9、单晶体管放大器

595 阅读34分钟

第 9 章:单晶体管放大器级:

9.1 基本放大器

本章中使用的术语放大器是指使用单个有源器件的电路(或级),而不是诸如集成电路运算放大器之类的完整系统。放大器是一种增加信号功率的装置。这是通过从电源获取能量并控制输出以复制输入信号的形状但具有更大(电压或电流)幅度来实现的。从这个意义上说,放大器可以被认为是调制电源的电压或电流以产生其输出。

基本放大器(图 9.1)有两个端口,并以其增益、输入阻抗和输出阻抗为特征。如果需要,理想放大器具有无限输入阻抗 (R in = ∞)、零输出阻抗 (R out = 0) 和无限增益 (A vo = ∞) 和无限带宽。

图 9.1 基本放大器模型

正如我们在前一章中看到的,晶体管是一个三端器件。将基本放大器表示为如图 9.1 所示的双端口网络,需要两个输入和两个输出端子,总共四个。这意味着晶体管端子之一必须对输入和输出电路共用。这导致了三种基本类型放大器的名称公共发射极等。确定设备是否连接为公共发射极/源极、公共集电极/漏极或公共基极/栅极的最简单方法是检查输入信号进入和输出信号离开的位置。剩下的终端是输入和输出的共同点。在本章中,我们将主要在示例电路中使用 n 型晶体管(NPN、NMOS)。使用 p 型晶体管(PNP、PMOS)也可以轻松实现相同的基本放大器级。当组装更大的多级放大器时,两种类型的晶体管通常相互穿插。

积木式放大器级:

  1. 反相电压放大器(也称为共发射极或共源极放大器)\

  2. 电流跟随器(也称为公共基极或公共门或共源共栅)\

  3. 电压跟随器(也称为共集电极或共漏放大器)\

  4. 串联反馈(更常见的是:发射器/源退化)\

  5. 分流反馈

9.2 反相电压放大器或共发射极/源极

共发射极/源极放大器是三种基本的单级放大器拓扑结构之一。BJT 和 MOS 版本用作反相电压放大器,如图 9.2 所示。晶体管的基极或栅极端子用作输入,集电极或漏极为输出,发射极或源极为输入和输出共用(它可能与地参考或电源轨相连),即产生了它的通用名称。

图 9.2:基本的 n 型反相电压放大器电路(忽略偏置细节)

共发射极或源极放大器可被视为跨导放大器(即电压输入、电流输出)或电压放大器(电压输入、电压输出)。作为跨导放大器,BJT的小信号输入电压 v be或FET 的v gs乘以器件跨导g m,调制流经晶体管的电流量 i c或 i d。通过使这个变化的电流通过输出负载电阻 R L,它将被转换回电压V out。然而,晶体管的小信号输出电阻,r o, 对于合理的跨导放大器(理想情况下是无穷大)来说通常不够高。对于合适的电压放大器(理想情况下为零),输出负载 R L 也不够低。另一个主要缺点是放大器的高频响应有限,部分原因是晶体管固有的内置集电极基极或漏极栅极电容。本章后面部分将详细介绍此电容如何影响频率响应。因此,在实践中,输出通常通过电压跟随器(公共集电极或漏极级)或电流跟随器(公共基极或栅极级)进行路由,以获得更有利的输出和频率特性。后一种组合称为共源共栅放大器,我们将在后面关于多级放大器的章节中看到。

与 BJT 共发射极放大器相比,FET 共源极放大器具有更高的输入阻抗。在相同的电流水平下,FET 相对于 BJT 的g m通常较低,导致 MOS 版本的电压增益较低。

9.2.1 直流偏置技术,共发射极/源极

为了使共发射极或源极放大器提供最大的输出电压摆幅,晶体管基极或栅极端的电压以这样一种方式偏移,即晶体管在其截止点和饱和点之间正常工作。请注意图 9.2.1 中的 NMOS (a) 和 NPN (b) 特性曲线。这允许放大器级更准确地再现叠加在直流偏置电压上的输入信号的正负两半。如果没有这种偏置电压,只有输入波形的正半部分会被放大。

