带你读论文系列之计算机视觉--SENet

2,504 阅读11分钟

带你读论文系列之计算机视觉--SENet

闲谈

总有那么瞬间思念远方的故人。八月十五中秋节,让我们放下繁忙工作,回家与老人团圆举杯共餐。这是我第一次没有在家过中秋,感觉也还行。现在节日没有什么节日气氛,最重要的家人团聚。各位小可爱们,中秋佳节,愿你快快乐乐,开开心心;健健康康,轻轻松松;团团圆圆,恩恩爱爱;和和美美,红红火火!❤️

前言

论文:Squeeze-and-Excitation Networks

代码

一个可嫁接/整合的Block 😇

Momenta在ImageNet2017挑战赛中夺冠的网络架构SENet。本文作者为Momenta高级研发工程师胡杰。 Momenta成立于2016年,是自动驾驶公司。其核心技术是基于深度学习的环境感知、高精度地图、驾驶决策算法。产品包括不同级别的自动驾驶方案,以及衍生出的大数据服务。Momenta专注于“打造自动驾驶大脑”,拥有世界专业的深度学习专家,如图像识别领域框架Faster R-CNN和ResNet的作者, ImageNet 2015、ImageNet 2017、MS COCO Challenge 2015等多项比赛。团队成员主要来源于清华大学、麻省理工学院、微软亚洲研究院等高校及研究机构,以及百度、阿里、腾讯、华为、商汤等知名高科技公司,拥有深厚的技术积累、极强的技术原创力和丰富的行业经验。

SENet获得了ImageNet2017大赛分类任务的冠军,这也是最后一届ImageNet比赛,论文同时获得了CVPR2018的oral。而且,SENet思路简单,实现方便,计算量小,模块化涉及,可以无缝嵌入主流的网络结构中,实践不断证明其可以使得网络获得更好的任务效果。

卷积核作为卷积神经网络的核心,通常被看做是在局部感受野上,将空间上(spatial)的信息和特征维度上(channel-wise)的信息进行聚合的信息聚合体。卷积神经网络由一系列卷积层、非线性层和下采样层构成,这样它们能够从全局感受野上去捕获图像的特征来进行图像的描述。

摘要

  1. 卷积操作是CNN核心其可融合空间和通道的特征;
  2. 已经有人研究增强空间特征的提取;
  3. 本文针对通道特征提出SEblock,其可自适应的校正通道特征;
  4. SEblock可堆叠成SENet,并在多个数据集上获得较好的效果;
  5. SENet仅增加少量参数,就大幅提升精度;
  6. 获得ILSVRC冠军;

对ImageNet数据集进行了广泛评估。SENets不局限于某个特定的数据集或任务。通过利用SENets,我们在ILSVRC2017分类竞赛中排名第一。我们的最佳模型集合在测试集上实现了2.251%的最高5级错误1。与前一年的冠军作品相比,这代表了大约25%的相对改进(前五名的误差为2.991%)。

从通道维度入手,设计SEBlock。提出一种机制可对特征进行校正,校正后的特征可保留有价值的特征,剔除没价值的特征,即注意力机制。

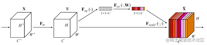
SE构建块的结构如上图所示。特征首先通过Squeeze操作,它通过在其空间维度(H×W)上聚合特征图来产生通道描述符。该描述符的功能是生成通道特征响应的全局分布的嵌入,允许来自网络的全局感受野的信息被其所有层使用。聚合之后是激励操作,它采用简单的self-gating mechanism的形式,将嵌入作为输入并产生每通道调制权重的集合。这些权重应用于特征映射U以生成SE块的输出,该输出可以直接馈入网络的后续层。可以通过简单地堆叠SE块的集合来构建SE网络(SENet)。此外,这些SE块还可以用作网络架构中一定深度范围内原始块。

论文详情

思路:让我们的神经网络使用全局信息来增强有用的信息,同时抑制无用的信息。

假设:

其中,

令K = [K1,K2,.....KC],其中每个元素Ki为filter kernel 于是: 其中*代表了conv运算(忽略bias)

Squeeze阶段 Excitation阶段 VGGNets和Inception模型表明,增加网络的深度可以显着提高其能够学习的表示质量。通过调节每层输入的分布,批量归一化(BN)为深度网络中的学习过程增加了稳定性,并产生了更平滑的优化表面。在这些工作的基础上,ResNets证明了用shortcut connection来学习更深入、更强大的网络是可能的。Highway Networks引入了一种self-gating machine来调节信息流捷径连接。在这些工作之后,网络层之间的连接有了进一步的重构,其中显示了对深度网络的学习和表示特性的有希望的改进。

  1. 分组卷积:ResNeXt
  2. 多分支网络GoogLeNet系列
  3. 1*1卷积的应用:Xception 等

以往的研究通道之间关系时,采用的是局部信息。本论文提出的方法采用全局方法。

设计和开发新的CNN 架构是一项困难的工程任务,通常需要选择许多新的超参数和层配置。相比之下,SE块的结构很简单,可以直接用于现有的最先进的架构中,通过用SE对应的组件替换,可以有效提高性能。SE模块在计算上也是轻量级的,只在模型复杂性和计算负担上有轻微增加。

SENet优势

  1. SE block设计简单,即插即用;
  2. SE block参数少

Google团队提出MnasNet(MnasNet:Platform-AwareNeuralArchitectureSearchforMobile )使用强化学习的思路,提出一种资源约束的终端CNN模型的自动神经结构搜索方法。MnasNet中用了SEblock。

