剑指 Offer II 022. 链表中环的入口节点

117 阅读3分钟

题目描述

给定一个链表,返回链表开始入环的第一个节点。 从链表的头节点开始沿着 next 指针进入环的第一个节点为环的入口节点。如果链表无环,则返回 null

为了表示给定链表中的环,我们使用整数 pos 来表示链表尾连接到链表中的位置(索引从 0 开始)。 如果 pos 是 -1,则在该链表中没有环。注意,pos 仅仅是用于标识环的情况,并不会作为参数传递到函数中。

说明: 不允许修改给定的链表。

 

示例 1:

输入: head = [3,2,0,-4], pos = 1
输出: 返回索引为 1 的链表节点
解释: 链表中有一个环,其尾部连接到第二个节点。

示例 2:

输入: head = [1,2], pos = 0
输出: 返回索引为 0 的链表节点
解释: 链表中有一个环,其尾部连接到第一个节点。

示例 3:

输入: head = [1], pos = -1
输出: 返回 null
解释: 链表中没有环。

 

提示:

  • 链表中节点的数目范围在范围 [0, 104] 内
  • -105 <= Node.val <= 105
  • pos 的值为 -1 或者链表中的一个有效索引

 

进阶: 是否可以使用 O(1) 空间解决此题?

 

注意:本题与主站 142 题相同: leetcode-cn.com/problems/li…

解法

先利用快慢指针判断链表是否有环,没有环则直接返回 null

若链表有环,我们分析快慢相遇时走过的距离。

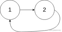
对于慢指针(每次走 1 步),走过的距离为 S=X+Y ①;快指针(每次走 2 步)走过的距离为 2S=X+Y+N(Y+Z) ②。如下图所示,其中 N 表示快指针与慢指针相遇时在环中所走过的圈数,而我们要求的环入口,也即是 X 的距离:

我们根据式子 ①②,得出 X+Y=N(Y+Z) => X=(N-1)(Y+Z)+Z

当 N=1(快指针在环中走了一圈与慢指针相遇) 时,X=(1-1)(Y+Z)+Z,即 X=Z。此时只要定义一个 p 指针指向头节点,然后慢指针与 p 开始同时走,当慢指针与 p 相遇时,也就到达了环入口,直接返回 p 即可。

当 N>1时,也是同样的,说明慢指针除了走 Z 步,还需要绕 N-1 圈才能与 p 相遇。

Python3

# Definition for singly-linked list.
# class ListNode:
#     def __init__(self, x):
#         self.val = x
#         self.next = None

class Solution:
    def detectCycle(self, head: ListNode) -> ListNode:
        slow = fast = head
        has_cycle = False
        while not has_cycle and fast and fast.next:
            slow, fast = slow.next, fast.next.next
            has_cycle = slow == fast
        if not has_cycle:
            return None
        p = head
        while p != slow:
            p, slow = p.next, slow.next
        return p

Java

/**
 * Definition for singly-linked list.
 * class ListNode {
 *     int val;
 *     ListNode next;
 *     ListNode(int x) {
 *         val = x;
 *         next = null;
 *     }
 * }
 */
public class Solution {
    public ListNode detectCycle(ListNode head) {
        ListNode slow = head, fast = head;
        boolean hasCycle = false;
        while (!hasCycle && fast != null && fast.next != null) {
            slow = slow.next;
            fast = fast.next.next;
            hasCycle = slow == fast;
        }
        if (!hasCycle) {
            return null;
        }
        ListNode p = head;
        while (p != slow) {
            p = p.next;
            slow = slow.next;
        }
        return p;
    }
}

C++

/**
 * Definition for singly-linked list.
 * struct ListNode {
 *     int val;
 *     ListNode *next;
 *     ListNode(int x) : val(x), next(NULL) {}
 * };
 */
class Solution {
public:
    ListNode *detectCycle(ListNode *head) {
        ListNode* slow = head;
        ListNode* fast = head;
        bool hasCycle = false;
        while (!hasCycle && fast && fast->next) {
            slow = slow->next;
            fast = fast->next->next;
            hasCycle = slow == fast;
        }
        if (!hasCycle) {
            return nullptr;
        }
        ListNode* p = head;
        while (p != slow) {
            p = p->next;
            slow = slow->next;
        }
        return p;
    }
};

JavaScript

/**
 * Definition for singly-linked list.
 * function ListNode(val) {
 *     this.val = val;
 *     this.next = null;
 * }
 */

/**
 * @param {ListNode} head
 * @return {ListNode}
 */
var detectCycle = function(head) {
    let slow = head;
    let fast = head;
    let hasCycle = false;
    while (!hasCycle && fast && fast.next) {
        slow = slow.next;
        fast = fast.next.next;
        hasCycle = slow == fast;
    }
    if (!hasCycle) {
        return null;
    }
    let p = head;
    while (p != slow) {
        p = p.next;
        slow = slow.next;
    }
    return p;
};