
b01100010
c01100011
d01100100

则源文件存储的编码为(注:为便于察看,在每个字符编码之间添加了空格,实际编码时没有这个空格):

01100001 01100010 01100001 01100010 01100001 01100010 01100001 01100010 01100001 01100001 01100001 01100011 01100011 01100100

可以计算出上述纯文本文件的编码长度为14个字节112位(注:当文件的大小不足1K,操作系统也会给它分配1K的存储空间)

2.2 哈夫曼编码

同样地,如果对电文“ababababaaaccd”进行哈夫曼编码,则其编码方式如下:

原文字符字符频度哈夫曼编码
a70
b410
c2110
d1111

则源文件可以利用哈夫曼编码,编码为:0 10 0 10 0 10 0 10 0 0 0 110 110 111 可以计算出上述编码长度为24位,共需要3个字节(注:计算机以字节为单位,所以当存储哈夫曼编码的时候,若编码长度不是8的倍数时,最后一个字节需要补充为一个字节)

三、功能描述

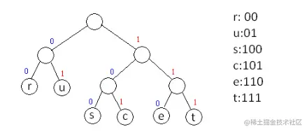
对文本文件、图像文件重新编码。统计文件中256种不同字节重复的次数,以每种字节重复的次数作为权值(weight),构造一棵最多具有256个叶子结点的二叉树,使得带权路径长度达到最小,即Huffman树。给Huffman树上的所有叶子节点编码,形成的编码就是哈夫曼编码,类似如下图所示。

在这里插入图片描述

使用Huffman编码对原文件中的字节重新编码。重复次数较多的字节,Huffman编码的长度较短。原文件中每个字节的编码长度都是8位,而重复次数较多的字节的Huffman编码,长度比8位短得多,因此可能实现压缩。为了能够还原,保存压缩文件时应添加相应的文件信息,以达到解压的功能。

四、设计步骤

本方法需要通过读取文件,生成一棵带权的二叉树。树在程序中可以用链式、顺序结构两种方式。由于这里构造的Huffman树的叶子节点数为256,因此空间固定,这里介绍用顺序结构表示二叉树。

4.1 定义存储结构

主要是结构的定义及函数的声明、实现。定义一个结构体HuffNode表示二叉树的结点,记录每个结点的字节值、权值、父节点、左孩子、右孩子及该节点的哈夫曼编码,可参考下面的结构。

在这里插入图片描述

定义哈夫曼树结构,它是一个HuffNode结构体数组,定义如: HuffNode HuffTree[512]

数组存储这棵哈夫曼树的所有结点及逻辑关系,其中前256个元素存储Huffman树的叶子结点,其余存储的是非叶子结点。 说明:

  • 一个字节可采用unsigned char表示,同时也可表示该字节位于数组的下标,如十六进制为0x00,转化成int即为0,故数组下标为0表示字节00的信息。
  • 由于叶子结点为256个,非叶子结点为255,所以编码长度不可能超过256。

4.2 读写文件

本程序将使用二进制字节流的方式来读、写bmp文件。通过读取文件,统计256种字节出现的次数。文件正常打开后,可以逐字节读取文件数据,统计文件中出现的总字节数,及256种字节出现的次数,将其保存哈夫曼树相应的叶子结点权值(出现的频率)。

4.3 创建Huffman树

4.3.1 初始化

对树进行初始。由于Huffman树的结点不会超过512,可以采用顺序存储结构,初始数组HuffTree[512]中所有元素包括以下信息:

  • b(节点表示的字节):节点表示的字节值,初始可为’\0’。
  • count(权值):前面读文件时已统计,此处无需统计。
  • parent(父节点):此时哈夫曼树未建立,故设为-1。
  • lchild(左孩子):此时哈夫曼树未建立,故设为-1。
  • rchild(右孩子):此时哈夫曼树未建立,故设为-1。
  • bits数组(结点对应的哈夫曼编码):此时哈夫曼树并未建立,可不设置或bits[0]为’\0’。

4.3.2 选择叶子节点

图片中可能会出现256种字节,但可能某些字节并未出现,因此判断HuffTree数组前256个元素有权值的元素,让这些元素做为Huffman树的叶子结点,其它的颜色不参于树的生成,提高效率。

可采用排序,将HuffTree数组前256个元素按权值从大到小排序,从而找到有权值的元素个数,记录叶子节点的个数,得到哈夫曼树的总结点数。

4.3.3 生成Huffman树

每次选HuffTree数组中权值最小的两个元素,其中最小值作为树的左孩子,次小值做为树的右孩子,并将该树的根结点作为Huffuman树的非叶子结点。为了保存它们之间的逻辑关系,需保存以下信息:

  • 设置左、右孩子的parent
  • 将根结点的权值设置为左、右孩子权值之和
  • 设置根结点的lchild、rchild

具体原理可参考如下讲解:

假设初始有4个节点{d,c,b,a},其权值分别为{1,2,4,7},初始时哈夫曼树存储结构:

在这里插入图片描述

在这里插入图片描述

A 、 在parent值是-1的结点中选取count值最小的两个结点进行合并,可以规定最小的合并为左孩子,第二小值合并为右孩子,合并生成的根结点的count值为左右孩子权值之和。

在这里插入图片描述

在这里插入图片描述

B、重复上述过程,直到所有结点合并成一棵树

在这里插入图片描述

在这里插入图片描述

(备注:从存储哈夫曼树的结构体数组的最终结果中可以看出,parent=-1,表示该结点是整棵树的根结点,lch=-1和rch=-1则表示该结点是叶子结点。)

