身为程序员还看不懂UML类图? 一文带你零基础学会看UML类图!

3,657 阅读4分钟

小知识,大挑战!本文正在参与“程序员必备小知识”创作活动。

本文已参与「掘力星计划」,赢取创作大礼包,挑战创作激励金。

一,UML类图示例图

看下这个经典的UML的经典的示例图~(我照着百度百科的简介图自己画了一份)~ :类图


二,UML类图图例

功能图示描述举例
继承关系---▷实线 + 空心三角形鸟 ---▷ 动物;鸟继承动物
实现接口•••▷虚线 + 空心三角形大雁 •••▷ 飞翔;大雁实现了飞翔接口
实现接口---○棒棒糖表示法唐老鸭 ---○ 讲人话;唐老鸭实现讲人话接口
关联关系--->实线剪头企鹅 ---> 气候;企鹅需要‘知道’气候的变化
依赖关系•••>虚线剪头动物 •••> 氧气;动物依赖于氧气
聚合关系◇--->空心菱形 + 实线剪头大雁 ◇---> 翅膀;部分和整体的关系
合成关系◆--->实心菱形 + 实线剪头大雁 ◆---> 雁群;A包含B,但B不是A的一部分

上表包含了UML类图的基本图示法。

怎么样看了这个图例,上面的UML类类图就能看懂一大部分了吧,下面详细的介绍类图中每个部分的含义:


三,分步解析说明

3.1 类图:

类图 先看这个“动物”框,它就代表一个类。类图分为三层

  • 第一层:显示类的名称,若是抽象类,则用斜体表示。
  • 第二层:是类的特性,通常是字段和属性。
  • 第三次:是类的方法。

前面的符号表示访问权限:“+”表示public,“-”表示private,“#”表示protected。


3.2 接口:

接口 这个“飞翔”,表示一个接口图,与类图的区别主要是顶端有个《interface》标识。

  • 第一行:接口名称
  • 第二行:接口方法

接口还有另外一个表示方法,称为棒棒糖表示法,如上图中“唐老鸭”类实现了“讲人话”接口。


3.3 实现继承

继承图示: 继承 实现继承:

class Bird : Animal { } 

类与类之间的继承关系,用 空心三角形 + 实线 来表示。


3.4 实现接口:

实现图示: 实现 实现接口:

class WildGoose: IFly{ } 

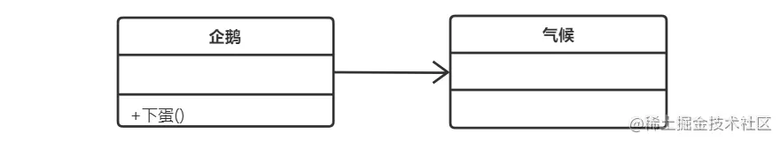
3.5 关联关系:

关联

在企鹅 (Pengui) 类中引用到 气候 (Climate) 对象。

class Pengui : Bird
{	
	private Climate calimate;
}

企鹅和气候这两个类,企鹅需要‘知道’气候的变化,需要‘了解’气候规律。 当一个类‘知道’另一个类时,可以用关联关系用实线箭头来表示。


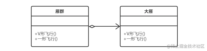
3.6 聚合关系:

聚合

看下大雁和雁群这个两个类,大雁是群居动物,每只大雁都是属于一个雁群,一个雁群可以有多只大雁。所以它们之间就满足聚合关系,聚合关系用空心菱形 + 实线箭头来表示。

class WildGooseGroup
{
	private WildGoose[] _WildGooseArray
}

聚合表示一种弱的‘拥有’关系,体现的是A对象可以包含B对象,但B对象不是A对象的一部分


3.7 合成关系:

合成

这里鸟类和翅膀类是合成关系,因为它们是部分和整体的关系,并且这里的鸟和翅膀的生命周期是相同的。合成关系用实心菱形 + 实线箭头来表示。

这里连线两端还有两个数字,这被称为基数,这表明一端的类可以有几个实例。若一个类可以有无数个实例,则就可以以用‘n’来表示。关联关系,聚合关系也可以有基数。

代码解析: 在鸟~(Bird)类中,初始化时,实例化翅膀(Wing)~,它们之间同时生成

class Bird : Animal 
{
	private Wing wing;
	private Bird()
	{
		wing = new Wing();
	}
} 

合成是一种强的‘拥有’关系,体现了严格的部分和整体的关系,部分和整体的生命周期一样。 在这里鸟和其翅膀就是合成关系。


3.8 依赖关系:

依赖关系

abstract class Animal
{
	public Metabolism(Oxygen oxy, Water water)
	{
	}
}

‘动物’ 的新陈代谢需要 ‘氧气’ 和 ‘水’ 来维持生命,所以依赖于氧气和水。这种依赖关系用虚线箭头来表示。


四,UML类图绘制工具

UML工具比较多,常用的三大UML建模工

  1. PowerDesign
  2. Rose
  3. Visio

还有一些免费的工具有:

  1. UMLet
  2. ArgoUML
  3. JUDE
  4. BOUml
  5. Visual Paradigm

免费在线编辑工具推荐:ProcessOn