【图像增强】基于matlab GUI图像双边滤波【含Matlab源码 1342期】

259 阅读7分钟

一、图像增强简介

图像增强是对图像的某些特征,如边缘、轮廓、对比度等进行强调或锐化,以便于显示、观察或进一步分析与处理。通过对图像的特定加工,将被处理的图像转化为对具体应用来说视觉质量和效果更“好”或更“有用”的图像。 图像增强是最基本最常用的图像处理技术,常用于其他图像处理的预处理阶段。 在这里插入图片描述 (1)高通平滑、低通锐化;平滑模糊、锐化突出图像细节 (2)滤波器还有带通、带阻等形式 (3)根据噪声(椒盐噪声、高斯噪声....)的不同,选用不同的滤波 (4)邻域有4-邻域、对角邻域、8-邻域,相对应的有邻接,即空间上相邻、像素灰度相似 (5)图像边缘处理:忽略不处理、补充、循环使用 (6)目前尚未图像处理大多基于灰度图像

二、快速亮通双边滤波器(FBPBF)简介

双边滤波是由Tomasi和Manduchi提出来的一种具有保持边缘和降噪效果的非线性滤波器,双边滤波采用基于高斯分布的加权平均的方法,用某个像素的周边像素亮度值的加权平均代表该点的强度.

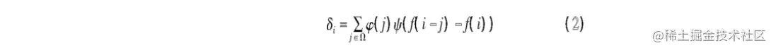
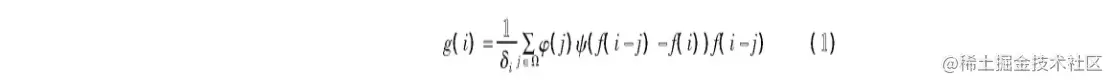
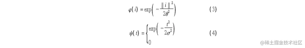
2.1 亮通双边滤波器(BPBF) 亮通双边滤波(BPBF)是基于双边滤波的一种变体,可用于光照分量估计,相比于双边滤波,BPBF计算更复杂,但滤波效果更好,对细节的保持更精准.BPBF对图像V通道的光照分量估计的表达如下: 在这里插入图片描述 其中:f(i)表示HSV色彩空间的V通道;g(i)表示BPBF的输出;Ω是执行聚合的邻域. 在这里插入图片描述 其中,高斯空间核φ与单边高斯范围核ψ的表达如下: 在这里插入图片描述 其中:θ与σ分别是各自的标准差,一般而言,标准差越小,平滑的结果越不理想,标准差越大,平滑效果越好.

三、部分源代码

function varargout = demoUI(varargin)
% DEMOUI MATLAB code for demoUI.fig
%      DEMOUI, by itself, creates a new DEMOUI or raises the existing
%      singleton*.
%
%      H = DEMOUI returns the handle to a new DEMOUI or the handle to
%      the existing singleton*.
%
%      DEMOUI('CALLBACK',hObject,eventData,handles,...) calls the local
%      function named CALLBACK in DEMOUI.M with the given input arguments.
%
%      DEMOUI('Property','Value',...) creates a new DEMOUI or raises the
%      existing singleton*.  Starting from the left, property value pairs are
%      applied to the GUI before demoUI_OpeningFcn gets called.  An
%      unrecognized property name or invalid value makes property application
%      stop.  All inputs are passed to demoUI_OpeningFcn via varargin.
%
%      *See GUI Options on GUIDE's Tools menu.  Choose "GUI allows only one
%      instance to run (singleton)".
%
% See also: GUIDE, GUIDATA, GUIHANDLES


% Begin initialization code - DO NOT EDIT
gui_Singleton = 1;
gui_State = struct('gui_Name',       mfilename, ...
                   'gui_Singleton',  gui_Singleton, ...
                   'gui_OpeningFcn', @demoUI_OpeningFcn, ...
                   'gui_OutputFcn',  @demoUI_OutputFcn, ...
                   'gui_LayoutFcn',  [] , ...
                   'gui_Callback',   []);
if nargin && ischar(varargin{1})
    gui_State.gui_Callback = str2func(varargin{1});
end

if nargout
    [varargout{1:nargout}] = gui_mainfcn(gui_State, varargin{:});
else
    gui_mainfcn(gui_State, varargin{:});
end
% End initialization code - DO NOT EDIT


% --- Executes just before demoUI is made visible.
function demoUI_OpeningFcn(hObject, eventdata, handles, varargin)
% This function has no output args, see OutputFcn.
% hObject    handle to figure
% eventdata  reserved - to be defined in a future version of MATLAB
% handles    structure with handles and user data (see GUIDATA)
% varargin   command line arguments to demoUI (see VARARGIN)

% Choose default command line output for demoUI
handles.output = hObject;

% Update handles structure
guidata(hObject, handles);

% UIWAIT makes demoUI wait for user response (see UIRESUME)
% uiwait(handles.figure1);


