Python 初学者的第七天(😀)

302 阅读14分钟

面向对象编程

面向对象(Object Oriented Programming,OOP)编程的思想主要是针对大型软件设计而来的。面向对象编程使程序的扩展性更强、可读性更好。

面向对象编程将数据和操作数据相关的方法封装到对象中,组织代码和数据的方式更加接近人的思维,大大提高了效率。

Python 采用了面共享对象的思想,完全支持面向对象的基本功能,例如:继承、堕胎、封装等

Python 支持了面向过程、面向对象、函数式编程等

面向对象和面向过程的区别

面向过程(Procedure Oriented)思维:

面向过程编程更加注重 “程序的逻辑流程”,是一种执行者思维,适合编写小规模的程序。

面向过程思想,思考问题时,首先思考 “怎么按步骤实现?”,并一步一步完成。 Ex:如何开车? 发动车 -- 挂挡 -- 踩油门 面向过程适合简单、不需要协作的事务。

面向对象(Object Oriented)思维:

面向对现象更加关注的是 “软件中对象之间的关系” ,以一种 “设计者” 思维,适合编写大规模程序。

面向对象(Object)思想更契合人的思维模式。

总结:

  • 都是接问题的思维方式,代码组织的方式
  • 解决简单问题可以使用面向过程
  • 解决复杂问题:宏观上使用面向对象把握,微观上处理任然是面向过程

类的定义

通过类帝国一数据类型的属性(数据)和方法(行为),也就是说,“类将行为和状态打包在一起”。

image-20210927154649309.png

对象是类的具体实体,一般称为 “类的实例”。 类看作 “饼干摸具” ,对象就是根据这个摸具制造出来的物品

从一个类创建对象时,每个对象会共享这个类的行为(类中定义的方法),但会有自己的属性值(不共享状态)。具体是:“方法代码是共享的,属性数据不共享”。

image-20210927155039973.png

Python 中,一切皆对象。类也成为类对象,类的实例也称为“实例对象”

语法格式:

class 类名:
  类体

注意事项:

  1. 类名必须符合“标识符规则”;一般首字母大写,多个单词使用“驼峰原则”
  2. 类体中我们可以定义属性和方法
  3. 属性用来描述数据,方法(既函数)用来描述这些数据相关的操作。

【操作】测试

class Student:
    # 属性定义到构造方法中(固定写法): __init__
    def __init__(self,name,score):
        self.name = name
        self.score = score

    def say_score(self):
        print(id(self))  # 2008779276616
        print(self.name,"分数是:",self.score)
s1 = Student("张三",93)
print(id(s1))  # 2008779276616
s1.say_score()

类是抽象的模板

构造函数 __init__

类是抽象的,也称之为 “对象的模板” 。我们需要通过类这个模板,创建类的实例对象,然后参能使用类定义的功能。

Python 对象的三个部分:

  • Id(identity)识别码
  • type(对象类型)
  • value(对象的值)

进一步的说法:

  1. Id(identity)识别码
  2. type(对象类型)
  3. value(对象的值)
    1. 属性(attribute)
    2. 方法(method)

创建对象,我们需要定义构造函数 __init__() 方法。构造方法用于执行“实例对象的初始化工作”,既对象创建后,初始化当前对象的相关属性,无返回值。

__init__() 要点:

  1. 名称固定,必须为__init__()
  2. 第一个参数固定,必须为:self,self指的就是当前创建好的实例对象
  3. 构造函数通常用来初始化对象的实例属性
  4. 通过 “类名(参数列表)” 用来调用构造函数。调用后,将窗机安好的对象返回给相应的变量
  5. __init__() 方法:初始化创建好的对象,初始化指的是:给实例属性赋值
  6. __new__() 方法:用于创建对象,但是一般无序重定义该方法。

注意:

  • Python 中的 self 相当于 C++ 中的 self 指针,Java 和 C# 中的this关键字(指当前对象的作用域)。Python 中 self 必须为构造参数的第一个参数,名字可以任意修改,但是一般遵守管理,都叫做 self。

实例属性

实例属性是从属于实例对象的属性,也成为 “实例变量” 。要点:

  1. 实例属性一般在 __init__(self) 方法中通过一下代码定义
    • slef.实例属性名 = 初始值
  2. 在本类的其他实例方法中,也可以通过 self 进行访问:
    • self.实例属性名
  3. 创建实例对象后,通过实例对象访问:
    • obj01 = 类名(xx,xxx,xxx) # 实例化对象,调用__init__()初始化属性
    • obj01.实例属性名 = 值 # 可以给已有属性赋值,也可以新加