(a) NMOS

(b) NPN

图 9.2.1 (a) I D vs. V DS曲线和 (b) I C vs. V CE曲线

叠加在两组曲线上的红线代表400欧姆R L的直流负载线。为了使输出摆幅最大化,需要将晶体管的工作点设置为零输入信号,其漏极或集电极电压为电源电压的一半,在这种情况下为 4 伏。沿着负载线找到相应的漏极或集电极电流,即可得出目标电流水平。对于等于 400 欧姆的R L,这大约为 10mA 。下一步是为 10mA I D或 I C确定相应的V GS或 I B。在 NMOS 示例中,每条曲线代表不同的V GS从 0.9 伏到 1.5 伏,步长为 0.1 伏。本例中使用的 NMOS 器件的跨导约为 40mA/ V。I D等于负载线上的 10mA 点,位于 1.4V 和 1.3V 曲线之间,或者V GS为 1.32V。在 NPN 示例中,每条曲线代表一个不同的 I B,从 10uA 到 100uA,步长为 10uA。50uA 曲线恰好在 I C =10mA时穿过负载线。因此,晶体管的 β 必须约为 200。现在的任务是以某种方式在晶体管的栅极或基极处提供此 DC 偏移或偏置。

我们将探讨的第一种偏置技术称为分压器偏置,如图 9.2.2 所示。如果我们为 R 1和 R 2选择正确的电阻值,这将导致集电极或漏极电流,使得电源电压的一半,V + 出现在 R L 上,我们应该有我们想要的V GS或V BE 值( I B ) 用于无信号输入的偏置。对于 MOS 情况,我们知道没有电流流入栅极,因此可以使用简单的分压比来选择 R 1和 R 2。如果V + = 8V 并且我们想要V GS等于 1.32 V则:

R 1和R 2的实际值并不重要,只是它们的比率。但是,我们选择的分压比仅适用于电源电压、晶体管阈值电压和跨导以及温度等一组条件。实际设计通常使用更复杂的偏置方案。


图 9.2.2 分压器偏置

对于 NPN 情况,计算稍微复杂一些。我们知道我们希望 I B等于 50uA。R中流动的电流1是在R的电流的总和2和我乙这使R上的上界1当R 2是无限的,并且没有电流中的R流2。如果我们假设标称V BE为 0.65 伏,则 R 1必须不大于 7.35V/50uA 或 147KΩ。分压器的目的是衰减V +的变化,从而使晶体管的直流工作点对V +不那么敏感。为此,我们需要使 R 中的电流2比 I B大很多倍。例如,如果我们选择使 I R2 是I B 的9 倍,那么 R 1 中的电流将为 10*I B或 500uA。R 1将是我们刚刚计算的上限或 14.7KΩ 的 1/10。R 2将是V BE除以 450uA 或 1.444KΩ,分压比为 0.8921。如果我们简单地使用8V - V BE /8V 作为比率(假设V BE = 0.65V),分压器比率将为 0.8125。考虑到 I B移动了所需的比率。如果实际情况,这些值将需要稍作调整V BE不是我们在此计算中使用的 0.65 伏(或 β 不是 200)。正如我们在上面的 MOS 示例中指出的那样,这指出了这种偏置方案的一个主要限制。这是对器件特定特性(如V BE和 β)以及电源电压和温度的敏感性。

包含这种偏置方案的结果是降低了输入阻抗。输入现在包括跨输入的 R 1和 R 2的并行组合。对于 MOS 情况,现在设置输入电阻。对于 BJT 情况,我们现在将 R 1 ||R 2 ||r π作为有效输入电阻。

当它连接到信号路径中的前一级时,这种偏置方案还有另一个不方便的小问题。这种偏置配置将交流输入信号源直接与分压器的R 2并联。这可能是不可接受的,因为输入源可能倾向于增加或减少跨 R 2下降的 DC 电压。

使该方案起作用的一种方法是在输入电压源和分压器之间放置一个耦合电容器,如下图 9.2.3 所示,尽管它为什么起作用可能并不明显。

图 9.2.3 耦合电容 C C防止分压器偏置电流流入输入信号源。

电容器在输入源和直流分压器之间形成高通滤波器,将输入信号的几乎整个交流部分传递到晶体管,同时阻止所有直流偏置电压通过输入信号源短路。如果您了解叠加定理及其工作原理,这将更有意义。根据叠加,任何线性、双边电路都可以通过一次只考虑一个电源,然后将所有电源的影响代数相加得到最终结果,以一种零碎的方式进行分析。如果我们将电容器和 R 1 /R 2分压器电路与放大器的其余部分分开,可能更容易理解这种交流和直流叠加的工作原理。

只有交流信号源有效,并且电容器在输入信号频率下具有任意低阻抗,几乎所有交流电压都出现在 R 2 上。

9.2.2 小信号电压增益,共发射极或源

为了计算共发射极或源极放大器的小信号电压增益,我们需要将晶体管的小信号模型插入电路中。BJT 和 MOS FET 的小信号模型实际上非常相似,因此任一版本的增益计算都非常相似。BJT 和 MOS 放大器的小信号混合 π 模型如图 9.2.4 所示。