% --- Outputs from this function are returned to the command line.
function varargout = demoUI_OutputFcn(hObject, eventdata, handles) 
% varargout  cell array for returning output args (see VARARGOUT);
% hObject    handle to figure
% eventdata  reserved - to be defined in a future version of MATLAB
% handles    structure with handles and user data (see GUIDATA)

% Get default command line output from handles structure
varargout{1} = handles.output;



function imagepath_Callback(hObject, eventdata, handles)
% hObject    handle to imagepath (see GCBO)
% eventdata  reserved - to be defined in a future version of MATLAB
% handles    structure with handles and user data (see GUIDATA)

% Hints: get(hObject,'String') returns contents of imagepath as text
%        str2double(get(hObject,'String')) returns contents of imagepath as a double


% --- Executes during object creation, after setting all properties.
function imagepath_CreateFcn(hObject, eventdata, handles)
% hObject    handle to imagepath (see GCBO)
% eventdata  reserved - to be defined in a future version of MATLAB
% handles    empty - handles not created until after all CreateFcns called

% Hint: edit controls usually have a white background on Windows.
%       See ISPC and COMPUTER.
if ispc && isequal(get(hObject,'BackgroundColor'), get(0,'defaultUicontrolBackgroundColor'))
    set(hObject,'BackgroundColor','white');
end


% --- Executes on button press in browseButton.
function browseButton_Callback(hObject, eventdata, handles)
% hObject    handle to browseButton (see GCBO)
% eventdata  reserved - to be defined in a future version of MATLAB
% handles    structure with handles and user data (see GUIDATA)
CallbackFcns browse;

% --- Executes on button press in loadButton.
function loadButton_Callback(hObject, eventdata, handles)
% hObject    handle to loadButton (see GCBO)
% eventdata  reserved - to be defined in a future version of MATLAB
% handles    structure with handles and user data (see GUIDATA)
CallbackFcns load;

% --- Executes on button press in filterButton.
function filterButton_Callback(hObject, eventdata, handles)
% hObject    handle to filterButton (see GCBO)
% eventdata  reserved - to be defined in a future version of MATLAB
% handles    structure with handles and user data (see GUIDATA)
CallbackFcns filter;

% --- Executes on button press in pushbutton4.
function pushbutton4_Callback(hObject, eventdata, handles)
% hObject    handle to pushbutton4 (see GCBO)
% eventdata  reserved - to be defined in a future version of MATLAB
% handles    structure with handles and user data (see GUIDATA)


% --- Executes on slider movement.
function sliderS_Callback(hObject, eventdata, handles)
% hObject    handle to sliderS (see GCBO)
% eventdata  reserved - to be defined in a future version of MATLAB
% handles    structure with handles and user data (see GUIDATA)

% Hints: get(hObject,'Value') returns position of slider
%        get(hObject,'Min') and get(hObject,'Max') to determine range of slider
CallbackFcns sigmas_slider;

% --- Executes during object creation, after setting all properties.
function sliderS_CreateFcn(hObject, eventdata, handles)
% hObject    handle to sliderS (see GCBO)
% eventdata  reserved - to be defined in a future version of MATLAB
% handles    empty - handles not created until after all CreateFcns called

% Hint: slider controls usually have a light gray background.
if isequal(get(hObject,'BackgroundColor'), get(0,'defaultUicontrolBackgroundColor'))
    set(hObject,'BackgroundColor',[.9 .9 .9]);
end


% --- Executes on slider movement.
function sliderR_Callback(hObject, eventdata, handles)
% hObject    handle to sliderR (see GCBO)
% eventdata  reserved - to be defined in a future version of MATLAB
% handles    structure with handles and user data (see GUIDATA)

% Hints: get(hObject,'Value') returns position of slider
%        get(hObject,'Min') and get(hObject,'Max') to determine range of slider
CallbackFcns sigmar_slider;

% --- Executes during object creation, after setting all properties.
function sliderR_CreateFcn(hObject, eventdata, handles)
% hObject    handle to sliderR (see GCBO)
% eventdata  reserved - to be defined in a future version of MATLAB
% handles    empty - handles not created until after all CreateFcns called

% Hint: slider controls usually have a light gray background.
if isequal(get(hObject,'BackgroundColor'), get(0,'defaultUicontrolBackgroundColor'))
    set(hObject,'BackgroundColor',[.9 .9 .9]);
end


% --- Executes on selection change in listbox1.
function listbox1_Callback(hObject, eventdata, handles)
% hObject    handle to listbox1 (see GCBO)
% eventdata  reserved - to be defined in a future version of MATLAB
% handles    structure with handles and user data (see GUIDATA)

% Hints: contents = cellstr(get(hObject,'String')) returns listbox1 contents as cell array
%        contents{get(hObject,'Value')} returns selected item from listbox1


% --- Executes during object creation, after setting all properties.
function listbox1_CreateFcn(hObject, eventdata, handles)
% hObject    handle to listbox1 (see GCBO)
% eventdata  reserved - to be defined in a future version of MATLAB
% handles    empty - handles not created until after all CreateFcns called

