剑指 Offer II 023. 两个链表的第一个重合节点

324 阅读2分钟

题目描述

给定两个单链表的头节点 headA 和 headB ,请找出并返回两个单链表相交的起始节点。如果两个链表没有交点,返回 null 。

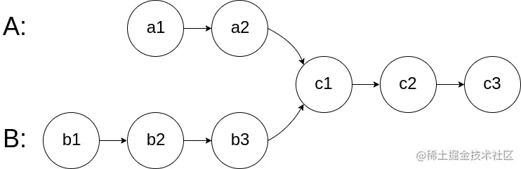
图示两个链表在节点 c1 开始相交

题目数据 保证 整个链式结构中不存在环。

注意,函数返回结果后,链表必须 保持其原始结构 。

 

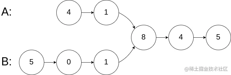
示例 1:

输入: intersectVal = 8, listA = [4,1,8,4,5], listB = [5,0,1,8,4,5], skipA = 2, skipB = 3
输出: Intersected at '8'
解释: 相交节点的值为 8 (注意,如果两个链表相交则不能为 0)。
从各自的表头开始算起,链表 A[4,1,8,4,5],链表 B[5,0,1,8,4,5]。
在 A 中,相交节点前有 2 个节点;在 B 中,相交节点前有 3 个节点。

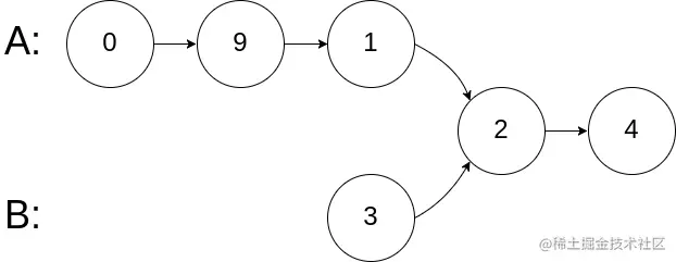
示例 2:

输入: intersectVal = 2, listA = [0,9,1,2,4], listB = [3,2,4], skipA = 3, skipB = 1
输出: Intersected at '2'
解释: 相交节点的值为 2 (注意,如果两个链表相交则不能为 0)。
从各自的表头开始算起,链表 A[0,9,1,2,4],链表 B[3,2,4]。
在 A 中,相交节点前有 3 个节点;在 B 中,相交节点前有 1 个节点。

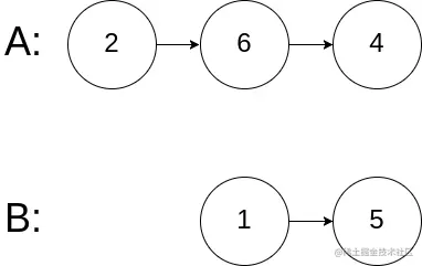
示例 3:

输入: intersectVal = 0, listA = [2,6,4], listB = [1,5], skipA = 3, skipB = 2
输出: null
解释: 从各自的表头开始算起,链表 A[2,6,4],链表 B[1,5]。
由于这两个链表不相交,所以 intersectVal 必须为 0,而 skipA 和 skipB 可以是任意值。
这两个链表不相交,因此返回 null 。

 

提示:

  • listA 中节点数目为 m
  • listB 中节点数目为 n
  • 0 <= m, n <= 3 * 104
  • 1 <= Node.val <= 105
  • 0 <= skipA <= m
  • 0 <= skipB <= n
  • 如果 listA 和 listB 没有交点,intersectVal 为 0
  • 如果 listA 和 listB 有交点,intersectVal == listA[skipA + 1] == listB[skipB + 1]

 

进阶: 能否设计一个时间复杂度 O(n) 、仅用 O(1) 内存的解决方案?

 

注意:本题与主站 160 题相同:leetcode-cn.com/problems/in…

解法

使用两个指针 cur1cur2 分别指向两个链表 headAheadB

同时遍历链表,当 cur1 到达链表 headA 的末尾时,重新定位到链表 headB 的头节点;当 cur2 到达链表 headB 的末尾时,重新定位到链表 headA 的头节点。

若两指针相遇,所指向的结点就是第一个公共节点。若没相遇,说明两链表无公共节点,此时两个指针都指向 null

Python3

# Definition for singly-linked list.
# class ListNode:
#     def __init__(self, x):
#         self.val = x
#         self.next = None

class Solution:
    def getIntersectionNode(self, headA: ListNode, headB: ListNode) -> ListNode:
        cur1, cur2 = headA, headB
        while cur1 != cur2:
            cur1 = headB if cur1 is None else cur1.next
            cur2 = headA if cur2 is None else cur2.next
        return cur1

Java

/**
 * Definition for singly-linked list.
 * public class ListNode {
 *     int val;
 *     ListNode next;
 *     ListNode(int x) {
 *         val = x;
 *         next = null;
 *     }
 * }
 */
public class Solution {
    public ListNode getIntersectionNode(ListNode headA, ListNode headB) {
        ListNode cur1 = headA, cur2 = headB;
        while (cur1 != cur2) {
            cur1 = cur1 == null ? headB : cur1.next;
            cur2 = cur2 == null ? headA : cur2.next;
        }
        return cur1;
    }
}

C++

/**
 * Definition for singly-linked list.
 * struct ListNode {
 *     int val;
 *     ListNode *next;
 *     ListNode(int x) : val(x), next(NULL) {}
 * };
 */
class Solution {
public:
    ListNode *getIntersectionNode(ListNode *headA, ListNode *headB) {
        ListNode* cur1 = headA;
        ListNode* cur2 = headB;
        while (cur1 != cur2) {
            cur1 = cur1 ? cur1->next : headB;
            cur2 = cur2 ? cur2->next : headA;
        }
        return cur1;
    }
};

JavaScript

/**
 * Definition for singly-linked list.
 * function ListNode(val) {
 *     this.val = val;
 *     this.next = null;
 * }
 */

/**
 * @param {ListNode} headA
 * @param {ListNode} headB
 * @return {ListNode}
 */
 var getIntersectionNode = function(headA, headB) {
  let cur1 = headA;
  let cur2 = headB;
  while (cur1 != cur2) {
      cur1 = cur1 ? cur1.next : headB;
      cur2 = cur2 ? cur2.next : headA;
  }
  return cur1;
};