实例方法

实例方法是从属于实例对象的方法。定义格式如下“

def 方法名(self [,形参列表]):
    函数体

方法调用格式如下:

对象.方法名([实参列表]

注意点:

  • 定义实例方法时,第一个参数必须为 self。self 指当前的实例对象
  • 调用实例方法是,不需要也不能给 self 传值,self 由解释器自动传参

函数和方法的区别:

  1. 都是用来完成一个功能的语句块,本质一样。
  2. 方法调用时,通过对象来调用。方法从属于特定实例对象,普通函数没有这个特点。
  3. 直观上,方法定义时需要传递self,函数不需要

实例对象的方法调用本质:

image-20210927175612036.png

其他操作:

  1. dir(obj) 可以获取对象的所有属性、方法
  2. obj.__dict__ 对象的属性自建
  3. pass 空语句
  4. isinstance(对象,类型)判断 “对象” 是不是之定类型

类对象

定义类的格式中“class 类名:”实际上当解释器执行 class 语句时,就会创建一个类对象。

【操作】测试

class Person:
    pass

print(type(Person))  # <class 'type'> 类型
print(id(Person))  # 1599475085048

stu01 = Person()
# s1 = stu01
print(stu01)  # <__main__.Person object at 0x000002B454EC9E08>

pass 相当于占位符

类属性

类属性是从属于“类对象”的属性,也成为“类变量”。 由于类属性从属于类对象,可以被所有实例对象使用。

定义方法:

class 类名:
    类名变量 = 初始值

在类中或者类外,通过:类名.类名变量 使用。

【操作】测试

class Person:

    # 类属性
    school = "中加枫华国际学校"
    tuition = 100000
    count = 0

    # 实例属性
    def __init__(self,name,age,gender):
        self.name = name
        self.age = age
        self.gender = gender
        Person.count = Person.count+1

    # 实例方法
    def get_score(self):
        print("姓名:{0};年龄:{1};性别:{2}".format(self.name,self.age,self.gender))

stu1 = Person("sue",22,"male")
stu2 = Person("Jason",22,"male")
stu3 = Person("Allen",22,"female")
stu1.get_score()
stu2.get_score()
stu3.get_score()
print("学校:{0};学费:{1}".format(Person.school,Person.tuition))
print("创建了{0}次实例".format(Person.count))

image-20210927194500754.png

类方法

类方法是从属于“类对象”的方法。类方法通过装饰器@classmethod来定义的,格式:

@classmethod
def 类方法名(cls[,形参列表]):
    函数体

注意点:

  • @classmethod 必须位于方法上面
  • 第一个 cls 必须有: cls 指的是 “类对象” 本身
  • 调用类方法格式:“类名.类方法名(参数列表)”。参数列表中不与要也不能 cls 传值。
  • 类方法中访问实例属性和实例方法会导致错误
  • 子类继承父类方法时,传入 cls 是子类对象,而非父类对象

【操作】测试:

class Person:

    # 类属性
    school = "中加枫华国际学校"
    tuition = 100000
    count = 0

    # 实例属性
    def __init__(self,name,age,gender):
        self.name = name
        self.age = age
        self.gender = gender
        Person.count = Person.count+1

    @classmethod
    def printSchool(cls):
        print(cls)
        print(cls.school)

    # 实例方法
    def get_score(self):
        print("姓名:{0};年龄:{1};性别:{2}".format(self.name,self.age,self.gender))

stu1 = Person("sue", 22, "male")
stu1.get_score()
Person.printSchool()

类方法操作类属性,实例方法操作实例属性

静态方法

Python 中允许定义与 “类对象” 无关的方法,称为“静态方法”

静态方法和模块中定义普通函数没有区别,只不过“静态方法”放到了“类的名字空间中”,需要通过“类调用”

静态方法通过装饰器@staticmethod来定义,格式如下:

@staticmethod
def 静态方法名([形参列表]):
    函数体

注意点:

  1. @staticmethod 必须写在方法上面
  2. 调用格式:“类名.静态方法名(参数列表)”
  3. 静态方法中访问实例属性和实例方法会导致错误

【操作】测试

class Person:

    # 类属性
    school = "中加枫华国际学校"
    tuition = 100000
    count = 0

    # 实例属性
    def __init__(self,name,age):
        self.name = name
        self.age = age
        Person.count = Person.count+1

    # 静态实例
    @staticmethod
    def addNum(a,b):
      print("{0}+{1}={2}".format(a,b,a+b))
      return a+b

    # 实例方法
    def get_score(self):
        print("姓名:{0};年龄:{1}".format(self.name,self.age))

stu1 = Person("sue", 22)
stu1.get_score()
Person.addNum(1,2)

__del__ 方法(分析函数)和垃圾回收机制

__del__ 方法称为:“析构方法”,用于实现对象被销毁时所需的操作。Ex:释放对象占用的资源,打开的文件资源、网络连接等。

Python 实现自动的垃圾回收,当对象没有被引用时(引用计数为0),由垃圾回收器调用 __del__ 方法。

通过使用 del 语句删除对象,从而保证调用 __del__ 方法 系统会自动提供 __del__ 方法,一般不需要自定义析构方法

【操作】测试

class Person:

    def __del__(self):
        print("销毁对象:{0}".format(self))

p1 = Person()  # 5. 销毁对象:<__main__.Person object at 0x000001DFCD279FC8>
print(id(p1))  # 1. 2060731260872
p2 = Person()  # 3. 销毁对象:<__main__.Person object at 0x000001DFCD284088>
print(id(p2))  # 2. 2060731302024
del p2
print("over")  # 4. over
# print(id(p2))  # name 'p2' is not defined

__call__ 方法和可调用对象

定义了 __call__ 方法的对象,称为“可调用的对象”,即该对象可以像函数一样被调用。

该方法的功能类似于在类中重载 () 运算符,使得类实例对象可以像调用普通函数那样,以“对象名()”的形式使用。

【操作】测试

class Get_Salary:

    def __call__(self, salary):
        yearSalary = salary*12
        daySalary = salary//22.5
        hourSalary = daySalary//12

        return dict(年薪=yearSalary,月薪=salary,日薪=daySalary,小时工=hourSalary)
p1 = Get_Salary()
print(p1(8000)) # 无需在添加类名来用使用

方法的重载

在其他语言中,可以定义多个重名的方法,只要保证方法签名唯一即可。方法标签名包括三个部分:方法名、参数数量、参数类型

Python 中,方法的参数没有声明类型(调用时圈定参数的类型),参数的数量可以由可变参数控制。因此,Python 中没有方法的重载。定义一个方法即可有多种调用方式,相当于实现了其他语言中的方法重载。

如果在类中定义了多个重名方法,只有最后一个能生效。

【操作】测试

class Person:
    def say_Hi(self):
        print("Hello")

    def say_Hi(self,name):
        print("Hello,{0}".format(name))

p1 = Person()
p1.say_Hi("Js")  # say_Hi() missing 1 required positional argument: 'name'

方法的动态性

Python 是动态语言,我们可以动态的为类添加新的方法,或者动态的修改类已有的方法。

【操作】测试

class Person:
    def hello_world(self):
        print("Hello World")

def say_Hi(name):
    print("Hello,{0}".format(name))

p1 = Person()
# p1.say_Hi("Js")  # 'Person' object has no attribute 'say_Hi'

Person.say = say_Hi
# p1.say("!23")  # say_Hi() takes 1 positional argument but 2 were given
Person.say("he")

私有属性和私有方法

Python 对于类的成员没有严格的访问控制限制,这与其他面向对象有区别。 注意点:

  1. 通常约定,两下划线开头的属性是私有属性(private)。其他的为公共的(public)
  2. 类内部可以访问私有属性(方法)
  3. 类外部不能直接访问私有属性(方法)
  4. 类外部可以通过 “_类名__私有属性(方法)名” 访问私有属性方法

【注意:】方法本质上也是属性,只不过是通过()执行而已。

【操作】测试私有属性和方法

class Employee:

    def __init__(self,name,age):
        self.name = name
        self.__age = age

    def  __work(self):
        print("Good Good Work, Day Day Up")


p1 = Employee("Allen",12)
print(p1.name)  # Allen
# print(p1.age)  # 'Employee' object has no attribute 'age'
print(p1._Employee__age)  # 12
# p1.__work()  # 'Employee' object has no attribute '__work'
p1._Employee__work()  # Good Good Work, Day Day Up

@property 装饰器

@property 可以将一个方法的调用方式变成“属性调用”。

【操作】基本使用

class Employee:

    @property
    def money(self):
        print("working...")
        return 20000


p1 = Employee()  # 1. working...
# p1.money()  # 'int' object is not callable
getMoney = p1.money
print(getMoney)  # 2. 20000
print(p1.money)  # 3. working...  4. 20000

_get 和 _set

【操作】设置私人属性并修改薪资

class Employee:

    def __init__(self,name,salary):
        self.__name = name
        self.__salary = salary

    def get_salary(self):
        # print("薪水:{0}".format(self.__salary))
        return self.__salary

    def set_salary(self,salary):
        if 10000<salary<50000:
            self.__salary = salary
            print("薪资录入成功")
        else:
            print("薪资录入失败")

p1 = Employee("Eason",30000)
print("{0}薪资:{1}".format(p1._Employee__name, p1.get_salary()))  # Eason薪资:30000
# p1.set_salary(3000) # 薪资录入失败
p1.set_salary(20000)  # 薪资录入成功
print("{0}薪资:{1}".format(p1._Employee__name, p1.get_salary()))  # Eason薪资:20000

但是使用@property也可以修改类外部修改私人属性

【操作】测试

class Employee:

    def __init__(self,name,salary):
        self.__name = name
        self.__salary = salary

    @property
    def salary(self):
        # print("薪水:{0}".format(self.__salary))
        return self.__salary

    @salary.setter
    def salary(self,salary):
        if 10000<salary<50000:
            self.__salary = salary
            print("薪资录入成功")
        else:
            print("薪资录入失败")

p1 = Employee("Eason",30000)
print("{0}薪资:{1}".format(p1._Employee__name, p1._Employee__salary))  # Eason薪资:30000
p1.salary = -2000  # 薪资录入失败
p1.salary = 20000  # 薪资录入成功
print("{0}薪资:{1}".format(p1._Employee__name, p1._Employee__salary))  # Eason薪资:20000

面向对象的三大特征

面向对象编程的三大特性:继承、封装(隐藏)、多态

  • 封装(隐藏): 隐藏对象的属性和实现细节,之对外提供必要的方法。 通过使用 “私有属性,私有方法”实现封装。
  • 继承 继承可以让子类具有父类的特性,提高代码复用率 设计上是一种增量进化,原有父类设计不变的情况下,可以新增新的功能,或者改进
  • 多态 指的是同一个方法调用由于对象不同会产生不同的行为。

继承(重点)

继承是面向对象程序设计的重要特征,也是实现“代码复用”的手段

如果一个新类继承自一个设计好的类,就直接具备了已有类的特征,就大大降低工作难度。称其为“父类或者基类”,新的类称为“子类或派生类”

image-20210928195247538.png

Python 支持多重继承,一个子类可以继承多个父类,语法格式:

class 子类类名(父类1[,父类2...]):
    类体

如果在类定义中没有指定父类,则默认父类是 object 类。

object 是所有类的父类,里面定义了一些所有类共有的默认实现。

定义子类时,必须在其构造函数中调用父类的构造函数。格式:

父类名.__init__(self,参数列表):

【操作】测试

class Person:

    def __init__(self,name,age):
        self.name = name
        self.__age = age  # 私有属性

    def say_hi(self):
        print("Hello,Bro!!!")

class Children(Person):

    # 子类继承父类的属性
    def __init__(self,name,age,score):
        Person.__init__(self,name,age)
        self.score = score


print(
    Children.mro()
)  # [<class '__main__.Children'>, <class '__main__.Person'>, <class 'object'>]
c1 = Children("Jason",23,100)
c1.say_hi()  # Hello,Bro!!!  继承了父类的属性方法

# 访问私有属性
# 无法访问通过子类访问父类的私有属性
print(c1._Person__age)  # 23
print(dir(c1)) # ...各种实现

方法的重写

  1. 成员继承:子类继承了父类除构造方法外的所有成员。
  2. 方法重写:子类可以重新定义父类的方法,这样就会覆盖父类的方法,也称为“重写”

【操作】重写测试

class Person:

    def __init__(self,name,age):
        self.name = name
        self.__age = age

    def say_hi(self):
        print("Hello,Bro!!!")
class Children(Person):

    # 子类继承父类的属性
    def __init__(self,name,age,score):
        Person.__init__(self,name,age)
        self.score = score

    def say_hi(self):
        print("What's Up?")

s1 = Children("Sue",21,100)
s1.say_hi()  # What's Up?

