Python数学建模系列(七):差分

1,239 阅读5分钟

小知识,大挑战!本文正在参与“程序员必备小知识”创作活动。

前言

Hello!小伙伴!

非常感谢您阅读海轰的文章,倘若文中有错误的地方,欢迎您指出~

 

自我介绍 ଘ(੭ˊᵕˋ)੭

昵称:海轰

标签:程序猿|C++选手|学生

简介:因C语言结识编程,随后转入计算机专业,有幸拿过一些国奖、省奖...已保研。目前正在学习C++/Linux/Python

学习经验:扎实基础 + 多做笔记 + 多敲代码 + 多思考 + 学好英语!  

初学Python 小白阶段

文章仅作为自己的学习笔记 用于知识体系建立以及复习

题不在多 学一题 懂一题

知其然 知其所以然!

1 递推关系-酵母菌生长模型

差分方程建模的关键在于如何得到第n组数据与第n+1组数据之间的关系

如图所示我们用培养基培养细菌时,其数量变化通常会经历这四个时期。​

image.png 这个模型针对前三个时期建一个大致的模型:

  • 调整期
  • 对数期
  • 稳定期

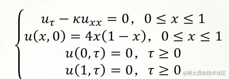
根据已有的数据进行绘图:

import matplotlib.pyplot as plt 
time = [i for i in range(0,19)] 
number = [9.6,18.3,29,47.2,71.1,119.1,174.6,257.3, 
          350.7,441.0,513.3,559.7,594.8,629.4,640.8,  
          651.1,655.9,659.6,661.8] 
plt.title('Relationship between time and number')#创建标题 
plt.xlabel('time')#X轴标签 
plt.ylabel('number')#Y轴标签 
plt.plot(time,number)#画图 
plt.show()#显示

image.png 分析:

酵母菌数量增长有一个这样的规律:当某些资源只能支撑某个最大限度的种群 数量,而不能支持种群数量的无限增长,当接近这个最大值时,种群数量的增 长速度就会慢下来。

  • 两个观测点的值差△p来表征增长速度
  • △p与目前的种群数量有关,数量越大,增长速度越快
  • △p还与剩余的未分配的资源量有关,资源越多,增长速度越快
  • 然后以极限总群数量与现有种群数量的差值表征剩余资源量

模型:Δp=pn+1pn=k(665pn)pn\Delta p = p_{n+1} - p_n = k(665-p_n)p_n

接下来计算模型表达式 求系数k(已知pnΔpp_n 、\Delta p的情况下) ​ 当把该式子看成二次曲线进行拟合时:

import numpy as np
import matplotlib.pylab as plt
p_n = [9.6,18.3,29,47.2, 71.1,119.1, 174.6, 
      257.3, 350.7, 441.0, 513.3, 559.7, 594.8, 629.4,
      640.8, 651.1, 655.9, 659.6]
delta_p = [8.7, 10.7,18.2,23.9, 48,55.5,
          82.7, 93.4, 90.3, 72.3, 46.4,35.1,
          34.6, 11.4, 10.3,4.8,3.7,2.2]
plt.plot(p_n,delta_p)


poly = np.polyfit(p_n, delta_p, 2)
z = np.polyval(poly,p_n)
print(poly)

plt.plot(p_n, z)
plt.show()
# [-8.01975671e-04  5.16054679e-01  6.41123361e+00]
# k = -8.01975671e-04

运行结果 image.png 当看成一次曲线进行拟合时

将 (665 - pn) * pn 看出一个整体 那么整个式子就是一个一次函数

import numpy as np
import matplotlib.pylab as plt
p_n = [9.6,18.3,29,47.2, 71.1,119.1, 174.6, 
      257.3, 350.7, 441.0, 513.3, 559.7, 594.8, 629.4,
      640.8, 651.1, 655.9, 659.6]
delta_p = [8.7, 10.7,18.2,23.9, 48,55.5,
          82.7, 93.4, 90.3, 72.3, 46.4,35.1,
          34.6, 11.4, 10.3,4.8,3.7,2.2]

p_n = np.array(p_n)
x= (665 - p_n) * p_n
plt.plot(x,delta_p)

ploy = np.polyfit(x,delta_p,1)
print(ploy)
z = np.polyval(ploy,x)

plt.plot(x,z)
plt.show()

