leetcode 141. 环形链表

88 阅读2分钟

小知识,大挑战!本文正在参与“程序员必备小知识”创作活动

题目描述

给定一个链表,判断链表中是否有环。

如果链表中有某个节点,可以通过连续跟踪 next 指针再次到达,则链表中存在环。 为了表示给定链表中的环,我们使用整数 pos 来表示链表尾连接到链表中的位置(索引从 0 开始)。 如果 pos 是 -1,则在该链表中没有环。注意:pos 不作为参数进行传递,仅仅是为了标识链表的实际情况。

如果链表中存在环,则返回 true 。 否则,返回 false 。

进阶:

你能用 O(1)(即,常量)内存解决此问题吗?

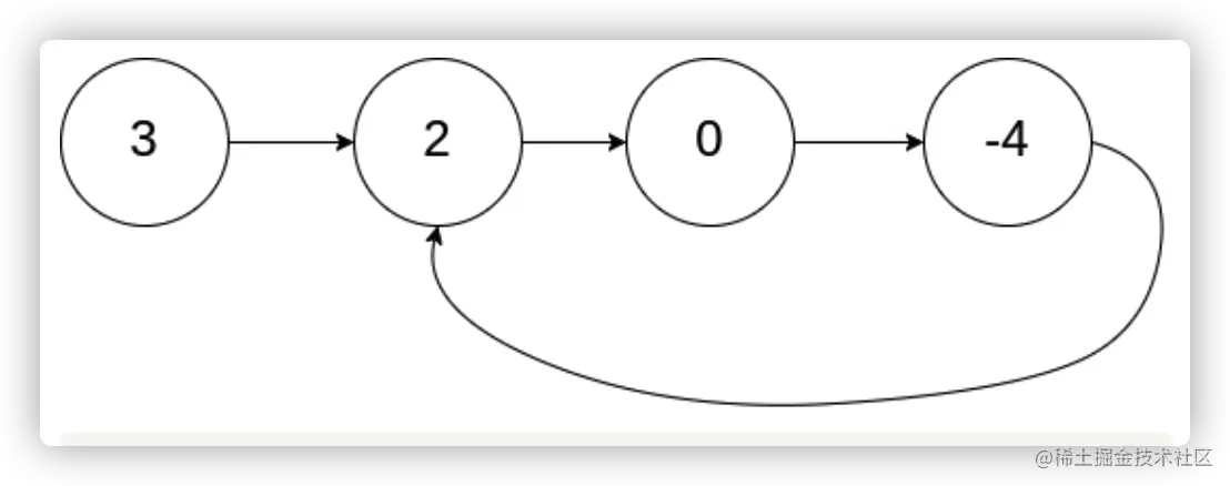
示例 1:

image.png

输入:head = [3,2,0,-4], pos = 1
输出:true
解释:链表中有一个环,其尾部连接到第二个节点。

示例 2:

image.png

输入:head = [1,2], pos = 0
输出:true
解释:链表中有一个环,其尾部连接到第一个节点。

示例 3:

image.png

输入:head = [1], pos = -1
输出:false
解释:链表中没有环。

提示

链表中节点的数目范围是 [0, 104] -105 <= Node.val <= 105 pos 为 -1 或者链表中的一个 有效索引 。

题解

使用快慢指针.当遇到环时,快慢指针总会遇到.

循环的范围:区分是否有环

由于快指针跳两格,因此判断快指针前两格状态是否为null来作为循环的界限.

当有环时,一定会遇到,因此当快慢指针相等时,就返回true

循环外返回flase

public boolean hasCycle(ListNode head) {
        // 使用快慢指针
        ListNode left = head;
        ListNode right = head;
        int i = 0;
        // 由于快指针直接跳两格,因此要保证这两格中间不会为null
        while (right != null && right.next != null) {
            // 需要先移动后判断,刚开始两者相同
            left = left.next;
            right = right.next.next;
            if (left == right) {
                return true;
            }
        }
        return false;
    }

image.png