7、二极管及其应用

692 阅读17分钟

第 7 章:二极管应用主题

在本章中,我们将研究利用 PN 结二极管的某些特性的各种电路。在第 6 章中,我们讨论了使用二极管作为将交流电源转换为直流电源的一种手段。在其他情况下,可能需要将时变信号转换为直流信号。在这些情况下,通常需要有效地消除或校正二极管的正向压降,以准确测量所需的信号值。

二极管的另一个特性是二极管的小信号电导(或电阻)是流经二极管的直流电流(工作点)的函数。该特性可用于制作电压(实际上是电流)相关的衰减器。同样,正如我们在第 5 章中发现的,正向传导区域中的二极管电压与通过二极管的电流呈指数关系。此属性可用于制作具有对数或反对数(指数)输入到输出关系的非线性放大器电路。

7.1 带滤波电容或峰值检测器的半波整流器

峰值检测器电路的最简单形式是二极管和电容器的串联连接,电容器两端输出的直流电压等于输入交流信号的峰值(减去二极管的正向偏置电压降)。通常需要与电容器并联的某种开关来周期性地重置输出电压,例如在需要新的峰值检测时。

图 7.1.1 简单的峰值检测器

二极管如图 7.1.1 所示,电路检测到正峰值。如果二极管的方向相反,则电路将检测到输入的负峰值。由于二极管固有的内置压降,简单峰值检测器的输出实际上并不是输入的真实峰值。通过包含图 7.1.2 中的运算放大器,运算放大器的正向增益大大降低了由于二极管压降引起的误差。

图 7.1.2 旋进半波整流器或峰值检测器

然而,这个简单电路存在一个基本问题,即当输入信号小于(更负)保持在电容器上的电压时,二极管将反向偏置,运算放大器的输出将“断开” ”来自反相输入端。在这种情况下,放大器将没有负反馈,运算放大器输出将在负电源轨上饱和。当输入电压再次变得比电容器上保持的电压更正并且输​​出脱离饱和时,放大器的响应时间将受到影响。电路可能无法正确响应输入信号中快速、持续时间短的正峰值。我们将在下一节研究更好的半波整流器形式。

7.2 绝对值电路

在本节中,我们将研究绝对值电路。整流器或“绝对值”电路通常用作检测器,将交流信号的幅度转换为直流值,以便更容易测量。对于这种类型的电路,交流信号首先经过高通滤波以去除任何直流项,然后进行整流并可能进行低通滤波。正如我们在第 6 章中发现的那样,由二极管构成的简单整流器电路对幅度小于二极管压降(硅二极管为 0.6V)的信号反应不佳。这限制了它们在需要测量小幅度的设计中的使用。对于需要高精度的设计,可以将运算放大器与二极管结合使用以构建精密整流器或绝对值电路。

7.2.1 精密半波整流器

如图 7.2.1 所示,通过添加两个二极管,可以将反相运算放大器电路转换为“理想的”(线性精度)半波整流器。对于输入摆幅的负半部分,二极管 D 1为反向偏置,二极管 D 2为正向偏置,并且该电路作为增益为 -1 的传统反相器运行,假设 R 1 =R 2。对于输入摆幅的正半部分,二极管 D 1正向偏置,关闭放大器周围的反馈。二极管 D 2反向偏置,断开放大器的输出。输出将通过电阻器 R 2处于虚拟地电位(-输入端)。

图 7.2.1 精密半波整流电路。

如图 7.2.2 所示,整流输出的峰值现在等于输入的峰值。当输入过零时,也有一个急剧的转变。读者应该研究电路中不同点的波形,例如运算放大器输出,以解释为什么该电路比简单的二极管半波整流器工作得更好。

图 7.2.2 精密半波整流器仿真。

应用示例:测量交流电压的峰值

我们只能使用直流电压表,需要设计一个可以测量交流信号峰值电压的电路。我们可以使用精密半波整流器只提供输入信号的负半部分,然后对整流后的输出进行低通滤波,如图 7.2.3 所示。如果 R 1 = 3.24 kΩ、R 2 = 10.2 kΩ、R 3 = 20 kΩ 和 R 4 = 20 kΩ 假设 Vp = 1 V,以下电路的直流输出电压是多少。

