社区内异常检测

359 阅读2分钟

小知识,大挑战!本文正在参与“     程序员必备小知识     ”创作活动

本文同时参与 「掘力星计划」     ,赢取创作大礼包,挑战创作激励金

表示学习萌新,

求交流。

Bandyopadhyay, Sambaran, Saley Vishal Vivek, and M. N. Murty. "Integrating Network Embedding and Community Outlier Detection via Multiclass Graph Description."

这篇的想法和我之前一模一样。。然后里面的优化地方代码不会写。。就在尝试别的思路了...哭泣。。

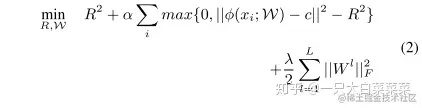
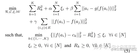
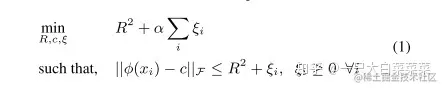
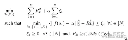
把异常检测和聚类任务分类任务放在了一起。在deepsvdd的基础改进,核心就是找一个球把所有的正常的节点包括在一个球里面。 把异常检测和聚类任务分类任务放在了一起。在deepsvdd的基础改进,核心就是找一个球把所有的正常的节点包括在一个球里面。

SVDD:

**DeepSVDD:**Lukas Ruff, Nico G¨ornitz, Lucas Deecke, Shoaib Ahmed Siddiqui, Robert Vandermeulen, Alexander Binder, Emmanuel M¨uller, and Mar- ius Kloft, ‘Deep one-class classification’, in International Conference on Machine Learning, pp. 4390–4399, (2018)

这篇文章:

DMGD

在每个cluster下作deepsvd

这个优化问题很难搞.....

然后就解决了...

实验的数据集:

We also seed 5% outliers into each dataset by perturbing nodes as follows. To perturb each outlier, we select a node randomly from the dataset. We find the top 20% nodes from the dataset which are at the farthest distance from the selected node. Finally we randomly sample an equal number of nodes as the degree of the node in the network from neighbors of those 20% nodes and the neighbors of the selected nodes. Most of the neighbors of the selected node belong to the same community, and most of the farthest nodes belong to different communities. Thus our perturbed outliers have edges to nodes from multiple communi- ties, and satisfy the conditions of a community outlier. We also seed 5% outliers into each dataset by perturbing nodes as follows. To perturb each outlier, we select a node randomly from the dataset. We find the top 20% nodes from the dataset which are at the farthest distance from the selected node. Finally we randomly sample an equal number of nodes as the degree of the node in the network from neighbors of those 20% nodes and the neighbors of the selected nodes. Most of the neighbors of the selected node belong to the same community, and most of the farthest nodes belong to different communities. Thus our perturbed outliers have edges to nodes from multiple communi- ties, and satisfy the conditions of a community outlier.

专注机器学习与风控算法前沿进展,分享数据挖掘比赛,机器学习,反作弊,推荐系统等技术文章。

快来关注我一起学习呀!