图 9.2.4 公共发射器或源小信号模型。

以下是我们计算放大器级电压增益所需的一些关键模型方程。这些方程用于我们将在以下部分中讨论的其他放大器配置。

(BJT)

(MOS)

小信号电压增益 A v是输入电压与输出电压的比值:

输入电压V在(V是对于BJT和v GS为MOS)倍跨导克米等于小信号输出电流i Ó在集电极或漏极。V out将只是这个电流乘以负载电阻 R L ,暂时忽略小信号输出电阻 r o。由于电流 i o的方向,请注意减号。

重新排列我们得到的增益:

代入 BJT 和 MOS g m方程,我们得到:

(BJT)

(MOS)

比较这两个增益方程,我们看到它们都取决于 DC 集电极或漏极电流。BJT 增益与V T(热电压)成反比,室温下约为 26mV。热电压V T随温度升高而增加,因此从等式中我们可以看到增益实际上会随温度升高而降低。MOS 增益与过驱动电压V ov ( V GS – V th )成反比,该电压通常远大于V T 在类似的漏极电流下,对于大致相等的偏置电流,MOS 级与 BJT 级的增益较低。

如果 R L与小信号输出电阻相比较大,则增益会降低,因为实际输出负载是 R L和 r o的并联组合。事实上,r o为单个晶体管放大器级可以实现的可能增益设置了上限。

9.2.3 小信号输入阻抗,共发射极或源

再次查看图 9.2.4 中的小信号模型,我们看到对于 BJT 情况,输入V in会将 r π视为负载。对于 MOS 情况,V in基本上会看到开路(无论如何对于低频)。这当然是没有任何栅极或基极偏置电路的情况。

9.2.4 小信号输出阻抗,共发射极或源

再次查看图 9.2.4 中的小信号模型,我们看到对于 BJT 情况和 MOS 情况,输出阻抗都是 R L和 r o的并联组合。对于大多数实际应用,我们可以忽略 r o因为它通常比 R L大得多。下面是 BJT 和 MOS r o方程。

(BJT)

(MOS)

9.3 电流跟随器也称为公共基极或门极放大器

与电压跟随器或公共集电极/漏极放大器相比,电流跟随器或公共基极/栅极放大器具有较高的电压增益、相对较低的输入阻抗和较高的输出阻抗。BJT 和 MOS 版本如图 9.3 所示

图 9.3:基本 n 型电流跟随器或公共基极/栅极电路(忽略偏置细节)

9.3.1 直流偏置技术、电流跟随器或公共基极/栅极放大器

在仅提供正电源电压的应用中,需要一些方法来为公共栅极或基极端子提供必要的直流电压电平。这可能就像接地和电源之间的分压器一样简单。在正负电源电压都可用的应用中,接地是用于公共栅极或基极端子的方便节点。

公共栅极或基极级最常与公共发射极或源极放大器结合使用,称为共源共栅配置。多级放大器的下一章将更详细地介绍共源共栅。

9.3.2 小信号电压增益、电流跟随器或公共基极/栅极放大器

为了计算公共基极或栅极放大器的小信号电压增益,我们将晶体管的小信号模型插入到电路中。BJT 和 MOS 放大器的小信号模型如图 9.3.1 所示。

图 9.3.1 电流跟随器或公共基极/栅极小信号模型。

与共发射极/源极放大器级非常相似,小信号输入电压V in(v是BJT,v gs是 MOS)乘以跨导g m等于小信号输出电流 i o在集电极或排水。V out将只是这个电流乘以负载电阻 R L ,暂时忽略小信号输出电阻 r o。

考虑电流跟随器级的电流增益而不是电压增益可能更有用。在 MOS 版本的情况下,我们知道 I S = I D因为 I G = 0。因此 MOS 级电流增益正好是 1。在 BJT 版本的情况下,我们知道 I C与 I E的比率是等于 α,因此将略小于 1。

9.3.3 输入阻抗、电流跟随器或公共基极/栅极放大器

再次查看图 9.3.1 中的小信号模型,我们看到对于 BJT 情况,输入V in将看到 r π与作为负载的g m和 R L的串联组合并联。对于 MOS 情况,V in基本上只会看到g m和 R L的串联组合。下面的等式(来自 BJT 小信号 T 模型)将g m和在发射极处看到的电阻 r E 联系起来。我们还可以使用这种关系为我们提供在源 r S处看到的电阻。

(对于 MOS也是 r S)