图 7.2.3

对于峰值为V P的正弦波输入,半波整流器的输出是峰值为V P (R 2 /R 1 )的半正弦波。半正弦波具有由下式给出的直流分量:

一阶低通滤波器将去除交流成分并通过增益等于 R 4 /R 3的直流成分。最终的直流输出将为:

7.2.2 精密全波整流器

图7.2.4所示电路为 **绝对值电路,常称为精密全波整流器。它应该像由理想二极管构成的全波整流电路一样工作(二极管两端的电压,正向传导,等于 0 伏)。在该电路中使用的实际二极管将具有大约0.6的正向电压V。为了使输入波形的两半从输入到输出电阻器具有相同的增益,R 2 = R 3和 R 4 = R 5。

图 7.2.4 绝对值电路。

如果R 1的值低于R 2和R 3,则电路具有增益。如果R 1的值高于R 2和R 3,则电路可以接受更高的输入电压,因为它充当衰减器。例如,如果R 1为1kΩ,R 2和R 3等于10kΩ,则电路增益为10,如果R 1为100kΩ,增益为0.1(衰减为10)。所有其他普通运算放大器限制都适用于其他反相运算放大器级,因此如果使用高增益,频率响应将受到影响。

电路的输入阻抗等于 R 1的值,并且只要第一个运算放大器在其限制范围内运行,即它的反相输入处于虚拟接地,则该阻抗是恒定的。使用反相拓扑的一个有趣特性是它允许电路用作多个输入的求和电路。R 1可以复制以提供第二个输入,或者可以使用第三个电阻器等进行扩展。

如图 7.2.5 所示,整流输出的峰值再次等于输入的峰值。当输入过零时出现急剧转变。读者应该研究电路中不同点的波形,例如运算放大器输出和二极管两端的波形,以解释为什么该电路比二极管全波或桥式整流器工作得更好。

图 7.2.5 全波整流器仿真。

7.3 包络检测器

包络检波器是一种电路,它采用高频调幅输入并产生作为 AM 信号“包络”的输出。电路中的电容在上升沿蓄积电荷,信号下降时通过电阻缓慢释放。串联二极管对输入信号进行整流,仅当正输入端子的电位高于负输入端子时才允许电流流动。

大多数实用的包络检波器使用信号的半波或全波整流将 AM 输入转换为脉冲直流信号,其中直流脉冲的峰值代表调制信号。然后使用低通滤波来平滑最终结果,留下低频调制信号分量。这种过滤很少是完美的,包络检测器输出上可能会保留一些“波纹”,特别是对于低频输入,例如低音吉他的音符。更多的过滤会产生更平滑的结果,但会降低对原始调制信号的高频响应。现实世界的设计必须针对给定的应用进行优化。

图 7.3.1 包络检测器

图7.3.2包络检测器的输入和输出波形

简单的二极管包络检波器有几个缺点:

  1. 检测器的输入必须围绕所需的载波信号进行带通滤波,否则检测器将同时解调多个信号。可以使用可调滤波器或更实际的超外差接收器进行滤波\
  2. 它比乘积检测器更容易受到噪声的影响\
  3. 如果信号过调制,则会发生失真

这些缺点中的大多数都相对较小,并且对于使用包络检测器的简单性和低成本通常是可以接受的折衷方案。

7.4 二极管钳位

当信号驱动开端交流耦合电容器时,电容器输出端子上的平均电压电平由电容器该端子上的一些初始电荷决定,因此将是不可预测的。然后需要通过大电阻提供从电容器输出端子到地或某些其他参考电压的直流路径。该直流路径会排出任何多余的电荷,并导致平均或直流输出电压为零。如果我们想强制 AC 信号的平均值参考已知值,这很有用,但是,如果我们想强制 AC 信号的正或负峰值为已知值怎么办?所谓的钳位电路可用于将峰值“钳位”到已知参考电平。

