射频器件——定向耦合器

579 阅读6分钟

定向耦合器是一种通用的微波/毫米波部件,可用于信号的隔离、分离和混合,如功率的监测、源输出功率稳幅、信号源隔离、传输和反射的扫频测试等。主要技术指标有方向性、驻波比、耦合度、插入损耗。

基本简介

定向耦合器是微波系统中应用广泛的一种微波器件,它的本质是将微波信号按一定的比例进行功率分配。

定向耦合器由传输线构成,同轴线、矩形波导、圆波导、带状线和微带线都可构成定向耦合器,所以从结构来看定向耦合器种类繁多,差异很大。但从它的耦合机理来看主要分为四种,即小孔耦合、平行耦合、分支耦合以及匹配双T。

定向耦合器是把两根传输线放置在足够近的位置使得一条线上的功率可以耦合到另一条线上的元件。它的两个输出端口的信号幅度可以相等也可以不等,一种应用特别广泛的耦合器是 3dB 耦合器,这种耦合器的两个输出端口输出信号的幅度是相等的。

定向耦合器

定向耦合器

在20世纪50年代初以前,几乎所有的微波设备都采用金属波导和同轴线电路,那个时候的定向耦合器也多为波导小孔耦合定向耦合器,其理论依据是Bethe小孔耦合理论,Cohn和Levy等人也做了很多贡献。

随着航空和航天技术的发展,要求微波电路和系统做到小型化、轻量化和性能可靠,于是出现了带状线和微带线。随后由于微波电路与系统的需要有相继出现了鳍线、槽线、共面波导和共面带状线等微波集成传输线。这样就出现了各种传输线定向耦合器。

第一个真正意义上的定向耦合器由H. A. Wheeler在1944年设计实现,Wheeler使用了一对长为四分之一中心频率波长的圆柱来实现电场与磁场的能量相互耦合,遗憾的是这种方法只能实现一个倍频程的带宽。

定向耦合器是一种具有方向性的功率耦合(分配)元件。它是一种四端口元件,通常由称为直通线(主线)和耦合线(副线)的两段传输线组合而成。直通线和耦合线之间通过一定的耦合机制(例如缝隙、孔、耦合线段等)把直通线功率的一部分(或全部)耦合到耦合线中,并且要求功率在耦合线中只传向某一输出端口,另一端口则无功率输出。如果直通线中波的传播方向变为与原来的方向相反,则耦合线中功率的输出端口与无功率输出的端口也会随之改变,也就是说,功率的耦合(分配)是有方向的,因此称为定向耦合器(方向性耦合器)。

定向耦合器作为许多微波电路的重要组成部分被广泛应用于现代电子系统之中。它可以被用来为温度补偿和幅度控制电路提供采样功率,可以在很宽的频率范围完成功率分配与合成;在平衡放大器中,它有助于获得良好的输入输出电压驻波比(VSWR);在平衡混合器和微波设备(例如,网络分析仪)中,它可以被用来采样入射和反射信号;在移动通信中,使用

90°电桥耦合器可以确定 π /4移相键控(QPSK)发射机的相位误差。耦合器在所有四个端口均匹配于特性阻抗,这使得它可以方便地被嵌入到其它电路或子系统之中。通过采用不同的耦合结构、耦合介质和耦合机制,可以设计出适合各种微波系统不同要求的定向耦合器。

工作原理

主线中传输的功率通过多种途径耦合到副线,并互相干涉而在副线中只沿一个方向传输。

图1为矩形波导定向耦合器的三种典型耦合结构。a是相距1/4导波长的双孔耦合;b是间距和长度都等于1/4导波长的双串联分支线耦合;c是在裂缝区域内TE和TE两种传播模式的连续耦合。以a和b两种结构为例,从端口①输入的信号分两路耦合到副线后,朝端口④方向因行程相等而同相叠加,有输出;朝③方向则行程相差1/2导波长而反相抵消,被隔离而无输出。

图2为微带定向耦合器的两种典型的耦合结构。A是间距和长度都等于1/4导波长的双并联的分支线耦合,b是在平行区域内电场和磁场两种结构连续耦合。以b的结构为例,从端口①输入的信号由电场耦合在副线的两个端口上产生同相感应电压,磁场耦合则产生反相感应电压。结果在端口④处相加而有输出,③处则抵消而呈隔离无输出。

图(1)图(1)

图(2)图(2)

图(3)图(3)

此外,也可构成其他传输线的定向耦合器(图3)。

网络特性

定向耦合器

定向耦合器

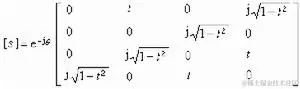
定向耦合器可被看作为四端口网络,其特性可用散射矩阵【s】表示,即

计算公式计算公式

其中各端口的反射系数sii(i=1、2、3、4)的值很小(理想值为零),表示各端口的匹配情况;耦合系数s13=s31=s24=s42的值由设计时候的耦合度决定,比如10db耦合器,s13=s31=s24=s42=10db,s14=s41=s23=s32是隔离系数,理想值为零。

定向耦合的主要技术指标是耦合度C(分贝)、定向性D(分贝)和工作频带,其中

C=-20lg|s14|  (dB)

D=20lg|s14/s13|  (dB)

理想定向耦合器的散射矩阵为

计算公式计算公式

两个输出信号有90°的相位差。

上述双孔或双分支线耦合的单节定向耦合器工作频带较窄。若采用多孔或多分支线耦合结构的多节定向耦合器(几个单节的级联),可借助综合设计方法展宽工作频带。

主要参数

定向耦合器主要参数有以下几个:

1、直通参数:根据散射矩阵可知由S21表征。

2、耦合参数:根据散射矩阵可知由S31表征。

3、隔离参数:根据散射矩阵可知由S41表征。

4、反射参数:根据散射矩阵可知由S11表征。