4.4 Huffman编码

创建好哈夫曼树需将所有叶子结点(共n个)进行哈夫曼编码,即按顺序生成0x00~0xff中的n个字节(n<=256)对应的Huffman编码。哈夫曼树从根到每个叶子都有一条路径,对路径上的各分支约定指向左子树分支编码为0,右子树分支编码为1,从根到每个叶子相应路径上的0和1组成的序列就是这个叶子节点的编码。

实现思想:可从叶子结点出发去判断分支编码为0或为1,当到达根结点时编码结束。初始时字符数组bits只有一个结束符。

举例:若文本文件存储信息:'ABBCCCDDDD', 原本文件每个字符存占一个字节,共10字节。 哈夫曼编码之后,若A的编码为 '100' ,B 为 '101' ,C为 '11' ,D 为 '0' ,则原文本信息哈夫曼编码为:10010110,11111110,000,若哈夫曼编码即为写入的二进制内容,此处只需要3个字节,达到压缩的效果。

4.5 压缩文件

4.5.1 压缩文件数据

写入压缩文件的内容不仅只是原文件字节对应的哈夫曼编码,还需要写入其它辅助信息。压缩文件的内容可参考如下图所示。

在这里插入图片描述

4.5.2 编码原文件

A、以二进制流方式只读打开原文件,逐字节读取文件中的数据,使用Huffman编码对原文件中的字节重新编码,获得压缩后的文件数据,保存在字符数组buf中。

B、拆分buf数组保存字节对应的哈夫曼编码,因此重新编码后的数据可能是一个很长的字符串,因此统计buf当前的长度。分以下两种情况处理。

  • 如果大于等于8,则进行拆分。每长度为8的字符串转成一字节,写入压缩文件。
  • 如果小于8,若文件中还可以读取字节,则等待下一个字节的编码。否则,如果文件的最后一个字节已读取,buf的长度仍不足8,则补0凑满一字节,写入压缩文件。

举例:A的编码为 '100' ,B 为 '101' ,C为 '11' ,D 为 '0' ,读取原文件的内容“ABBCCCDDDD” 读取A,得到buf=”100”,不够8位,读取B,buf=”100101”,不够8位,继续读入B,buf=”100101101”,此时buf的长度超过8位,则需要将buf的前8个字符”10010110”转换成二进制10010110,将8位二进制写入文件。之后buf=”1”(即舍去已处理的8位),等待读取原文件的其他内容,同样处理。

C、字符串转码 将长度为8的字符串转成相应的8位的二进制。利用左移位<< 操作完成字符串转成相应的二进制。

举例:用一个unsigned char类型的变量c表示一个8位二进制,初始为00000000,根据字符串的编码进行相应处理,若读入的编码是1,则将c左移一位并与1按位或,若读入的编码是0,则直接将c左移一位。 举例:如字符串“1001001”转成二进制1001001(一字节)

在这里插入图片描述

D、写入压缩文件 把长度为8的编码转成二进制(一个字节)写入压缩文件。

E、补0 当文件读完,buf中的内容不足一个字节,则需要补0,再对哈夫曼编码位操作,把最后一个字节写入压缩文件。

4.5.3 写入剩余文件信息

上一步已把原文件所有字节对应的Huffman编码写入压缩文件。接下来写入的文件信息包括压缩后文件的长度(字节数),叶子结点的数目,每个字节的值、对应的编码长度及相应的huffman编码。 注意:每次写入都是字节的n倍,因此,huffman编码长度不为8的倍数时,则补足0。

举例:比如某字节编码若为110,则补0变成11000000    编码若为01010101 10,则补0变为01010101 10000000

具体步骤如下:

  1. 设置好压缩文件指针,并写入文件长度,节点总数信息
  2. 写入huffman树中的n个叶子结点的信息,包括每个字符值、对应的哈夫曼编码位数及哈夫曼编码
  3. 计算压缩百分比

4.6 解压文件

经过前面的开发,.bmp的图片文件已经压缩成了.huf文件,之后设计解压文件步骤

4.6.1 文件操作

以二进制方式读取.huf文件,打开写入的解压缩文件。

4.6.2 扫描文件信息生成Huffman树和Huffman编码表

A、读取文件信息,并将文件指针定位好为下面构造树做准备。

B、重构Huffman树及Huffman编码 利用压缩文件中的n个叶子节点的信息重新构造树。在此过程中每次取出一个字节,需要将一个字节转化为8个“01”字符。可以使用itoa函数进行转换,但不足8位要进行补0。

4.6.3 将Huffman编码转换成对应的字符完成解压

A、根据编码长度将结点排序 由于Huffman编码的长度不一,为了能保证最长的Huffman编码能正确转换,因此先求出最长的Huffman编码。当取出的字符个数大于等于最长的编码长度,保证可以转换。这里利用排序算法将前n个结点排序,编码短的在前面,最长的编码在HuffTree数组下标为n-1的位置。

B、定位文件指针,读取压缩文件中原文件的对应的Huffman编码信息。 每次读取一字节转成8个“01”字符后暂存在字符数组bx中,直到bx的长度大于等于huffman编码的最大长度,才将相应的编码转化成相应的字节值。 需要注意的是:这里读取一字节利用itoa函数转换,如长度不足8位要在前面补足0(同上)。

C、将Huffman编码转换成对应的字节。 当暂存huffman编码的bx的长度大于等于huffman编码的最大长度则可以在已生成的Huffman树中解码,得到编码对应的原字符。直到所有的huffman编码都比较完,完成解压缩。

五、结果展示

左侧为源文件,中间是压缩之后的文件,右侧是完成解压之后的文件

在这里插入图片描述