高数,我还是个小学生。。。

928 阅读1分钟

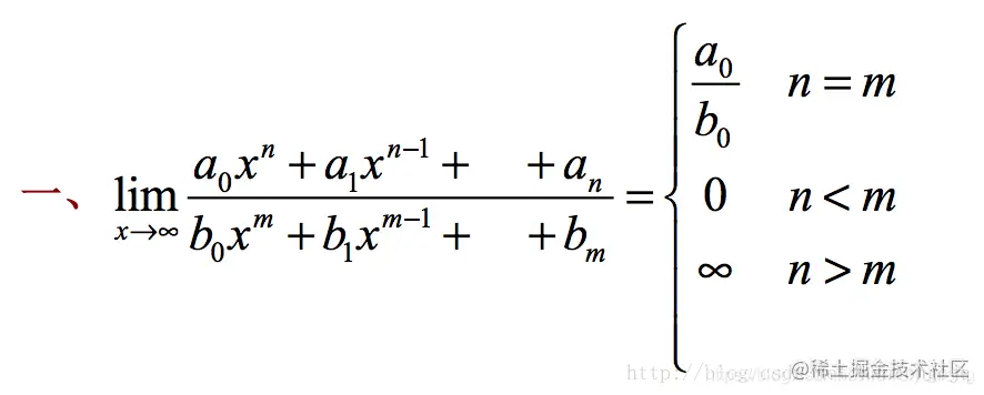
1 极限公式(系数不为0的情况) 在这里插入图片描述 在这里插入图片描述

2 下列常用等价无穷小关系(x->0)

在这里插入图片描述

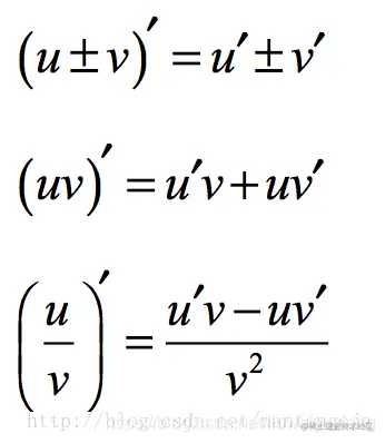
3 导数的四则运算法则

在这里插入图片描述

4 基本导数公式

在这里插入图片描述

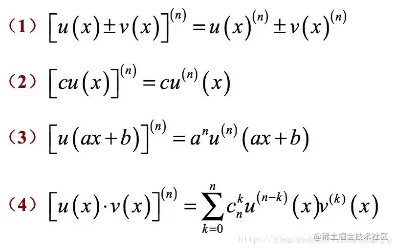
5 高阶导数的运算法则

在这里插入图片描述

6 基本初等函数的n阶导数公式

在这里插入图片描述

7 微分公式与微分运算法则

在这里插入图片描述

8 微分运算法则

在这里插入图片描述

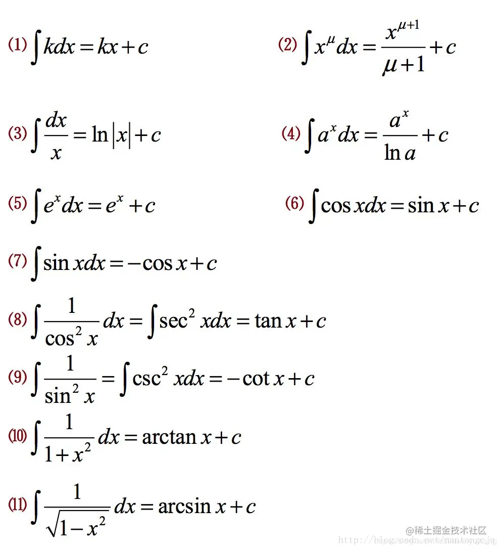
9 基本积分公式

在这里插入图片描述

10 下列常用凑微分公式

在这里插入图片描述

11 补充下面几个积分公式

在这里插入图片描述

12 分部积分法公式

分部积分公式:
在这里插入图片描述
在这里插入图片描述

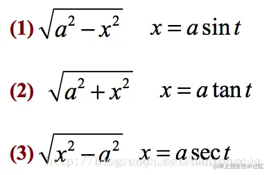
13 第二换元积分法中的三角换元公式

在这里插入图片描述

14 特殊角的三角函数值

在这里插入图片描述

15 三角函数公式

在这里插入图片描述
在这里插入图片描述
在这里插入图片描述
在这里插入图片描述
在这里插入图片描述
在这里插入图片描述
在这里插入图片描述
在这里插入图片描述
在这里插入图片描述

16 几种常见的微分方程

在这里插入图片描述

转自blog.csdn.net/guangod/art…