关于Linux知识①💯💦

149 阅读1分钟

1、操作系统

连接用户和计算机硬件,叫做操作系统

  • 操作系统,将用户和计算机硬件进行连接,是应用软件的基础

如图:

image-20211014093925487.png

1.2 常见的操作系统

1.2.1 桌面操作系统

Window各种版本 7 8 9 10 11

mac

Linux :Ubuntu centos kali redhat等

1.2.2 服务器操作系统

linux

windows server

1.2.3 嵌入式操作系统

Linux 自动贩卖机,汽车中控等

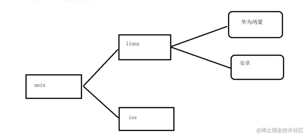
1.2.4移动设备操作系统

nuix 分为Linux和ios Linux 分为华为鸿蒙和安卓

image-20211014100016144.png

2 linux系统

2.1 简介

Linux,全称GNU/Linux,是一种免费使用和自由传播的类UNIX操作系统,其内核由林纳斯·本纳第克特·托瓦兹于1991年10月5日首次发布,它主要受到Minix和Unix思想的启发,是一个基于POSIX的多用户、多任务、支持多线程和多CPU的操作系统。它能运行主要的Unix工具软件、应用程序和网络协议。它支持32位和64位硬件。Linux继承了Unix以网络为核心的设计思想,是一个性能稳定的多用户网络操作系统。Linux有上百种不同的发行版,如基于社区开发的debian、archlinux,和基于商业开发的Red Hat Enterprise Linux、SUSE、Oracle Linux等。

2.2 特点

开源、免费 稳定 效率高 多平台 可移植

3Linux与window的比较

3.1 文件系统

3.1.1 window

如图:

image-20211014101805959.png

image-20211014102643947.png

3.1.2Linux

image-20211014102210561.png

image-20211014103027990.png

树形结构的文件系统,其中/是根目录,不能更改,其他的文件都是它的子文件,分支