还需要注意的是,来自输入源的100%(在 BJT 情况下忽略 I B)电流流经晶体管并成为输出电流。因此名称当前的追随者。

9.3.4 输出阻抗、电流跟随器或公共基极/栅极放大器

再次查看图 9.3.1 中的小信号模型,我们看到对于 BJT 情况和 MOS 情况,输出阻抗都是 R L和 r o的并联组合。如果我们认为V in是由低阻抗(近乎理想的)电压源驱动的,我们通常可以假设这是真的。如果不是这种情况,则必须将有限输出阻抗与 r o串联添加。如果电流跟随器的输入由跨导放大器(例如之前的共发射极或源极放大器)的相对较高的输出阻抗驱动,则组合放大器的输出阻抗可能非常高。对于大多数实际应用,我们可以忽略 r o因为它通常比 R L大得多。

9.4 电压跟随器(也称为发射极或源极跟随器或公共集电极或漏极放大器)

发射极或源极跟随器通常称为公共集电极或漏极放大器,因为集电极或漏极对输入和输出都是通用的。这种放大器配置(图 9.4)的输出取自发射极/源极电阻器,可用作阻抗匹配设备,因为其输入阻抗远高于其输出阻抗。出于这个原因,电压跟随器也被称为“缓冲器”。

图 9.4:基本 n 型电压跟随器或公共集电极/漏极电路(忽略偏置细节)

电压跟随器的增益总是小于 1,因为 r E和 R L或 r S和 R L形成分压器。输入到输出偏移由比 BJT 和V GS的基准低约 0.65 伏的V BE压降设置在 MOS 门的下方。此配置的功能不是电压增益,而是电流或功率增益和阻抗匹配。输入阻抗远高于其输出阻抗,因此信号源不必为输入提供尽可能多的功率。这可以从基极电流比发射极电流小 100 倍 (β) 的数量级看出。射极跟随器的低输出阻抗匹配低阻抗负载并缓冲来自该低阻抗的信号源。

9.4.1 直流偏置技术、电压跟随器或公共集电极/漏极放大器

集电极/源极电流基本上由发射极/源极电阻决定,因此在这种情况下的主要设计变量只是 R L和电源电压。

9.4.2 电压增益,共集电极或漏极放大器

为了计算电压跟随器配置的小信号电压增益,我们将晶体管的小信号模型插入到电路中。BJT 和 MOS 放大器的小信号模型如图 9.4.1 所示。

图 9.4.1 电压跟随器小信号模型。

例 9.4.2 计算电压增益

对于图 9.4.2 中的电路,计算电压增益 A V = V out / V in。

图 9.4.2 BJT 电压增益示例

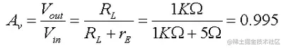
要使用我们刚刚使用小信号模型获得的电压增益公式,我们需要首先计算 r E。从 9.3.3 节我们得到了 r E的等式:

要使用这个公式,我们需要知道 I E。我们知道 R L两端的电压是V out。我们也知道V out = V in - V BE。如果我们使用V BE的估计值为0.6 伏,我们得到V out = 5.6 - 0.6 或 5 伏。如果 R L为 1KΩ,则 I E为 5mA。使用V T = 25mV的室温值,我们得到 r E等于 5Ω。将这些值代入我们的增益方程,我们得到:

9.4.3 输入阻抗,电压跟随器(公共集电极或漏极)

(BJT)

9.4.4 输出阻抗,电压跟随器(公共集电极或漏极)

输出阻抗很简单,即发射极(源极)电阻 R L和晶体管 r E的小信号发射极(源极)电阻的并联组合。再次从第 9.3.3 节,r E的等式如下:

类似地,MOS FET的小信号源电阻 r S为 1/ g m。

回到图 9.4.2 中的增益示例,我们还可以计算输出电阻,它是 1KΩ R L和 3Ω r E或 2.99Ω的并联组合。

9.5 系列反馈:发射极/源极退化

共发射极/源极放大器为放大器提供反相输出,并且可以具有非常高的增益,并且可以从一个晶体管到另一个晶体管变化很大。增益是温度和偏置电流的强函数,因此实际增益有些不可预测。由于可能存在的任何无意的正反馈,稳定性是与这种高增益电路相关的另一个问题。与该电路相关的其他问题是小信号限制带来的低输入动态范围;如果超过此限制并且晶体管不再像其小信号模型那样工作,则会出现高失真。当引入负反馈时,这些问题中的许多问题都会减少,从而提高性能。有几种方法可以在这个简单的放大器级中引入反馈,乙)。这也称为串联反馈。反馈量取决于通过该电阻器下降的相对信号电平。在 R E上看到的信号与在V out看到的信号异相,因此从V out 中减去以降低其幅度。当发射极电阻值接近集电极负载电阻 (R L ) 时,增益将接近 1 (A v ~ 1)。

