链表学会了没,会做这些题就足够了,思路全在动图里了,不懂都难《上篇》

1,228 阅读8分钟

小知识,大挑战!本文正在参与「程序员必备小知识」创作活动

本文已参与 「掘力星计划」 ,赢取创作大礼包,挑战创作激励金。

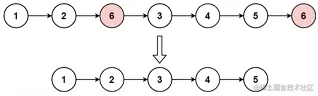
1.移除链表元素 <难度系数⭐>

📝 题述:给你一个链表的头节点 head 和一个整数 val ,请你删除链表中所有满足 Node.val == val 的节点,并返回 新的头节点 。

💨 示例1:

    输入:head = [1,2,6,3,4,5,6], val = 6

    输出:[1,2,3,4,5]

💨 示例2:

    输入:head = [ ], val = 1

    输出:[ ]

💨 示例3:

    输入:head = [7,7,7,7], val = 7

    输出:[ ]

在这里插入图片描述

🧷 平台:Visual studio 2017 && windows

🔑 核心思想:

思路1,双指针,cur找到val值所在的节点,prev记录前一个位置,依次删除,细节请看下图:

请添加图片描述

思路2,新链表,把链表中所有不是val的值尾插至新链表,删除val的节点

请添加图片描述

leetcode原题

#include<stdio.h>
#include<stdlib.h>

typedef int SLTDataType;

struct ListNode
{
	int val;
	struct ListNode *next;
};
//思路1
struct ListNode* removeElements1(struct ListNode* head, int val)
{
	struct ListNode * cur = head;
	struct ListNode * prev = NULL;
	while (cur)//判断地址
	{
		//1、相等的情况
		if (cur->val == val)
		{
			if (cur == head)//1.1、第1个节点等于val时
			{
				head = head->next;
				free(cur);
				cur = head;
			}
			else//1.2、其它节点等于val时
			{
				prev->next = cur->next;
				free(cur);
				cur = prev->next;
			}
		}
		//2、不相等的情况
		else
		{
			prev = cur;
			cur = cur->next;
		}
	}
	return head;

}
//思路2
struct ListNode* removeElements2(struct ListNode* head, int val)
{	
	if(head == NULL)
		return NULL;
	//创建新节点
	struct ListNode* newhead = NULL, *tail = NULL;
	struct ListNode* cur = head;
	while(cur)
	{
		struct ListNode* next = cur->next;
		if(cur->val == val)
		{
			free(cur);
		}
		else
		{
			if(tail == NULL)
			{
				newhead = tail = cur;	
			}
			else
			{
				tail->next = cur;	
				tail = cur;
			}
		}
		cur = next;
	}
	if(tail)
		tail->next = NULL;
	return newhead;
}
int main()
{
	struct ListNode* n1 = (struct ListNode*)malloc(sizeof(struct ListNode));
	n1->val = 1;

	struct ListNode* n2 = (struct ListNode*)malloc(sizeof(struct ListNode));
	n2->val = 2;

	struct ListNode* n3 = (struct ListNode*)malloc(sizeof(struct ListNode));
	n3->val = 6;

	struct ListNode* n4 = (struct ListNode*)malloc(sizeof(struct ListNode));
	n4->val = 3;

	struct ListNode* n5 = (struct ListNode*)malloc(sizeof(struct ListNode));
	n5->val = 4;

	struct ListNode* n6 = (struct ListNode*)malloc(sizeof(struct ListNode));
	n6->val = 5;

	struct ListNode* n7 = (struct ListNode*)malloc(sizeof(struct ListNode));
	n7->val = 6;

	n1->next = n2;
	n2->next = n3;
	n3->next = n4;
	n4->next = n5;
	n5->next = n6;
	n6->next = n7;
	n7->next = NULL;

	removeElements1(n1, 6);
	removeElements2(n1, 6);
	return 0;
}

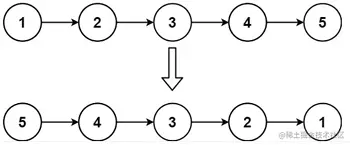
2.反转一个链表<难度系数⭐>

📝 题述:给你单链表的头节点 head ,请你反转链表,并返回反转后的链表。

💨 示例1:

    输入:head = [1,2,3,4,5]

    输出:[5,4,3,2,1]

💨 示例2:

    输入:head = [1,2]

    输出:[2,1]

💨 示例3:

    输入:head = [ ]

    输出:[ ]

在这里插入图片描述

🧷 平台:Visual studio 2017 && windows

🔑 核心思想:

思路1,调整节点指针的方向 请添加图片描述

思路2,头插

请添加图片描述

#include<stdio.h>
#include<stdlib.h>

typedef int SLTDataType;

struct ListNode
{
	int val;
	struct ListNode *next;
};
//思路1
struct ListNode* reverseList1(struct ListNode* head)
{
	//空链表
    if(head == NULL)
        return head;
    struct ListNode* n1, *n2, *n3;
    n1 = NULL;
    n2 = head;
    n3 = head->next;

    while(n2)
    {
        n2->next = n1;
        n1 = n2;
        n2 = n3;
        //最后一次进来时,n3为空指针
        if(n3)
            n3 = n3->next;
    }
    return n1;
}
//思路2
struct ListNode* reverseList2(struct ListNode* head)
{
	struct ListNode *newnode, *cur, *next;
    newnode = NULL;
    cur = head;
    while(cur)
    {
        next = cur->next;   
        cur->next = newnode;
        newnode = cur;
        cur = next;
    }
    return newnode;
}
int main()
{
	struct ListNode* n1 = (struct ListNode*)malloc(sizeof(struct ListNode));
	n1->val = 1;

	struct ListNode* n2 = (struct ListNode*)malloc(sizeof(struct ListNode));
	n2->val = 2;

	struct ListNode* n3 = (struct ListNode*)malloc(sizeof(struct ListNode));
	n3->val = 3;

	struct ListNode* n4 = (struct ListNode*)malloc(sizeof(struct ListNode));
	n4->val = 4;

	struct ListNode* n5 = (struct ListNode*)malloc(sizeof(struct ListNode));
	n5->val = 5;
	
	n1->next = n2;
	n2->next = n3;
	n3->next = n4;
	n4->next = n5;
	n5->next = NULL;
	
	reverseList1(n1);
	reverseList2(n1);
	return 0;
}

3.链表的中间结点<难度系数⭐>

📝 题述:给定一个头结点为 head 的非空单链表,返回链表的中间结点。 如果有两个中间结点,则返回第二个中间结点。

在这里插入图片描述

💨 示例1:

    输入:[1,2,3,4,5]

    输出:此列表中的结点 3 (序列化形式:[3,4,5])返回的结点值为 3 。 (测评系统对该结点序列化表述是 ([3,4,5])。注意,我们返回了一个 ListNode 类型的对象 ans,这样:ans.val = 3, ans.next.val = 4, ans.next.next.val = 5, 以及 ans.next.next.next = NULL.

🧷 平台:Visual studio 2017 && windows

🔑 核心思想:

快慢指针,快指针走2步,慢指针走1步,当快指针走完后,慢指针的当前位置就是中间节点

请添加图片描述

#include<stdio.h>
#include<stdlib.h>

typedef int SLTDataType;

struct ListNode
{
	int val;
	struct ListNode *next;
};
struct ListNode* middleNode(struct ListNode* head)
{
    struct ListNode *slow, *fast;
    slow = fast = head;
    //必须同时满足奇偶的条件
    while(fast && fast->next)
    {
        slow = slow->next;
        fast = fast->next->next;
    }
    return slow;
}
int main()
{
	struct ListNode* n1 = (struct ListNode*)malloc(sizeof(struct ListNode));
	n1->val = 1;

