leetcode 101. Symmetric Tree(python)

935 阅读2分钟

小知识,大挑战!本文正在参与“程序员必备小知识”创作活动。

描述

Given the root of a binary tree, check whether it is a mirror of itself (i.e., symmetric around its center).

Example 1:

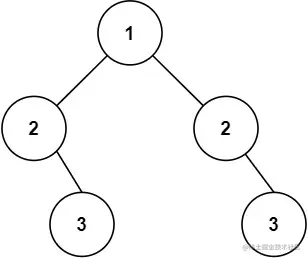
Input: root = [1,2,2,3,4,4,3]
Output: true


Example 2:

Input: root = [1,2,2,null,3,null,3]
Output: false

Note:

The number of nodes in the tree is in the range [1, 1000].
-100 <= Node.val <= 100

解析

根据题意,给出了一个二叉树,判断这个树是不是根据中线对称的。一开始思路比较狭窄,光想着对树本身是用递归,发现很难,最后看到了大神的解法,清晰且容易。

思路比较简单,就是定义一个递归函数 symmetric ,有两个参数 left 和 right ,分别代表了两个树的根节点 在 symmetric 函数中传入两个相同的 root ,对两个相同的树进行操作,判断 left 的值是否和 right 的值是否相等,如果相等继续递归 symmetric(left.left, right.right) and symmetric(left.right, right.left) ,如果不相等直接返回 False 即可。

解答

class TreeNode(object):
    def __init__(self, val=0, left=None, right=None):
        self.val = val
        self.left = left
        self.right = right
class Solution(object):
    def isSymmetric(self, root):
        """
        :type root: TreeNode
        :rtype: bool
        """
        def symmetric(left, right):
            if not left and not right: return True
            if left and right and left.val == right.val:
                return symmetric(left.left, right.right) and symmetric(left.right, right.left)
            return False
        return symmetric(root, root)
        	      
		

运行结果

Runtime: 20 ms, faster than 84.75% of Python online submissions for Symmetric Tree.
Memory Usage: 13.6 MB, less than 43.91% of Python online submissions for Symmetric Tree.

解析

当然同样可以使用栈来迭代树中的节点来进行比较。

解答

class TreeNode(object):
    def __init__(self, val=0, left=None, right=None):
        self.val = val
        self.left = left
        self.right = right
class Solution(object):
    def isSymmetric(self, root):
        """
        :type root: TreeNode
        :rtype: bool
        """
        if not root:
            return True
        stack = [(root.left, root.right)]
        while stack:
            l, r = stack.pop()
            if not l and not r:
                continue
            if not l or not r or (l.val != r.val):
                return False
            stack.append((l.left, r.right))
            stack.append((l.right, r.left))
        return True

运行结果

Runtime: 40 ms, faster than 12.21% of Python online submissions for Symmetric Tree.
Memory Usage: 13.6 MB, less than 70.59% of Python online submissions for Symmetric Tree.

原题链接:leetcode.com/problems/sy…

您的支持是我最大的动力