钳位是一种电子电路,可防止信号高于或低于某个定义的直流值或钳位电平。钳位不会改变信号的峰峰值幅度,而是将其向上或向下移动一个固定值。二极管钳位(一种简单、常见的类型)依赖于二极管仅在一个方向上传导的特性,以及电阻器和电容器来保持钳位输出端改变的直流电平。

钳位电路将信号波形的上限或下限固定为固定的直流电压电平。出于显而易见的原因,该电路有时也称为直流电压恢复器。无偏时,钳位电路会将输出电压下限(或上限,在负钳位器的情况下)固定为 0 伏。通过包括与二极管串联的固定偏置电压,电路将把波形的峰值钳位到特定的直流电平。

图 7.4.1 直流钳位输入输出波形

图 7.4.2 所示的二极管钳位示意图表明它是一个相对简单的器件。产生钳位效应的两个组件是一个电容器,然后是一个与输出并联的二极管。钳位电路依赖于电容器时间常数的变化;这是二极管随输入电压变化而改变电流路径(导通或非导通)的结果。选择C 1的值和任何外部负载R 的大小,以便T = RC 足够大,以确保在二极管的非导通间隔期间电容器两端的电压不会显着放电。在交流输入电压的第一个负相位期间,正极钳位器中的电容器快速充电。由于V IN变为正,电容器用作倍压器;由于它在负循环期间存储了V IN峰值的等效值,因此它在正循环期间提供几乎相同的电压;这实质上使输出V OUT处看到的电压加倍。当V IN变为负值时,电容器充当与V IN电压相同的电池。输入电压和电容器相互抵消,导致在输出V OUT处看到的净电压为零。

图 7.4.2 二极管直流恢复电路

为输出电压建立直流参考的一种简单方法是使用二极管钳位,如图 7.4.2 所示。通过在电容器输出端子处的电压变为负值时导通,该电路在端子上建立平均电荷,足以防止输出变得比二极管的正向电压更负。该端子上的正电荷被有效捕获。

运放钳位电路

图 7.4.3 中的原理图包括一个具有非零参考钳位电压的运算放大器钳位电路。非常大的运算放大器开环增益的优势在于钳位电平非常接近参考电压。无需考虑二极管的正向压降(这在之前的简单电路中是必需的,因为这会增加参考电压)。二极管压降对电路输出的影响会因放大器的开环增益而降低,从而产生微不足道的误差。

图 7.4.3 精密运算放大器钳位电路

7.5 二极管限幅器/限幅器

二极管限幅电路可用于限制信号的电压摆幅。理想限幅电路的输入与输出传递函数如图 7.5.1 所示。只要V IN小于V L+且大于V L- ,V OUT就等于V IN。当V IN超出这些限制电压时,V OUT被削波或限制为V L+或V L-。

图 7.5.1 电压削波特性

图 7.5.2 限幅器波形

图 7.5.3 显示了一个二极管电路,该电路将正负电压摆幅剪裁到参考电压。限幅电路所需的基本元件是理想二极管和电阻器。要将削波电平固定到除地以外的所需电平,还必须包括与二极管串联的直流电源,如图所示。当二极管正向偏置时,它充当一个闭合开关,将V OUT短接到V L+或V L-,当二极管反向偏置时,它充当一个开路开关。通过改变直流电源的电压以及互换二极管和电阻器的位置,可以获得不同级别的削波。

根据二极管的特性,输入信号的正或负区域被“削波”掉,因此二极管削波器可能是正极或负极削波器。

图 7.5.3 并联或并联限幅电路

剪刀有两种一般形式:串联和并联(或并联)。并联限幅器的二极管与负载并联,而串联配置(图 7.5.4)定义为二极管与负载串联的配置。

图 7.5.4 串联限幅电路

并联和串联二极管限幅器的缺点 在并联限幅器中,当二极管处于非导通状态时,输入信号应在没有任何衰减或损耗的情况下传输到输出。但在高频、RF 输入信号的情况下,二极管电容会对电路操作产生不利影响,并且信号会衰减(即,它通过二极管电容接地)。

在串联限幅器中,当二极管处于非导通状态时,不会有输入信号传输到输出。但是在高频 RF 信号泄漏的情况下,二极管电容会发生泄漏,这是不希望的。这是在此类限幅器中使用二极管作为串联元件的缺点。