图 9.5:添加发射极/源极电阻会降低增益。然而,随着线性度和稳定性的增加

在 MOS 设计中包含退化电阻器的情况要少得多。这是因为,在微电子集成电路中,可以通过改变 W/L 比来调整器件的增益 ( g m )。这种设计自由度在双极 (BJT) 工艺中通常不可用。

带有发射极退化的直流偏置示例

有一些 BJT 偏置经验法则:

  1. 设置 I E而不是 I B或V BE:对 β 和温度 ( V T ) 的依赖性较小
    2.在 R C、V CE和 R B2之间允许 1/3V CC 3. 通过仅允许 10% 的 I E 来节省功率在 R B\

对于图 9.5.1 中的电路,我们给出了以下内容,V CC = 20V ;I E = 2mA ; β = 100。根据我们的经验法则,我们设置V B = 1/3* V CC = 6.7 V。

图 9.5.1 直流偏置示例

V B = (R B2 /(R B1 +R B2 ))* V CC ⇒ 6.7V = (R B2 /(R B1 +R B2 ))*20 (1)

V CC /(R B1 + R B2 ) = 0.1*I E ⇒ 20/(R B1 + R B2 ) = 200 μA (2)

求解方程(1)和(2)我们得到:

R B1 =2R B2然后从 (2)

3R B2 = 20/200 μA = 100kΩ

因此,R B2 = 33kΩ 和 R B1 = 66kΩ

现在我们有V E = V B – V BE = 6.7 – 0.7 = 6 V并且 I E是 2 mA:R E = V E /I E = 6/2mA = 3kΩ。

I C = (β/(β+1))*I E = (100/101)*2mA = 1.98 mA并且 I B = I C /β = 1.98mA/100 = 19.8μA。

根据我们的经验法则,我们知道V C = 2/3*20V = 13.3 V

所以要找到 R L我们有: R L = ( V CC – V C )/I C = (20 – 13.3)/1.98mA = 3.4kΩ

9.5.1 带有发射极/源极退化的小信号电压增益

为了计算添加发射极/源极退化的共发射极/源极放大器的小信号电压增益,我们再次将晶体管的小信号模型插入电路中。BJT 和 MOS 放大器的小信号模型如图 9.5.1 所示。

图 9.5.1 具有退化的公共发射器/源

阻抗 R E将电路的总跨导g m降低了g m R E + 1倍,这使得电压增益:

(当g m R E » 1 时)

因此电压增益几乎完全取决于电阻器 R L / R E的比率,而不是晶体管的固有和不可预测的特性。因此,以降低增益为代价改善了电路的失真和稳定性特性。

回到我们之前的偏置示例,图 9.5.1,I C = 2mA、R L = 3.4KΩ 和 R E = 3KΩ 的值来计算我们首先发现的小信号增益g m = I C / V T = 2mA/ 25mV = 0.08。使用我们的 A V公式:

9.5.2 带有发射极/源极退化的小信号输入阻抗

再次查看图9.4.1小信号模型,我们看到,对于BJT情况下,输入V中看到ř 与负反馈电阻器R系列é作为负载。对于 MOS 情况V in看到基本上是开路。

9.5.3 带有发射极/源极退化的小信号输出阻抗

再次查看图 9.5.1 中的小信号模型,我们看到对于 BJT 情况和 MOS 情况,很像早期的共发射极/源极级,输出阻抗是 R L和 r o的并联组合,但是现在退化电阻器 R E与 r o串联。对于大多数实际应用,我们可以忽略 r o因为它通常比 R L大得多。

9.5.4 具有发射极/源极退化的直流偏置技术

当添加发射极负反馈电阻时,可以使用在简单的共发射极/源极放大器级中使用的基本相同的技术,这些技术在第 9.2.1 节中讨论过。R E (R E *I E )两端的附加电压必须加到偏置电平上。这种增加的压降实际上使工作点 (I C ) 对偏置电平不那么敏感。

具有发射极电阻的共发射极放大器的小信号电压增益约为 R L / R E。对于需要比5-10大的增益时的情况下,R È可以变得很小,使得必要良好偏置条件,V Ë = R Ë * I é > 10 * V Ť无法实现。在保持所需直流工作偏置的同时恢复小信号电压增益的一种方法是使用旁路电容器,如图 9.5.4 所示。小交流信号看到的发射极电阻仅为 R E1而对于直流偏置,发射极电阻是 R E = R E1 +R的串联组合E2。用于与发射极负反馈的共发射极放大器的计算可以在这里通过更换R上施加é其中R E1导出放大器增益时,与输入和输出阻抗,因为在作用短裤R A足够大的旁路电容器E2和被有效地从电路中移除对于足够高的频率输入。

