「LeetCode」94-二叉树的中序遍历⚡️

432 阅读3分钟

小知识,大挑战!本文正在参与“程序员必备小知识”创作活动

本文已参与「掘力星计划」,赢取创作大礼包,挑战创作激励金

大家好,我是速冻鱼🐟,一条水系前端💦,喜欢花里胡哨💐,持续沙雕🌲,是隔壁寒草🌿的好兄弟,刚开始写文章。 如果喜欢我的文章,可以关注➕点赞,为我注入能量,与我一同成长吧~

前言🌧️

算法,对前端人来说陌生又熟悉,很多时候我们都不会像后端工程师一样重视这项能力。但事实上,算法对每一个程序员来说,都有着不可撼动的地位。

因为开发的过程就是把实际问题转换成计算机可识别的指令,也就是《数据结构》里说的,「设计出数据结构,在施加以算法就行了」。

编写指令的好坏,会直接影响到程序的性能优劣,而指令又由数据结构和算法组成,所以数据结构和算法的设计基本上决定了最终程序的好坏

另外,在阅读源码时,如果缺乏对算法和数据结构的了解,也会让我们无法理解作者这样写的原因,读起来十分困难。

如今的大环境里,算法已经成为了前端工程师发展路上不可或缺的技能之一。如果我们想未来更上一层楼,不再是只写业务代码的应用工程师,就离不开对算法和数据结构的掌握。

当然,学习也是有侧重点的,作为前端我们不需要像后端开发一样对算法全盘掌握,有些比较偏、不实用的类型和解法,只要稍做了解即可。

题目🦀

94. 二叉树的中序遍历

难度简单

给定一个二叉树的根节点 root ,返回它的 中序 遍历。

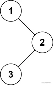
示例 1:

img

输入:root = [1,null,2,3]
输出:[1,3,2]

示例 2:

输入:root = []
输出:[]

示例 3:

输入:root = [1]
输出:[1]

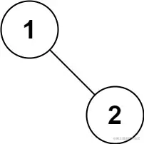
示例 4:

img

输入:root = [1,2]
输出:[2,1]

示例 5:

img

输入:root = [1,null,2]
输出:[1,2]

提示:

  • 树中节点数目在范围 [0, 100]
  • -100 <= Node.val <= 100

进阶: 递归算法很简单,你可以通过迭代算法完成吗?

解题思路🌵

  • 中序遍历二叉树
  • 记住口诀左根右

解题步骤🐂

  • 建立一个栈

  • 用一个变量来指向节点左指针,不断遍历左子树将左节点推入栈中,如果没有则返回值,再将指针指向右节点依次执行上述步骤

  • 最后返回结果

源码🔥

非递归解法

/**
 * Definition for a binary tree node.
 * function TreeNode(val, left, right) {
 *     this.val = (val===undefined ? 0 : val)
 *     this.left = (left===undefined ? null : left)
 *     this.right = (right===undefined ? null : right)
 * }
 */
/**
 * @param {TreeNode} root
 * @return {number[]}
 */
var inorderTraversal = function(root) {
   const stack=[]
    let p=root;
    const res=[]
    while(stack.length||p){
        while(p){
       stack.push(p)
        p=p.left
        }
        const n=stack.pop()
     res.push(n.val)
     p=n.right
    }
    return res

};

递归解法



/**
 * Definition for a binary tree node.
 * function TreeNode(val, left, right) {
 *     this.val = (val===undefined ? 0 : val)
 *     this.left = (left===undefined ? null : left)
 *     this.right = (right===undefined ? null : right)
 * }
 */
/**
 * @param {TreeNode} root
 * @return {number[]}
 */
var inorderTraversal = function(root) {
//递归版
        const res=[]
        const rec=(root)=>{
            if(!root)return
            if(root.left)rec(root.left)
            res.push(root.val)
            if(root.right)rec(root.right)
        }
        rec(root)
        return res
};



时间复杂度:O(n) (n为树的节点数)

空间复杂度:O(n)

结束语🌞

那么鱼鱼的LeetCode算法篇的LeetCode94-二叉树的中序遍历就结束了,算法这个东西没有捷径,只能多写多练,多总结,文章的目的其实很简单,就是督促自己去完成算法练习并总结和输出,菜不菜不重要,但是热爱🔥,喜欢大家能够喜欢我的短文,也希望通过文章认识更多志同道合的朋友,如果你也喜欢折腾,欢迎加我好友,一起沙雕,一起进步

github🤖:sudongyu

个人博客👨‍💻:速冻鱼blog

vx👦:sudongyuer

写在最后

伙伴们,如果喜欢我的口水话给🐟🐟点一个赞👍或者关注➕都是对我最大的支持。

写在最后

伙伴们,如果喜欢我的口水话给🐟🐟点一个赞👍或者关注➕都是对我最大的支持。

加我微信:sudongyuer,邀你进群,一起学习前端,成为更优秀的工程师~(群二维码在这里->前端要早睡, 二维码过期了的话看链接沸点中的评论,我会把最新的二维码放在评论区,当然也可以加我微信我拉你进群,毕竟我也是有趣的前端,认识我也不赖🌟~)