21年9月份,字节跳动商业广告,算法岗面试一轮面试题5道

638 阅读5分钟

1、SVM相关,怎么理解SVM,对偶问题怎么来的,核函数是怎么回事。

SVM是一种二分类模型,它的基本模型是定义在特征空间上的间隔最大的线性分类器,间隔最大使它有别于感知机。

SVM为什么要将原始问题转换为对偶问题来求解,原因如下:

  • 对偶问题将原始问题中的约束转为了对偶问题中的等式约束;
  • 方便核函数的引入;
  • 改变了问题的复杂度。由求特征向量w转化为求比例系数a,在原始问题下,求解的复杂度与样本的维度有关,即w的维度。在对偶问题下,只与样本数量有关。

核函数的使用实际上是增加维度,把原本在低维度里的样本,映射到更高的维度里,将本来不可以线性分类的点,变成可以线性分类的。

2、集成学习的方式,随机森林讲一下,boost讲一下,XGBOOST是怎么回事讲一下

集成学习的方式主要有bagging,boosting,stacking等,随机森林主要是采用了bagging的思想,通过自助法(bootstrap)重采样技术,从原始训练样本集N中有放回地重复随机抽取n个样本生成新的训练样本集合训练决策树,然后按以上步骤生成m棵决策树组成随机森林,新数据的分类结果按分类树投票多少形成的分数而定。

boosting是分步学习每个弱分类器,最终的强分类器由分步产生的分类器组合而成,根据每步学习到的分类器去改变各个样本的权重(被错分的样本权重加大,反之减小)

它是一种基于boosting增强策略的加法模型,训练的时候采用前向分布算法进行贪婪的学习,每次迭代都学习一棵CART树来拟合之前 t-1 棵树的预测结果与训练样本真实值的残差。

XGBoost对GBDT进行了一系列优化,比如损失函数进行了二阶泰勒展开、目标函数加入正则项、支持并行和默认缺失值处理等,在可扩展性和训练速度上有了巨大的提升,但其核心思想没有大的变化。

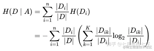
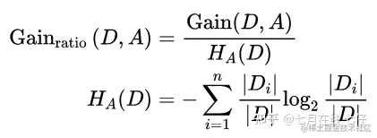
3、决策树是什么东西,选择叶子节点的评价指标都有什么。对于连续值,怎么选择分割点。

决策树有三种:分别为ID3,C4.5,Cart树

ID3损失函数:

C4.5损失函数:

Cart树损失函数:

对于连续值往往通过随机取值、给定采样间隔或者根据样本的值这三种方法的其中一个选择分割点,据称,使用随机取值的办法最终得到的决策树(随机森林)最优。

4、模型评价指标都有什么,AUC是什么,代表什么东西。

准确率:分类正确的样本占总样本的比例

准确率的缺陷:当正负样本不平衡比例时,当不同类别的样本比例非常不均衡时,占比大的类别往往成为影响准确率的最主要因素。

精确率:分类正确的正样本个数占分类器预测为正样本的样本个数的比例;

召回率:分类正确的正样本个数占实际的正样本个数的比例。

F1 score:是精确率和召回率的调和平均数,综合反应模型分类的性能。

Precision值和Recall值是既矛盾又统一的两个指标,为了提高Precision值,分类器需要尽量在“更有把握”时才把样本预测为正样本,但此时往往会因为过于保 守而漏掉很多“没有把握”的正样本,导致Recall值降低。

AUC是ROC曲线下面的面积,AUC可以解读为从所有正例中随机选取一个样本A,再从所有负例中随机选取一个样本B,分类器将A判为正例的概率比将B判为正例的概率大的可能性。AUC反映的是分类器对样本的排序能力。AUC越大,自然排序能力越好,即分类器将越多的正例排在负例之前。

5、关于样本不平衡都有什么方法处理

常用于解决数据不平衡的方法:

  • 欠采样:从样本较多的类中再抽取,仅保留这些样本点的一部分;
  • 过采样:复制少数类中的一些点,以增加其基数;
  • 生成合成数据:从少数类创建新的合成点,以增加其基数。
  • 添加额外特征:除了重采样外,我们还可以在数据集中添加一个或多个其他特征,使数据集更加丰富,这样我们可能获得更好的准确率结果。

↓↓↓免费送!福利!福利!福利↓↓↓

了解七月在线的的小伙伴应该知道2019年七月在线出了两本书《名企AI面试100题》和《名企AI面经100篇》,反响很好,助力数千人拿到dream offer。今年我们又整理出了两本书《2021年最新大厂AI面试题》、《机器学习十大算法系列》,七月在线学员拿到书后反响不错。为了让更多AI人受益,七仔现把电子版免费送给大家。

↓ ↓ ↓以下4本书,电子版免费送 ↓ ↓ ↓

《2021年最新大厂AI面试题》、《机器学习十大算法系列》、《名企AI面试100题》及《名企AI面经100篇》无套路,免费取!

需要的小伙伴评论区发书名,看到后发你。