图 9.5.4 增加发射极旁路电容

以我们之前在图 9.5.1 中的偏置练习为例,但将 3KΩ R E分成两个电阻器,如图 9.5.4 所示,R E1 = 1KΩ 和 R E2 = 2KΩ,C 1 = 1uF,我们可以重新计算小信号增益对于高频,其中 C 1有效地使 R E2短路,为:

然而, 旁路电容器C 1 的添加修改了电路的低频响应。我们从两次增益计算中得知,电路的直流增益为 -1.13,高频增益增加到 -3.36。因此,我们可以假设频率响应由一个相对较低的频率零点和一个稍高的频率极点组成。零点和极点的公式如下:

F_Z = 1/(2 pi R_E2 C_1)

F_P = 1/(2R 素数 _E C_1)

其中 R' E = R E2 || (R E1 + r e )

对于 R E1 = 1K 、R E2 = 2K 和 C 1 = 1uF的示例问题,我们得到零的频率等于 80 Hz,极点的频率等于 237 Hz。示例电路从 1 Hz 到 100 KHz 的模拟频率响应如图 9.5.5 所示。

图 9.5.5 模拟频率响应

9.5.5 总结 - 执行小信号分析:

  1. 找到直流工作点。
  2. 计算小信号参数:g m , r  , r e等。
  3. 用交流地代替直流电压源,用开路代替直流电流源。
  4. 用小信号模型(hybrid-π模型或T模型)代替晶体管

9.6 米勒定理

在这一点上,我们将转移话题来讨论米勒定理。虽然到目前为止我们一直使用的方法是完全通用的,但有一些配置可以通过米勒定理更简单地进行分析。米勒定理指出,在线性电路中,如果存在阻抗为 Z 的支路连接节点电压为V 1和V 2 的两个节点,则该支路可以被其他两个支路替换,分别通过阻抗 Z 将相应节点连接到地/ (1- K ) 和 KZ / ( K -1),其中从节点 1 到节点 2 的增益为K = V 2 / V 1。

图 9.6.1 米勒定理

在这一点上,我们将完成显示米勒阻抗如何得出的步骤。我们可以使用等效的双端口网络技术将图 9.6.1(a) 中表示的双端口替换为图 9.6.2 中的等效项。

图 9.6.2

用它们的 Norton 等效电流源替换图 9.6.2 中的电压源,我们得到图 9.6.3。

图 9.6.3

使用源吸收定理(见本章末尾的附录),我们得到图 9.6.4。

图 9.6.4

当我们将两个阻抗并联组合时,这给了我们图 9.6.5(即图 9.6.1(b))。

图 9.6.5

9.7 分流反馈:

另一种用于共发射极或源极放大器的偏置技术称为并联反馈,它是通过将部分集电极或漏极信号引入到基极或栅极的输入端来实现的。这是通过偏置电阻 (R F ) 完成的,如图 9.7.1 所示。电阻 R F连接在两个具有增益 A V ( K ) 的节点之间,因此应用米勒定理是分析该电路小信号特性的最佳方法。

图 9.7.1 Drain-to-Gate (a) 和 Collector-to-Base (b) 分流反馈

9.7.1 MOS 版本

图 9.7.1(a) 显示了使用漏极反馈偏置的共源 NMOS 放大器。这种类型的偏置通常与增强型 MOSFETS 一起使用,并且在使用低压电源 ( V + )时非常有用。如果 Vin 是交流耦合的,则栅极上的电压等于漏极上的电压 ( V GS = V DS ),因为没有栅极电流流过 R F。如果 Vin 是 DC 耦合的,则分压器由 R F和 R S形成,V GS将小于V DS。值得注意的是,当V GS =V DS。如果由于某种原因漏电流增加,例如V +的变化,栅极电压会下降。降低的栅极电压反过来导致漏极电流降低,从而导致栅极电压增加。负反馈回路达到平衡,即电路的偏置点。

一些增强型 MOSFET 的数据表给出了 I D (on)的值,其中V GS = V DS如果 I D (on) 是已知的,则可以很容易地计算电路组件,如例 9.3 所示。使用漏极反馈偏置的电路的输入阻抗等于 R F值除以电压增益加 1。