7.6 压控可变衰减器

电子可控可变射频衰减器在射频信号链的设计中很常见。例如,通常希望能够使用控制电压来控制射频信号的幅度。这些可变射频衰减器甚至可用于可编程射频衰减器。这里的控制电压由数模转换器生成,该转换器由微控制器或数字信号处理器 ( DSP )编程。

通过改变通过 PN 二极管的偏置电流,可以改变射频电阻。在高频下,二极管表现为一个电阻,其电阻是其正向电流的反函数。此外,在某些可变衰减器设计中,二极管可用作幅度调制器或输出电平(自动增益控制)电路。衰减器电路配置示例如图 7.6.1 所示。

图 7.6.1 压控可变衰减器

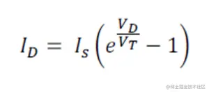
C 1(和C 2)的目的是阻止来自输入和输出电路的直流电流,因此二极管的工作点不受影响。电感器L 1 的作用是阻止交流信号流入R 2。衰减器利用以下事实:二极管 r D 的“小信号”电阻是流经二极管 I D的直流电流的函数。见下面的方程:

其中:
n 是二极管面积(尺寸)比例因子
V T是热电压
I D是二极管电流
k是玻尔兹曼常数
q 是电子电荷
T 是绝对温度

在电路中,在R 1和D 1的电阻之间设置了一个分压器。D 1中的电流通过改变R 2 中的电流而变化。当 D 1 中的电流较小时, r D较大并且在输出端看到的输入信号部分较大。随着 D 1 中电流的增加,其电阻降低,输出端看到的输入部分减少。

7.7 对数输出放大器

图 7.7.1 对数放大器

输入电压V in和输出电压V out之间的关系由下式给出:

其中 I S是饱和电流,V T是热电压。

如果运算放大器被认为是理想的,则负引脚处于虚拟接地,因此从输入流入电阻器的电流(因此通过二极管到达输出,因为没有电流流入运算放大器输入)是:

其中 I D是通过二极管的电流。

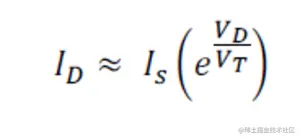
从第 5 章我们知道,二极管的电流和电压之间的关系是:

当电压V D大于零时,该等式可以近似为:

将这两个公式放在一起,并考虑到输出电压是二极管两端电压的负值 ( V out = - V D ),输出与输入的对数关系为真。

请注意,由于热电压V T和其他非理想效应,此实现未考虑二极管电压的温度漂移。

为了说明二极管对数放大器的输入电压到输出电压特性,图 7.7.1 的电路在 R 设置为 1 kΩ 和一个 1N4148 二极管的情况下进行了仿真。结果绘制在图 7.7.2 中。底部的绿色曲线是V IN从 0V 到 5V的线性扫描。使用 1 kΩ 电阻器,通过二极管的电流因此从 0 到 5 mA扫描。顶部的蓝色曲线显示了我们期望的特征对数形状。

图 7.7.2 对数放大器仿真

7.8 指数(反对数)输出放大器

图 7.8.1 反对数放大器

输入电压V in和输出电压V out之间的关系由下式给出:

其中 I S是饱和电流,V T是热电压。

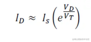
如果我们再次将运算放大器视为理想的,那么负引脚处于虚拟接地,因此通过二极管的电流由下式给出:

当二极管电压V D大于零时,可以近似为:

输出电压由下式给出:

为了说明二极管反对数放大器的输入电压到输出电压特性,图 7.8.1 的电路在 R 设置为 1 kΩ 和一个 1N4148 二极管的情况下进行了仿真。结果绘制在图 7.8.2 中。底部的绿色曲线是V IN从 0 到 660 mV的线性扫描。通过使用与我们在第 7.7 节中对数放大器所做的相同的二极管,我们知道 660 mV将导致 1 mA电流通过二极管,并且具有相同的 1 kΩ 电阻器输出电压将为 5V。顶部的蓝色曲线显示了我们期望的特征指数形状。

图 7.8.2 反对数放大器仿真