【小Y学算法】⚡️每日LeetCode打卡⚡️——25.二叉树的中序遍历

194 阅读3分钟

小知识,大挑战!本文正在参与“程序员必备小知识”创作活动


📢前言

🚀 算法题 🚀
  • 🌲 每天打卡一道算法题,既是一个学习过程,又是一个分享的过程😜
  • 🌲 提示:本专栏解题 编程语言一律使用 C# 和 Java 两种进行解题
  • 🌲 要保持一个每天都在学习的状态,让我们一起努力成为算法大神吧🧐!
  • 🌲 今天是力扣算法题持续打卡第25天🎈!
🚀 算法题 🚀

🌲原题样例

给定一个二叉树的根节点 root ,返回它的 中序 遍历。

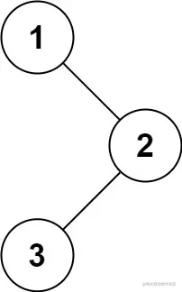
示例 1: 在这里插入图片描述

输入:root = [1,null,2,3]
输出:[1,3,2]

示例 2:

输入:root = []
输出:[]
示例 3:

输入:root = [1]
输出:[1]

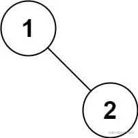
示例 4: 在这里插入图片描述

输入:root = [1,2]
输出:[2,1]

示例 5: 在这里插入图片描述

输入:root = [1,null,2]
输出:[1,2]

提示:

  • 树中节点数目在范围 [0, 100] 内
  • -100 <= Node.val <= 100

🌻C#方法:递归

思路解析

根据题意我们知道,最终目的就是二叉树的中序遍历

二叉树的中序遍历:按照访问左子树——根节点——右子树的方式遍历这棵树,而在访问左子树或者右子树的时候我们按照同样的方式遍历,直到遍历完整棵树。

因此整个遍历过程天然具有递归的性质,我们可以直接用递归函数来模拟这一过程。

代码:

public class Solution {
    public IList<int> InorderTraversal(TreeNode root) {
        List<int> list = new List<int>();
        function(root);
        return list;
        void function(TreeNode root)
        {
            if(root==null)
                return ;
            if (root.left == null)
            {
                list.Add(root.val);
                function(root.right);//在左边节点不存在且自身已插入的情况下查找右边节点
                return;
            }
            function(root.left); //优先查找root左边节点
            list.Add(root.val);  //插入root自身
            function(root.right);//最后查找root右边节点
        }
    }
}

执行结果

通过
执行用时:220 ms,在所有 C# 提交中击败了87.01%的用户
内存消耗:30.7 MB,在所有 C# 提交中击败了5.29%的用户

复杂度分析

时间复杂度:O( n)
空间复杂度:O(1)

🌻Java 方法一:递归

思路解析 首先我们需要了解什么是二叉树的中序遍历:按照访问左子树——根节点——右子树的方式遍历这棵树,而在访问左子树或者右子树的时候我们按照同样的方式遍历,直到遍历完整棵树。

因此整个遍历过程天然具有递归的性质,我们可以直接用递归函数来模拟这一过程。

定义 inorder(root) 表示当前遍历到 root 节点的答案,那么按照定义,我们只要递归调用 inorder(root.left) 来遍历 root 节点的左子树,然后将 root 节点的值加入答案,再递归调用inorder(root.right) 来遍历 root 节点的右子树即可,递归终止的条件为碰到空节点。

代码:

class Solution {
    public List<Integer> inorderTraversal(TreeNode root) {
        List<Integer> res = new ArrayList<Integer>();
        inorder(root, res);
        return res;
    }

    public void inorder(TreeNode root, List<Integer> res) {
        if (root == null) {
            return;
        }
        inorder(root.left, res);
        res.add(root.val);
        inorder(root.right, res);
    }
}

执行结果

通过
执行用时:0 ms,在所有 Java  提交中击败了100.00%的用户
内存消耗:36.9 MB,在所有 Java 提交中击败了5.24%的用户

复杂度分析

时间复杂度:O(n)
空间复杂度:O(n)

🌻Java 方法二:双指针

思路解析

方法一的递归函数我们也可以用迭代的方式实现,两种方式是等价的,区别在于递归的时候隐式地维护了一个栈,而我们在迭代的时候需要显式地将这个栈模拟出来,其他都相同,具体实现可以看下面的代码。

代码:

class Solution {
    public void merge(int[] nums1, int m, int[] nums2, int n) {
        int p1 = 0, p2 = 0;
        int[] sorted = new int[m + n];
        int cur;
        while (p1 < m || p2 < n) {
            if (p1 == m) {
                cur = nums2[p2++];
            } else if (p2 == n) {
                cur = nums1[p1++];
            } else if (nums1[p1] < nums2[p2]) {
                cur = nums1[p1++];
            } else {
                cur = nums2[p2++];
            }
            sorted[p1 + p2 - 1] = cur;
        }
        for (int i = 0; i != m + n; ++i) {
            nums1[i] = sorted[i];
        }
    }
}

执行结果

通过
执行用时:0 ms,在所有 Java  提交中击败了100%的用户
内存消耗:36.8 MB,在所有 Java 提交中击败了13.83%的用户

复杂度分析

时间复杂度:O(n)
空间复杂度:O(n)

💬总结

  • 今天是力扣算法题打卡的第二十五天!
  • 文章采用 C# Java 两种编程语言进行解题
  • 一些方法也是参考力扣大神写的,也是边学习边分享,再次感谢算法大佬们
  • 那今天的算法题分享到此结束啦,明天再见! 请添加图片描述