9.7.2 BJT 版直流偏置技术

这种配置采用负反馈来稳定工作点。在这种偏置形式中,基极反馈电阻 R F连接到集电极而不是连接到直流电源V +。因此,集电极电流的任何大幅增加都会在 R L电阻器上引起电压降,从而降低晶体管的基极电流。

如果我们假设输入源 Vin 是交流耦合的并且没有直流偏置电流流入 R S,根据基尔霍夫电压定律,基极电阻 R F两端的电压V RF为:

V_RF = V_+ - (I_c + I_b )R_L - V_BE

根据 Ebers-Moll 模型,I c = βI b,所以:

V_RF = V_+ - (βI_b + I_b )R_L - V_BE = V_+ - I_b (β + 1 )R_L - V_BE

根据欧姆定律,基极电流 I b = V RF /R F,所以:

I_b R_F = V_+ - I_b (β + 1 )R_L - V_BE

因此,基极电流 I b为:

I_b = (V_+ - V_BE ) / (R_F + (β + 1 )R_L )

如果V BE保持恒定并且温度升高,则集电极电流I c增加。然而,较大的 I c会导致电阻器 R L两端的电压降增加,从而降低基极电阻器 R F两端的电压V RF。较低的基极电阻压降会降低基极电流 I b,从而导致更小的集电极电流 I c。由于集电极电流随温度的增加相反,工作点保持更稳定。

优点:

  1. 电路稳定工作点以防止温度和 β 的变化(即晶体管工艺变化)

缺点:

  1. 在该电路中,为了保持 I c与 β 无关,必​​须满足以下条件:

I_c = βI_b = (βV_+ - βB_BE ) / (R_F +(β+1)R_L) 约 (V_+ - V_BE)/R_L

这是以下情况:

βR_L >> R_F

  1. 由于对于给定的晶体管,β 是固定的(并且通常不准确),因此可以通过保持 R L相当大或使 R F非常低来满足这种关系。\

  2. 如果 R L大,则需要高V +,这会增加成本以及处理时所需的预防措施。\

  3. 如果 R F低,则集电极-基极区的反向偏置很小,这限制了使晶体管处于活动模式的集电极电压摆幅范围。\

  4. 电阻 R F引起交流反馈,降低放大器的电压增益。这种不良影响是对更大的静态工作点稳定性的权衡。

用途: 从底座看,反馈还降低了放大器的输入阻抗,这可能是有利的。由于反馈的增益降低,​​只有在保证稳定性的权衡时才使用这种偏置形式。

例 9.7.2 使用米勒定理

对于图 9.7.2(a) 所示的带有直流耦合输入源V in的放大器,计算输入和输出电阻和电压增益 A V。我们首先需要从一些初步的直流分析开始,以确定 Q 1的工作点。为此,我们将V in设置为零伏,即使其短路。如果我们假设V BE为 0.65 伏,我们将有 65 uA 流入 10K 电阻器 R S。鉴于V +为 10V,我们希望V out为 5 伏。R L 中的电流等于 500uA 并将在 Q 的集电极之间分流1和反馈电阻 R F。62.7KΩ 反馈电阻两端的电压为 5-0.65 或 4.35 伏。在R的电流˚F R中的电流之间分裂小号和我乙。基极电流 I B等于 4.35/62.7KΩ – 65uA 或 4.3 uA。我们应该得到 500uA - 69.3uA 或 430.3uA 的集电极电流,β 约为 100。

如果我们使用米勒定理将反馈电阻 R F替换为其两个等效阻抗,我们得到图 9.7.2(b)。假设从基极到集电极的电压增益 A V明显大于 1,我们可以简化为 A V /(A V -1) 接近 1。我们将使用有效负载电阻 R Leq来计算增益将是 10KΩ||62.7KΩ 或 8.62KΩ。现在我们可以使用我们在 9.2.2 节中使用的相同的公共发射器或源小信号增益方程。在430uA集电极电流给我们带来了克米430uA / 25mV的或0.0172的。我们知道 A V = - g m R Leq或 AV = -0.0172 * 8.62K = -148是»1.在Q的基极看的输入电阻1将是第r π ofQ 1,其等于β/克米或100 / 0.0172 =5.814KΩ , 与米勒电阻 62.7KΩ/149 = 421Ω 并联,因此有效输入电阻,R base将约为 392.5Ω。