	struct ListNode* n2 = (struct ListNode*)malloc(sizeof(struct ListNode));
	n2->val = 2;

	struct ListNode* n3 = (struct ListNode*)malloc(sizeof(struct ListNode));
	n3->val = 3;

	struct ListNode* n4 = (struct ListNode*)malloc(sizeof(struct ListNode));
	n4->val = 4;

	struct ListNode* n5 = (struct ListNode*)malloc(sizeof(struct ListNode));
	n5->val = 5;
	
	n1->next = n2;
	n2->next = n3;
	n3->next = n4;
	n4->next = n5;
	n5->next = NULL;

	middleNode(n1);
	return 0;
}

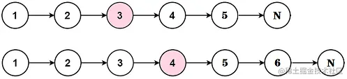
4.链表中倒数第k个节点<难度系数⭐>

📝 题述:输入一个链表,输出该链表中倒数第k个节点。为了符合大多数人的习惯,本题从1开始计数,即链表的尾节点是倒数第1个节点。

💨 示例:

    给定一个链表: 1->2->3->4->5, 和 k = 2.

    返回链表 4->5

在这里插入图片描述

🧷 平台:Visual studio 2017 && windows

🔑 核心思想:

快慢指针,快指针先走k步,此时它与慢指针相差的就是k步,然后快慢指针同时1步1步的走,直到快指针指向NULL,此时慢指针指向的节点就是目标节点

请添加图片描述

leetcode原题

牛客网原题

⚠ 这道题我在两个平台都做了下,按照常规的写法,发现它在leetcode能过的代码,在牛客网上却过不了

请添加图片描述

所以我们这里使用更严格的写法

#include<stdio.h>
#include<stdlib.h>

typedef int SLTDataType;

struct ListNode
{
	int val;
	struct ListNode *next;
};
struct ListNode* getKthFromEnd(struct ListNode* head, int k)
{
	if(k == 0)
        return NULL;
	struct ListNode *slow, *fast;
    slow = fast = head;
    //fast先走k步
    while(k--)
    {
		//如果k大于链表的长度
        if(fast == NULL)
            return NULL;    
        fast = fast->next;
    }
    //slow和fast同时走,直至fast指向空
    while(fast)
    {
        slow = slow->next;
        fast = fast->next;
    }
    
    return slow;
}
int main()
{
	struct ListNode* n1 = (struct ListNode*)malloc(sizeof(struct ListNode));
	n1->val = 1;

	struct ListNode* n2 = (struct ListNode*)malloc(sizeof(struct ListNode));
	n2->val = 2;

	struct ListNode* n3 = (struct ListNode*)malloc(sizeof(struct ListNode));
	n3->val = 3;

	struct ListNode* n4 = (struct ListNode*)malloc(sizeof(struct ListNode));
	n4->val = 4;

	struct ListNode* n5 = (struct ListNode*)malloc(sizeof(struct ListNode));
	n5->val = 5;
	
	n1->next = n2;
	n2->next = n3;
	n3->next = n4;
	n4->next = n5;
	n5->next = NULL;

	getKthFromEnd(n1, 2);
	return 0;
}

5.合并两个有序链表<难度系数⭐>

📝 题述:将两个升序链表合并为一个新的升序链表并返回。新链表是通过拼接给定的两个链表的所有节点组成的。

💨 示例1:

    输入:l1 = [1,2,4], l2 = [1,3,4]

    输出:[1,1,2,3,4,4]

💨 示例2:

    输入:l1 = [], l2 = []

    输出:[ ]

💨 示例3:

    输入:l1 = [ ], l2 = [0]

    输出:[0]

在这里插入图片描述

🧷 平台:Visual studio 2017 && windows

🔑 核心思想:

思路1,见下图

请添加图片描述

思路2,带哨兵位的头节点

请添加图片描述

在之前的文章中没有了解过什么是哨兵位头节点,在这里就了解下:

在这里插入图片描述

1️⃣ 哨兵位头节点,这个节点不存储有效数据;而非哨兵位头节点存储有效数据

2️⃣ 非哨兵位头节点如果要修改头指针,需要使用二级指针操作;而哨兵位头节点,则不会修改头指针,因为它不存储有效数据

3️⃣ 这种哨兵位头节点在实际中很少出现,包括哈希桶、临接表做子结构都是不带头的。其次就是OJ中给的链表都是不带头的(从上面做的这些题就可以看出),所以我们在以后编码过程中,应该尽量使用不带头的

#define _CRT_SECURE_NO_WARNINGS
#include<stdio.h>
#include<stdlib.h>

typedef int SLTDataType;

struct ListNode
{
	int val;
	struct ListNode *next;
};
//思路1
struct ListNode* mergeTwoLists1(struct ListNode* l1, struct ListNode* l2)
{
	struct ListNode *n1 = l1, *m1 = l2;
	struct ListNode *newhead = NULL, *tail = NULL;
	//判断空链表
    if(l1 == NULL)
        return l2;
    if(l2 == NULL)
        return l1;
        
	while(n1 && m1)
	{
		if(n1->val < m1->val)
		{
			if(newhead == NULL)
			{
				newhead = tail = n1;
			}
			else
			{
				tail->next = n1;
				tail = n1;
			}	
			n1 = n1->next;		
		} 
		else
		{
			if(newhead == NULL)
			{
				newhead = tail = m1;
			}
			else
			{
				tail->next = m1;
				tail = m1;
			}
			m1 = m1->next;
		}
	}
	//链接上剩余的数据
    if(n1)
        tail->next = n1;
    if(m1)
        tail->next = m1;
        
    return newhead;
}
//思路2
struct ListNode* mergeTwoLists2(struct ListNode* l1, struct ListNode* l2)
{
	struct ListNode *n1 = l1, *m1 = l2;
	struct ListNode *newhead = NULL, *tail = NULL;
    //判断空链表
    if(l1 == NULL)
        return l2;
    if(l2 == NULL)
        return l1;
    //申请空间
    newhead = tail = (struct ListNode*)malloc(sizeof(struct ListNode));
	while(n1 && m1)
	{
		if(n1->val < m1->val)
		{
			tail->next = n1;
			tail = n1;	
			n1 = n1->next;		
		} 
		else
		{
			tail->next = m1;
			tail = m1;
			m1 = m1->next;
		}
	}
    //链接上剩余的数据
    if(n1)
        tail->next = n1;
    if(m1)
        tail->next = m1;
    //这里返回的是不带哨兵位的头节点。其次malloc开辟了空间,就要主动释放,否则会内存泄漏
    struct ListNode* first = newhead->next;
    free(newhead);
    return first;
}
int main()
{
	struct ListNode* n1 = (struct ListNode*)malloc(sizeof(struct ListNode));
	n1->val = 1;

	struct ListNode* n2 = (struct ListNode*)malloc(sizeof(struct ListNode));
	n2->val = 2;

	struct ListNode* n3 = (struct ListNode*)malloc(sizeof(struct ListNode));
	n3->val = 4;

	n1->next = n2;
	n2->next = n3;
	n3->next = NULL;
	/*----------------------------------分割------------------------------------*/
	struct ListNode* m1 = (struct ListNode*)malloc(sizeof(struct ListNode));
	m1->val = 1;

	struct ListNode* m2 = (struct ListNode*)malloc(sizeof(struct ListNode));
	m2->val = 3;

	struct ListNode* m3 = (struct ListNode*)malloc(sizeof(struct ListNode));
	m3->val = 4;

	n1->next = n2;
	n2->next = n3;
	n3->next = NULL;
	
	mergeTwoLists1(n1, m1);
	mergeTwoLists2(n1, m1);
	
	return 0;
}

请添加图片描述