谈谈你对 MVC、MVP 和 MVVM 的理解?

4,902 阅读5分钟

答题思路:此题涉及知识点很多,比较难以说清楚、说透彻,因为 mvc、mvp 这些,我们前端程序员自己甚至都没有用过。但是恰恰反映了前端这些年从无到有,从有到优的变迁过程,因此沿此思路回答将十分清楚。

web1.0 时代

  • 在 web1.0 时代,并没有前端的概念。开发一个 web 应用多采用 ASP.NET/Java/PHP 编写,项目通常由多个 aspx/jsp/php 文件构成,每个文件中同时包含了 HTML、CSS、Javascript、C#/Java/PHP 代码,系统整体架构可能是这样子的:

image.png

这种架构的好处是简单快捷,但是,缺点也非常明显:JSP 代码难以维护。

  • 为了让开发更加便捷,代码更易于维护,前后端职责更加清晰。便衍生出 MVC 开发模式和框架,前端展示以模板的形式出现。典型的框架就是 Spring、Structs、Hibernate。整体框架如图所示:

image.png

使用这种分层架构,职责清晰,代码易于维护。但这里的 MVC 仅限于后端,前后端形成了一定的分离,前端只完成了后端开发中的 view 层。

但是,同样的这种模式存在着一些:

1. 前端页面开发效率不高
2. 前后端职责不清

web2.0 时代

  • 自从 Gmail 的出现,Ajax 技术开始风靡全球。有了 Ajax 之后,前后端的职责就更加的清晰了。因为前端可以通过 Ajax 与后端进行数据交互,因此,整体的架构图也变化成下面这幅图:

image.png

通过 Ajax 与后台服务器进行数据交换,前端开发人员,只需要开发页面这部分内容,数据可由后台进行 提供。而且 Ajax 可以使得页面实现部分刷新,减少了服务端负载和流量消耗,用户体验也更佳。这时, 才开始有专职的前端工程师。同时前端的类库也慢慢的开始发展,最著名的就是 jQuery 了。  当然,此架构也存在问题:缺乏可行的开发模式承载更复杂的业务需求,页面内容都杂糅在一起,一旦应用规模增大,就会导致难以维护了。因此,前端的 MVC 也随之而来。

前后端分离后的架构演变 ——MVCMVPMVVM

MVC

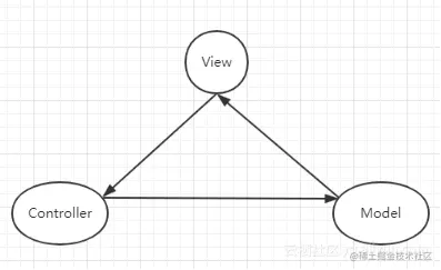
  • 前端的MVC 与后端类似,具备着 View、Controller 和 Model。
    • Model:负责保存应用数据,与后端数据进行同步。
    • Controller:负责业务逻辑,根据用户行为对 Model 数据进行修改。
    • View:负责视图展示,将 Model 中的数据可视化出来。

三者形成了一个如图所示的模型:

image.png

这样的模型,在理论上是可行的。但往往在实际开发中,并不会这样操作。因为开发过程并不灵活。例如,一个小小的事件操作,都必须经过这样的一个流程,那么开发就不再便捷了。 

在实际场景中,我们往往会看到另一种模式,如图:

image.png

这种模式在开发中更加的灵活,backbone.js框架就是这种的模式。

但是,这种灵活可能导致严重的问题:

  1. 数据流混乱。如下图:

image.png

  1. View 比较庞大,而 Controller 比较单薄:由于很多的开发者都会在view中写一些逻辑代码,逐渐的就导致 view 中的内容越来越庞大,而 controller 变得越来越单薄。

既然有缺陷,就会有变革。前端的变化中,似乎少了 MVP 的这种模式,是因为 AngularJS 早早地将 MVVM 框架模式带入了前端。MVP 模式虽然前端开发并不常见,但是在安卓等原生开发中,开发者还是会考虑到它。

MVP

  • MVP与MVC很接近,P指的是Presenter,presenter可以理解为一个中间人,它负责着View和Model之 间的数据流动,防止View和Model之间直接交流。我们可以看一下图示:

image.png

我们可以通过看到,presenter 负责和 Model 进行双向交互,还和 View 进行双向交互。这种交互方式, 相对于 MVC 来说少了一些灵活,VIew 变成了被动视图,并且本身变得很小。虽然它分离了 View 和 Model。但是应用逐渐变大之后,导致 presenter 的体积增大,难以维护。要解决这个问题,或许可以 从 MVVM 的思想中找到答案。

MVVM

  • 首先,何为 MVVM 呢? MVVM 可以分解成(Model-View-VIewModel)。ViewModel 可以理解为在 presenter基础上的进阶版。如图所示:

image.png

ViewModel 通过实现一套数据响应式机制自动响应Model中数据变化; 
同时 Viewmodel 会实现一套更新策略自动将数据变化转换为视图更新; 
通过事件监听响应View中用户交互修改 Model 中数据。  这样在 ViewModel 中就减少了大量DOM操作代码。 
MVVM 在保持 View 和 Model 松耦合的同时,还减少了维护它们关系的代码,使用户专注于业务逻辑,兼顾开发效率和可维护性。

总结

  • 三者都是框架模式,它们设计的目标都是为了解决Model和View的耦合问题。
  • MVC 模式出现较早主要应用在后端,如 Spring MVC、ASP.NET MVC 等,在前端领域的早期也有应 用,如Backbone.js。它的优点是分层清晰,缺点是数据流混乱,灵活性带来的维护性问题。
  • MVP 模式在是 MVC 的进化形式,Presenter 作为中间层负责 MV 通信,解决了两者耦合问题,但 P 层过于臃肿会导致维护问题。
  • MVVM 模式在前端领域有广泛应用,它不仅解决 MV 耦合问题,还同时解决了维护两者映射关系的大量繁杂代码和 DOM 操作代码,在提高开发效率、可读性同时还保持了优越的性能表现。