图 9.7.2 使用米勒定理的例子

输入源电阻 R S和基极等效电阻 R base构成一个分压器。要计算从电压源的总电压增益V在以V出我们乘这个除法器比率倍基座到集电极增益,A V我们只是计算。

R_base / (R_S + R_base ) A_V = (392.5/10392.5) * 148 = 5.6

从我们在第 3 章中对反相运算放大器配置的研究中我们了解到,对于增益小于无限的放大器,实际增益将小于理想增益方程,Gain = -R F /R S预测。如果我们的单晶体管放大器有无限的增益从增益V中到V出是62.7KΩ/10KΩ或6.27。在第 3 章中,我们估计了由于有限增益 A V引起的百分比误差 ε (请记住,此等式中的 β 是反馈因子,而不是晶体管的电流增益):

epsilon(%) 约 100/(A_V beta) = 100/(148*6.2) = 10.7%

5.6 的实际增益比理想增益 6.27 小约 10%。

练习 9.7

第 1 部分直流工作点:

对于图 9.7.3 中的电路,计算偏置 DC 工作点所需的 R F,以便当 Vin = 0 时V out等于电源电压的 ½ 或 +5V。假设V BE = 0.65V 和 β = 200。

图 9.7.3

第 2 部分小信号增益和阻抗:

给定在第 1 部分中计算的R F值,计算电压增益 A V、输入电阻 R base和输出电阻 R out。还要计算总电压增益V out / V in并解释为什么这与 –R F /R S的理想值不同。

9.7.5 米勒效应

米勒效应是预测包含电容反馈的反相放大器级频率响应的关键。通常,在由信号源的 R S和反馈电容器 C C创建的电压增益级中有一个低通极点。但是,低通截止并不是简单地由 R S和 C C 决定。米勒效应在晶体管的基极/栅极产生一个有效电容,表现为 C C由放大器的电压增益缩放。

图 9.7.3 米勒反馈电容

当您尝试在具有相对较低截止频率的 IC 运算放大器上生成低通滤波器时,米勒效应特别有用。困难在于大电容很难制造,因为它们在 IC 上占据了太多空间。解决方案是制作一个小电容器,然后使用米勒效应扩大其行为。

等效电路

这是上面电路的简化版本。

图 9.7.4 米勒反馈等效电路

Miller 说,您可以通过用R IN两端的不同电容 C M替换 C C来近似输入电容。C M 大多少?C C乘以放大器的电压增益 (A V = g m R L )。米勒定理还指出,R L两端会有一个电容器 C' C,它等于 C C乘以 (A V +1)/A V,对于较大的 A V值,我们假设为 1。

C_M = C_C · (1+A_V) , C'_C ~ C_C

这是如何运作的?好吧,我们知道在电容器上施加电压会导致电流流动。多少电流取决于电容:I = C C · ΔV/Δt。然而,在该电路中,R L处的电压增益会导致 C C 上的ΔV 大得多,从而导致更大的电流流过 C C。因此,从V IN的角度来看,它看起来像是一个更大的电容。

示例 9.7.3 密勒电容示例

在本例中,我们将使用图 9.7.5 所示的电路来说明反馈电容器 C C的米勒乘法。偏压电阻器 R 1和 R S被选择来设置直流工作点,使得V out处于大约V +/2 或 5V的直流值。对于10KΩ的给定 R L,低频小信号电压增益 A V约为 80。

我们现在可以计算0.001 uF的反馈电容器 C C的 -3 dB频率和单位增益 (0dB) 频率。其中从增益频率V在以V出落在由-3分贝从其DC值大致等于:

单位增益频率大约等于:

图 9.7.5 米勒电容示例

图 9.7.5 中的电路是模拟的,从 1 Hz 到 1 MHz的交流频率响应绘制在图 9.7.6 中。从增益V中,以V出中分贝是20Log(A V)或约38分贝。在这种情况下,-3 dB频率将是增益曲线与 35 dB (~263 Hz) 交叉的位置,而单位增益频率将是增益曲线与 0 dB线 (~21.7 KHz)交叉的位置。模拟结果与我们的近似手工计算相当接近。对于我们的手工计算,我们假设 R 1比 R S足够大所以它可以被忽略,同样Q 1的 r π足够大,不会对 R S产生实质性影响。

图 9.7.6 扫频仿真

章节总结:

  • 共发射极级具有高增益但低输入和高输出阻抗。\

  • R E发射极退化改善输入阻抗并提供负反馈以稳定直流工作点,但增益会有所损失。\

  • 公共基极级具有低输入、高输出阻抗,但在高频下表现良好。良好的电流缓冲器有时称为电流跟随器。\

  • 公共集电极或发射极跟随器可以用大输入阻抗、低输出阻抗偏置,但具有近似单位增​​益。良好的电压缓冲。