多篇顶会小结深度学习下无监督图异常点检测

1,976 阅读2分钟

小知识,大挑战!本文正在参与“  程序员必备小知识  ”创作活动

本文同时参与 「掘力星计划」  ,赢取创作大礼包,挑战创作激励金

总结19年的几篇属性图上异常点检测的文章,研究目标聚集在无监督下静态的属性图。最近几年的顶会还没有发现别的这种文章。

第一篇

Zong B, Song Q, Min M R, et al. Deep autoencoding gaussian mixture model for unsupervised anomaly detection[J]. 2018.

之前的工作都是将拓扑图结构高维向量映射到低维,再去做密度估计。这篇是第一次把AE和GMM联合一起优化。

第二篇:

Ding K, Li J, Bhanushali R, et al. Deep anomaly detection on attributed networks[C]//Proceedings of the 2019 SIAM International Conference on Data Mining. Society for Industrial and Applied Mathematics, 2019: 594-602.

用gcn后,分别构造属性损失和结构损失。引入了分数。

第三篇

Li Y, Huang X, Li J, et al. SpecAE: Spectral AutoEncoder for Anomaly Detection in Attributed Networks[C]//Proceedings of the 28th ACM International Conference on Information and Knowledge Management. 2019: 2233-2236.

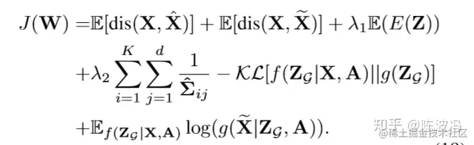
背景: 目前方法基于同构性假设:相连的节点有相似的节点属性。因此拓扑关系可以通过最小化相连节点的属性距离的方法引入。 现有的gcn方法让每个节点和邻居交互,但是这种方法会让节点的属性更加平滑,忽略了全局异常。 本文解决的问题 1.如何定义异常 2.如何解决gcn的over-smoth问题。

异常定义

全局异常:单纯看属性的情况下,某个节点的属性与整体不同。

社区异常:i节点和i节点的邻居的属性不同。

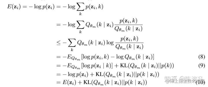
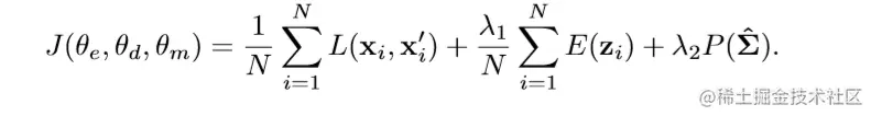
全局异常采用AE,社区异常采用gcn的AE。把隐向量放入高斯混合模型,位于高斯混合模型2侧的可以看作异常点。

总结一下目前无监督下异常检测的方法: 1.基于AE的重构损失 2.基于密度估计 3.AE+密度估计结合适用。比如specAE。 目前看来这些论文的重点还是在于如何定义异常!如何更好的表示节点特征。






专注机器学习与风控算法前沿进展,分享数据挖掘比赛,机器学习,反作弊,推荐系统等技术文章。 快来关注我一起学习呀!