  1. 注意力机制可理解为将最有意义的部分给予更多“关注”;
  2. 注意力机制已在序列学习图像理解、定位、图像描述、唇语识别任务中广泛应用;
  3. 本论文的block 则是针对通道维度进行注意力机制。

首先是 Squeeze 操作,我们顺着空间维度来进行特征压缩,将每个二维的特征通道变成一个实数,这个实数某种程度上具有全局的感受野,并且输出的维度和输入的特征通道数相匹配。它表征着在特征通道上响应的全局分布,而且使得靠近输入的层也可以获得全局的感受野,这一点在很多任务中都是非常有用的。

其次是 Excitation 操作,它是一个类似于循环神经网络中门的机制。通过参数 w 来为每个特征通道生成权重,其中参数 w 被学习用来显式地建模特征通道间的相关性。

最后是一个 Reweight 的操作,我们将 Excitation 的输出的权重看做是经过特征选择后的每个特征通道的重要性,然后通过乘法逐通道加权到先前的特征上,完成在通道维度上的对原始特征的重标定。

SE网络可以通过简单地堆叠SE构件块的集合来生成。SE块也可以用作体系结构中任何深度的原始块的直接替换。但是,虽然构建模块的模板是通用的,它在不同深度处的角色适应网络的需求。在早期层中,它学会以类不可知的方式激发信息特性,支持共享的底层表示的质量。在后面的层次中,SE块变得越来越专业化,并以 highly class-specific的方式响应不同的输入。因此,SE块进行特征重新校准的好处可以通过整个网络进行累加。SE块的设计很简单,可以直接与现有最先进的体系结构一起使用,这些体系结构的模块可以通过直接替换SE模块来加强。

用公式描述conv2d过程,并且将卷积核按通道维度来理解。

conv2d操作将空间信息与通道信息混合到了一起。本文目的是提高通道维度上信息的敏感度,具体操作为Squeeze和excitation。

提出问题:U没有很好的利用局部感受野之外的上下文信息。 解决问题:利用全局池化,将空间信息压缩为通道描述符,即数据变为通道维度的形式。该操作可看为图像的局部描述算子,这样的操作在特征工程常见。

  1. 为了获取通道之间的信息,加入Excitation;
  2. 为实现该目标,需要遵循两个准则: (1)该操作要能学习通道之间的非线性关系; (2)确保多个通道能够被“强调”;
  3. 采用sigmoid 机制来实现;

上图为激活函数挑选的实验。结论:sigmoid最好。

与其他架构进行整合。论文中把ResNet和Inception进行整合。如下两张图所示。

原始Inception模块(左)和SE-Inception模块(右)的架构。

原始Residual模块(左)和SE-ResNet模块(右)的模式。

作为这种轻微的额外计算负担的交换,SE-ResNet-50的准确性超过了ResNet-50的准确性,并且实际上接近了需要~7.58GFLOPs的更深的ResNet-101网络的准确性。

FC层的权重参数引入的总数由下式给出: 其中r表示缩减率,S表示阶段数(阶段是指在公共空间维度的特征图上操作的块的集合),Cs表示输出通道的维度,Ns表示阶段重复块的数量(当偏置项用于FC层时,引入的参数和计算成本通常可以忽略不计)。SE-ResNet-50引入了超过250万个额外参数。

  1. 一个block是2C^2/r ;
  2. 一个stage有N个block ;
  3. 一个模型有S个stage 所以得到以上公式;

SEblock插入CNN中是很灵活的,因此有多个方式。 三种变体:(1)SE-PRE块,其中SEblock在残差单元之前移动;(2)SE-POST块,其中SE单元在与恒等分支求和后移动(在ReLU之后)和(3)SE-Identity 块,其中SE单元放置在与残差单元平行的恒等连接上。这些变体如图5 所示,每个变体的性能在表14中报告。我们观察到SE-PRE、SE-Identity和提议的SE块的性能相似。

SE-ResNet完整架构✊

(左)ResNet-50。(中)SE-ResNet-50。(右)带有32×4d模板的SE-ResNeXt-50。括号内列出了残差积木的特定参数设置的形状和操作,而在外面显示了一个阶段中堆叠的积木数量。Byfcin后面的内括号表示一个SE模块中两个全连接层的输出维度。

实验

讨论点

  1. 横向对比 数值越小越好。

  2. 调整Reduction比率

Reduction比率空值这Dense layer 1 的neuron的数量

论文推荐r = 16

  1. GAP v.s. GMP 结果显示用Avg Pooling更好

  2. Excitation 阶段中不同的Activation函数对比

  3. SE Block的不同位置 结果显示结果都差不多。

  4. SE Block在ResNet的不同位置

把SE Block都安插进去效果最好!在深层安插比浅层效果好一点。

  1. Squeeze的有无带来的影响

肯定是有Squeeze效果好了。

  1. 对Excitation的探索

早期的Layer更加general,后期的Layer更Specific,5-2是一个拐点。

移除后期的layer可以减少param,同时模型不会受太大的影响。

总结

SENet对卷积层通道数进行权值评分,可以很好与其他网络(VGG, ResNet)结合。

相比于增加模型宽度(WRN中的width, ResNeXt中的cardinality),深度(depth),SE Block权重通道值,增加的参数少,增加的计算量小,增强效果好

最后说一句,中秋快乐!