WebGL之图形变换

470 阅读3分钟

概述

上一个demo呈现的效果是一个三角形,直观的感觉就是还是二维的感觉,使用canvas或者div+css也可以实现,那么什么效果是两种方法无法实现的呢?那现在我们来看看三维世界中物体的几种图形变换方式。

什么是图形变换

图形变换1.gif 也就是说这些图形变换,本质上可以看成是同一种变换;在数学上,可以使用矩阵来描述这种变换。并且,为了兼容各种变换的特殊性,会在3维的基础上再加一维,使用4维的向量和矩阵。4维向量表述一个点(x,y,z,w)等价于三维向量(x/w,y/w,z/w),这就是前面提到的齐次坐标。

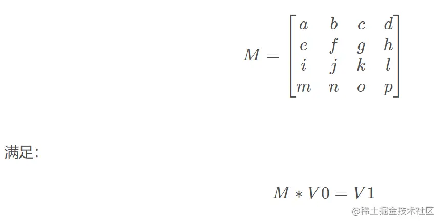
具体来说,对于空间某个点v0(x0,y0,z0,1),经过空间图像变换后得到新的点v1(x1,y1,z1,1),那么存在这样一个4行4列的矩阵M:

上面这个动图,从车头像看到车尾,你们感觉有几种方法?

在一个三维软件中浏览一个三维物体时候,总是会提供给用户平移、缩放和旋转的交互操作,而这正是模型变换的内容。在图形学的范畴当中,平移变换、旋转变换属于刚体变换,缩放和旋转属于线性变换,刚体变换和线性变换又属于仿射变换,而仿射变换也可以看成投影变换的一种。

变换、.png

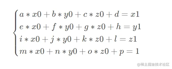
矩阵.png 展开这个式子,如下:

矩阵2.png 根据矩阵的乘法公式,获得下面的方程组:

矩阵3.png 通过上面的式子,就可以求得各种的图形变换矩阵。

模型变换

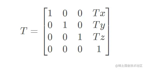
模型变换包括平移变换、缩放变换和旋转变换。从内容上来讲,这几种变换正好应对的三维交互操作的平移、变换和缩放。通过鼠标操作调整模型变换矩阵就可以实现一种简单三维交互操作。 (1) 平移变换 对于一个点(x,y,z,1),平移之后,得到的点就是(x+Tx,y+Ty,z+Tz,1),其中Tx、Ty、Tz分别表示点在X轴、Y轴、Z轴方向上移动的距离。那么将其代入方程组式的两边,有:

矩阵4.png

那么根据多项式相等的原理,可以求得每个多项式系数,继而可得平移矩阵T:

矩阵5.png

缩放变换

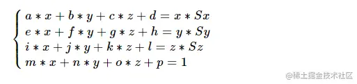
对于一个点(x,y,z,1),以原点为中心缩放,在X方向缩放Sx倍,在Y方向缩放Sy倍,在Z方向缩放Sz倍,那么新的坐标值为(xSx,ySy,z*Sz,1)。将其代入方程组式(2)的两边,有:

aeb866e2bdffda43bb101d50800af487.png

那么根据多项式相等的原理,可以求得每个多项式系数,继而可得缩放矩阵S:

65541b52a504fe4d9e7990ee26bd3b45.png

旋转变换

旋转变换就稍微复杂一点,对旋转变换而言,必须知道旋转轴、旋转方向和旋转角度。可以绕X轴,Y轴和Z轴旋转,所以一般都会有三个旋转矩阵。以绕Z轴旋转为例,在Z轴正半轴沿着Z轴负方向进行观察,如果看到的物体是逆时针旋转的,那么就是正旋转,旋转方向就是正的,旋转值就是正数;反之如果旋转值为负数,说明旋转方向就是负的,沿着顺时针旋转。用更加通用的说法来说,正旋转就是右手法则旋转:右手握拳,大拇指伸直并使其指向旋转轴的正方向,那么右手其余几个手指就指明了旋转的方向。

对于一个点p(x,y,z,1),绕Z轴旋转,因为旋转后的Z值不变,所以可以忽略Z值的变换,只考虑XY空间的变化。此时设r为原点到点p的距离,α是X轴旋转到该点的角度。

同上可得旋转矩阵:

49b627a186a68546ad7e6915aa99ecd8.png