# [ 0.00081448 -0.30791574] 
# k = 0.00081448

运行结果 image.png

预测曲线:

import matplotlib.pyplot as plt 
p0 = 9.6 
p_list = [] 
for i in range(20): 
    p_list.append(p0) 
    p0 = 0.00081448*(665-p0)*p0+p0 
plt.plot(p_list) 
plt.show()

运行结果: image.png

2 显示差分-热传导方程

一维热传导方程为:

其中,k为热传导系数,第2式是方程的初值条件,第3、4式是边值条件,热传导方程如下:

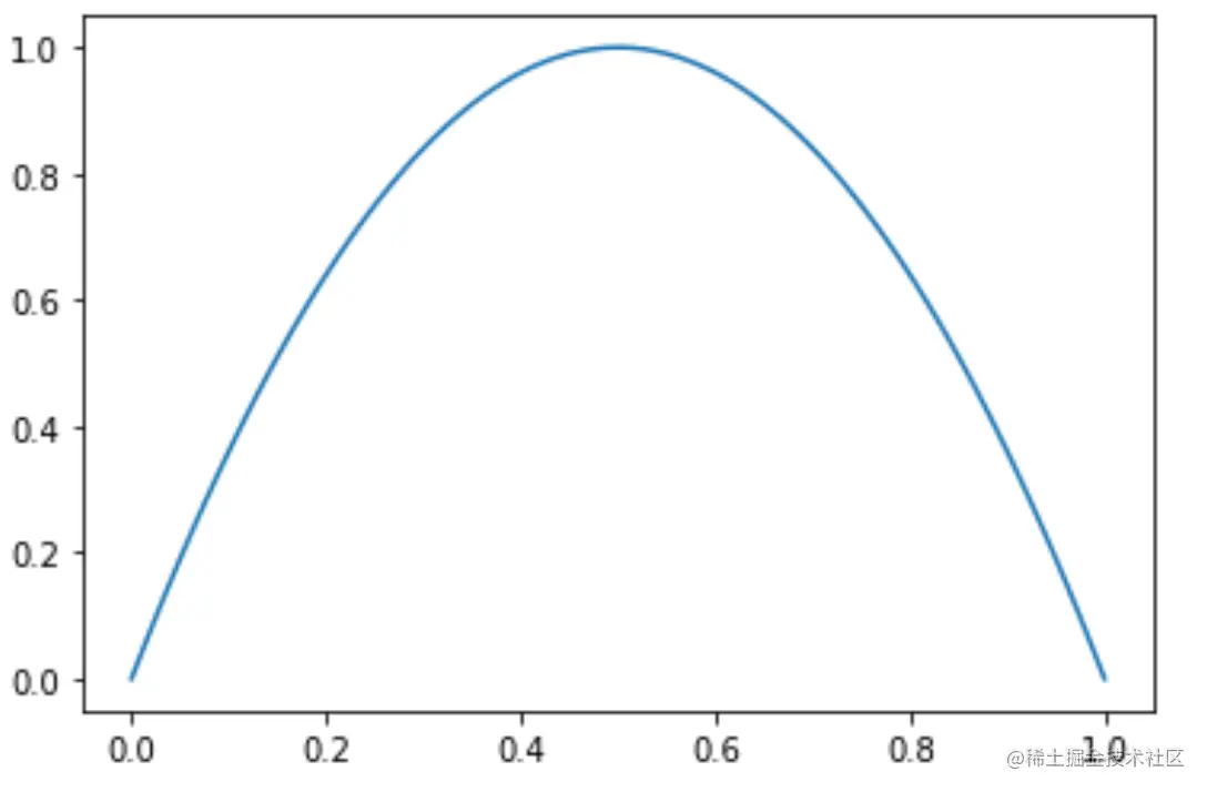
image.png 绘制初值条件函数图像(第二个式子) ​

import numpy as np
import matplotlib.pylab as plt

x = np.linspace(0,1,100)
y = 4 * x * (1 - x)

plt.plot(x,y)
plt.show()

运行结果 image.png 注:CAL库没有安装上,以下代码未运行,照着PPT写了一遍(安装了一天 装上了 但是运行一直报错)