% Hint: listbox controls usually have a white background on Windows.
%       See ISPC and COMPUTER.
if ispc && isequal(get(hObject,'BackgroundColor'), get(0,'defaultUicontrolBackgroundColor'))
    set(hObject,'BackgroundColor','white');
end



function editS_Callback(hObject, eventdata, handles)
% hObject    handle to editS (see GCBO)
% eventdata  reserved - to be defined in a future version of MATLAB
% handles    structure with handles and user data (see GUIDATA)

% Hints: get(hObject,'String') returns contents of editS as text
%        str2double(get(hObject,'String')) returns contents of editS as a double
CallbackFcns sigmas_edit;

% --- Executes during object creation, after setting all properties.
function editS_CreateFcn(hObject, eventdata, handles)
% hObject    handle to editS (see GCBO)
% eventdata  reserved - to be defined in a future version of MATLAB
% handles    empty - handles not created until after all CreateFcns called

% Hint: edit controls usually have a white background on Windows.
%       See ISPC and COMPUTER.
if ispc && isequal(get(hObject,'BackgroundColor'), get(0,'defaultUicontrolBackgroundColor'))
    set(hObject,'BackgroundColor','white');
end



function editR_Callback(hObject, eventdata, handles)
% hObject    handle to editR (see GCBO)
% eventdata  reserved - to be defined in a future version of MATLAB
% handles    structure with handles and user data (see GUIDATA)

% Hints: get(hObject,'String') returns contents of editR as text
%        str2double(get(hObject,'String')) returns contents of editR as a double
CallbackFcns sigmar_edit;

% --- Executes during object creation, after setting all properties.
function editR_CreateFcn(hObject, eventdata, handles)
% hObject    handle to editR (see GCBO)
% eventdata  reserved - to be defined in a future version of MATLAB
% handles    empty - handles not created until after all CreateFcns called

% Hint: edit controls usually have a white background on Windows.
%       See ISPC and COMPUTER.
if ispc && isequal(get(hObject,'BackgroundColor'), get(0,'defaultUicontrolBackgroundColor'))
    set(hObject,'BackgroundColor','white');
end


% --- Executes on button press in saveButton.
function saveButton_Callback(hObject, eventdata, handles)
% hObject    handle to saveButton (see GCBO)
% eventdata  reserved - to be defined in a future version of MATLAB
% handles    structure with handles and user data (see GUIDATA)
CallbackFcns save;


% --- Executes on slider movement.
function sliderEps_Callback(hObject, eventdata, handles)
% hObject    handle to sliderEps (see GCBO)
% eventdata  reserved - to be defined in a future version of MATLAB
% handles    structure with handles and user data (see GUIDATA)

% Hints: get(hObject,'Value') returns position of slider
%        get(hObject,'Min') and get(hObject,'Max') to determine range of slider
CallbackFcns eps_slider;

% --- Executes during object creation, after setting all properties.
function sliderEps_CreateFcn(hObject, eventdata, handles)
% hObject    handle to sliderEps (see GCBO)
% eventdata  reserved - to be defined in a future version of MATLAB
% handles    empty - handles not created until after all CreateFcns called

% Hint: slider controls usually have a light gray background.
if isequal(get(hObject,'BackgroundColor'), get(0,'defaultUicontrolBackgroundColor'))
    set(hObject,'BackgroundColor',[.9 .9 .9]);
end



function editEps_Callback(hObject, eventdata, handles)
% hObject    handle to editEps (see GCBO)
% eventdata  reserved - to be defined in a future version of MATLAB
% handles    structure with handles and user data (see GUIDATA)

% Hints: get(hObject,'String') returns contents of editEps as text
%        str2double(get(hObject,'String')) returns contents of editEps as a double
CallbackFcns eps_edit;

% --- Executes during object creation, after setting all properties.
function editEps_CreateFcn(hObject, eventdata, handles)
% hObject    handle to editEps (see GCBO)
% eventdata  reserved - to be defined in a future version of MATLAB
% handles    empty - handles not created until after all CreateFcns called

% Hint: edit controls usually have a white background on Windows.
%       See ISPC and COMPUTER.
if ispc && isequal(get(hObject,'BackgroundColor'), get(0,'defaultUicontrolBackgroundColor'))
    set(hObject,'BackgroundColor','white');
end

四、运行结果

在这里插入图片描述

五、matlab版本及参考文献

1 matlab版本 2014a

2 参考文献 [1] 蔡利梅.MATLAB图像处理——理论、算法与实例分析[M].清华大学出版社,2020. [2]杨丹,赵海滨,龙哲.MATLAB图像处理实例详解[M].清华大学出版社,2013. [3]周品.MATLAB图像处理与图形用户界面设计[M].清华大学出版社,2013. [4]刘成龙.精通MATLAB图像处理[M].清华大学出版社,2015. [5]魏赟,欧阳鹏.基于快速亮通双边滤波器的Retinex图像增强算法[J].小型微型计算机系统. 2021,42(09)