object 根类

object 类是所有类的父类,因此所有的类都有 object 类的属性和方法。

通过 dir() 查看对象所有属性

print(dir(Person))

结果:

['__class__', '__delattr__', '__dict__', '__dir__', '__doc__', '__eq__', '__format__', '__ge__', '__getattribute__', '__gt__', '__hash__', '__init__', '__init_subclass__', '__le__', '__lt__', '__module__', '__ne__', '__new__', '__reduce__', '__reduce_ex__', '__repr__', '__setattr__', '__sizeof__', '__str__', '__subclasshook__', '__weakref__', 'say_hi']

通过 mro() 查看继承结构

print(Children.mro())

结果:

[<class '__main__.Children'>, <class '__main__.Person'>, <class 'object'>]

要点:

  1. dir() 查看属性会显示所有的属性包括我们自己定义的方法
  2. "say_hi" 虽然说是方法,实际上也是属性。

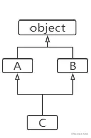
多重继承

Python 支持多重继承,一个子类可以有多个“直接父类”。这样就具备了多个父类的特点。但是这样类的整体层次会变得复杂,尽量避免

【操作】测试多重父类

class A:
    def aa(self):
        print("----AA----")


class B:
    def bb(self):
        print("----BB----")


class C(A, B):
    def cc(self):
        print("----CC----")


p1 = C()    

image-20210929160940977.png

mro() 函数

Python 支持多继承,如果父类中有相同名字的方法,在子类没有指定父类名时,解释器将“从左向右”按顺序搜索

MRO(Method Resolution Order):方法解析顺序。通过 mro() 方法获取“类的层次结构”,也按照这个类的层次结构查找。

class A:
    def aa(self):
        print("----AA----")

    def say(self):
        print("Hello AAA")


class B:
    def bb(self):
        print("----BB----")

    def say(self):
        print("Hello BBB")


# 从左到右执行,A在前所以会先执行A类中的say.
class C(A, B):
    def cc(self):
        print("----CC----")


p1 = C()
p1.cc()
p1.say()

【操作】mro() 函数输出的类的层次结构

print(
    C.mro()
)  # [<class '__main__.C'>, <class '__main__.A'>, <class '__main__.B'>, <class 'object'>]

Super() 函数获取父类定义

在子类中,获取父类的方法时,可以通过 super() super() 代表父类的定义,不是父类对象

class A:
    def aa(self):
        print(self)

class B(A):
    def bb(self):
        # 方法一:直接获取
        A.aa(self)  # <__main__.B object at 0x000001D4638F9F88>
        # 方法二:super() 获取
        super().aa()  # <__main__.B object at 0x000001D4638F9F88>
        print(self)  # <__main__.B object at 0x000001D4638F9F88>

b = B()
b.bb()

多态(重点)

多态(Polymorphism)是指同一个方法调用由于对象不同能产生不同的行为。

要点:

  1. 多态时方法的多态,属性没有多态
  2. 多态的存在有 2 个必要条件:继承方法重写

【操作】测试方法多态

class Person:
    def say(self):
        print("你说话啊,你")

class Chinese(Person):
    def say(self):
        print("中文....")

class Japanese(Person):
    def say(self):
        print("日语....")

class Amercian(Person):
    def say(self):
        print("英语....")

def people(x):
    if isinstance(x, Person):
        x.say()
    else:
        print("请说人话")

people(Chinese())
people(Japanese())
people(Amercian())

isinstance() 函数来判断一个对象是否是一个已知的类型

sinstance() 与 type() 区别:

  • type() 不会认为子类是一种父类类型,不考虑继承关系。
  • isinstance() 会认为子类是一种父类类型,考虑继承关系。

如果要判断两个类型是否相同推荐使用 isinstance()。

特殊方法

常见的特殊方法:

image-20210929164355142.png

image-20210929164415158.png

每个运算符也是对应的方法:

image-20210929164455986.png

特殊属性

Python 对象中包含了很多双下划线开始和结束的属性,这些都是特殊属性,有特殊用法。

image-20210929165321335.png

设计模式

设计模式是面向对象语言特有的内容,是我们在面临某一类问题时固定的做法,设计模式有很多种。

常用的两个模式:

  • 工厂模式
  • 单列模式

工厂模式实现了创建者和调用者的分离,使用专门的工厂类将先择实现类、创建对象进行统一管理