N = 25 
M = 2500 
T = 1.0 
X = 1.0 
xArray = np.linspace(0,1.0,50) 
yArray = map(initialCondition, xArray) 
starValues = yArray 
U = np.zeros((N+1,M+1)) 
U[:,0]=starValues 
dx=X/N 
dt=T/N 
kappa=1.0
rho=kappa*dt/dx/dx 
for k in range(0,N): 
    for j in range(1,N): 
        U[j][k+1]=rho*U[j-1][k]+ (1.-2*rho)*U[j][k]+ rho*U[j+1][k] 
    U[0][k+1]=0. 
    U[N][k+1]=0. 
pylab.figure(figsize=(12,6)) 
pylab.plot(xArray, U[:,0]) 
pylab.plot(xArray, U[:,int(0.10/dt)]) 
pylab.plot(xArray, U[:,int(0.20/dt)]) 
pylab.plot(xArray, U[:,int(0.50/dt)]) 
pylab.xlabel(‘$x$’, fontsize=15) 
pylab.ylabel(r‘$U(\dot,\tau)$’,fontsize=15) 
pylab.title(u’一维热传导方程’,fontproperties=font) 
pylab.legend([r’$\tau=0.$’, r’$\tau=0.10$’, r’$\tau=0.20$’, r’$\tau=0.50$’],fontsize=15)

image.png 三维立体图查看整体热传导过程 :

tArray = np.linspace(0, 0.2, int(0.2/dt)+1)
xGride, tGride = np.meshgrid(xArray, tArray) 
from mpl_toolkits.mplot3d import Axes3D 
from matplotlib import cm 
fig = pylab.figure(figsize=(16,10)) 
ax = fig.add_subplot(1,1,1,projection=‘3d’) 
surface = ax.plot_surface(xGride, tGride, U[:,:int(0.2/dt)+1].T, cmap=cm.coolwarm)
ax.set_xlabel(“$x$”, fontdict={“size”:18}) 
ax.set_ylabel(r“$\tau$”, fontdict={“size”:18}) 
ax.set_zlabel(r”$U$”, fontdict={“size”:18}) 
ax.set_title(u”热传导方程 $u_\\tau = u_{xx}$”, fontproperties=font) 
fig.colorbar(surface, shrink=0.75)

image.png

3 马尔科夫链-选举投票预测

马尔科夫链是由具有以下性质的一系列事件构成的过程:

  • 一个事件有有限多个结果,称为状态,该过程总是这些状态中的一个;
  • 在过程的每个阶段或者时段,一个特定的结果可以从它现在的状态转移到任 何状态,或者保持原状;
  • 每个阶段从一个状态转移到其他状态的概率用一个转移矩阵表示,矩阵每行 的各元素在0到1之间,每行的和为1。

实例:选举投票预测 ​ 以美国大选为例,首先取得过去十次选举的历史数据,然后根据历史数据得到 选民意向的转移矩阵。

image.png image.png 构建差分方程:

image.png 于是可以通过求解差分方程组,推测出选民投票意向的长期趋势

import matplotlib.pyplot as plt 
RLIST = [0.33333] 
DLIST = [0.33333] 
ILIST = [0.33333] 
for i in range(40): 
    R = RLIST[i]*0.75+DLIST[i]*0.20+ILIST[i]*0.40 
    RLIST.append(R) 
    D = RLIST[i]*0.05+DLIST[i]*0.60+ILIST[i]*0.20 
    DLIST.append(D) 
    I = RLIST[i]*0.20+DLIST[i]*0.20+ILIST[i]*0.40 
    ILIST.append(I) 
plt.plot(RLIST) 
plt.plot(DLIST) 
plt.plot(ILIST) 
plt.xlabel('Time') 
plt.ylabel('Voting percent')
plt.annotate('DemocraticParty',xy = (5,0.2)) 
plt.annotate('RepublicanParty',xy = (5,0.5)) 
plt.annotate('IndependentCandidate',xy = (5,0.25)) 
plt.show() 
print(RLIST,DLIST,ILIST) 

运行结果

image.png 最后得到的长期趋势是:

  • 56%的人选共和党
  • 19%的人选民主党
  • 25%的人选独立候选人

这个问题还可以用C-K方程来解

import numpy as np
a = np.array([[0.75,0.05,0.20],[0.20,0.60,0.20],[0.40,0.20,0.40]])
p = np.mat(a)
for i in range(40):
    p = p*p   
print(p)

运行结果:

image.png

结语

学习来源:B站及其课堂PPT,对其中代码进行了复现

文章仅作为学习笔记,记录从0到1的一个过程

希望对您有所帮助,如有错误欢迎小伙伴指正~

在这里插入图片描述