linux基础命令day14--入门篇

143 阅读2分钟

- 逻辑卷:

     `作用及概念:`
                 1.逻辑卷就是把未使用或者未进行格式化的磁盘空间进行整合。
                 2.实现了分区的动态伸缩。

image.png

image.png

     `常用命令:`
               1.vgcreate  卷组名字  物理卷  --创建卷组
               2.vgs     --查看现有卷组的大小以及空间状况
               3.pvs     --查看物理卷
               4.pvcreate 硬盘分区路径  --创建物理卷
               5.lvs       --查看逻辑卷
               6.lvcreate -L 要用的大小  -n 逻辑卷名字  物理卷名字 --创建逻辑卷
               7.lvremove  逻辑卷名字  --删除逻辑卷
               8.vgremove  物理卷的名字  --删除物理卷
硬盘格式化分区:
     硬盘识别--分区--格式化--挂载(linux)
逻辑卷划分过程:
     硬盘识别--分区--划分逻辑层--格式化--挂载划分好的逻辑卷(linux)
逻辑卷划分步骤:
     物理卷--卷组--逻辑卷
     lsblk 

image.png

我们发现这个sdc这块磁盘还有空间,我们利用这剩下的空间进行,划分空间。

     fdisk /dev/sdc

image.png

创建物理卷及卷组:

     vgcreate myvg /dev/sdc2
     vgs

image.png

划分逻辑卷:

image.png

     `注意:`
            这里划分逻辑卷用多少写多少,但是不能超过物理卷的大小。      
     lvcreate -L 800M -n mylv myvg

image.png

     `注意:`
           1.此时并不能使用mylv这个划分出来的逻辑空间,我们需要格式化。
     mkfs.xfs /dev/myvg/mylv

image.png

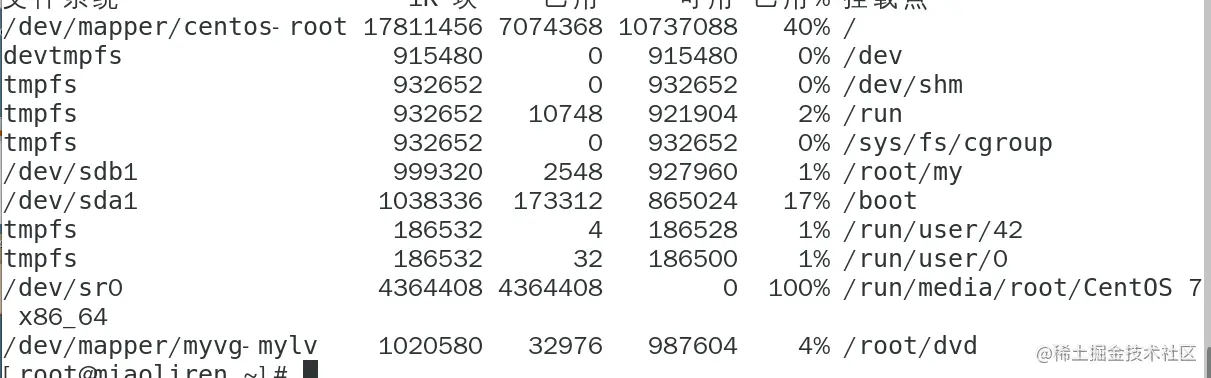
      mount /dev/myvg/mylv ./dvd
     df -Th

image.png

扩展逻辑卷:

我们如果觉得逻辑空间不够我们可以进行扩展逻辑卷。

src=http___mmbiz.qpic.cn_mmbiz_png_uD7gEhxZMDm1ibsYfficiaqAM9icIbWCpjFST6vw8758G0Rdkp1Nc1TSInv57TYvkKAeCwQRvjnnbqTrd7ahu81QJA_640_wx_fmt=png&refer=http___mmbiz.qpic.jpg

     lvextend -L +200M /dev/myvg/mylv

image.png 我们可以看到成功的扩展了200M。

     `注意:`
           1.这里扩张的200M我们无法应用,因为没有格式化。
           2.格式化不能使用mkfs。(如下图)

我们可以看到,800M已经格式化,200M还没有而格式化,所以我们不能进行,单纯的把1G的空间全部格式化,因为这样对于800M已经格式化的空间来说会出现数据格式报错。 image.png

      xfs_growfs /dev/myvg/mylv  (因为是xfs格式化系统)

这样我们就把,剩下的空间也格式化成xfs系统。 image.png

image.png

     `注意:`
           df命令,和lvs命令还是有所不一样的,因为df命令是查看文件系统大小的命令,lvs是查看逻辑卷的整个空间大小的命令。

如果说我们不用这个空间了,我们可以进行删除。

逻辑卷的删除:

      移除逻辑卷的顺序:
      
      逻辑卷--卷组
     lvs

image.png

      lvremove /dev/myvg/mylv

image.png

     vgremove myvg

image.png