架构师的题目收集

335 阅读4分钟
1、【2017年上半年】进程 P1、P2 、P3、P4 和 P5 的前趋图如下图1,若用 PV 操作控制进程 P1、P2、P3、P4 和 P5 并发执行的过程,需要设置 5 个信号量 S1、S2、S3、S4 和 S5,且信号量 S1~S5 的初值都等于零。如下的进程执行图(图2)中 a 和 b 处应分别填写(26);c 和 d 处应分别填写(27) ;e 和 f 处应分别填写(28)。

`d1.png

图片1

d2.png 图片2

(26)
A.V (S1)和 P(S2)V(S3)
B.P(S1)和 V(S2)V(S3)
C.V(S1)和 V(S2)V(S3)
D.P(S1)和 P(S2)V(S3)

(27)
A.P(S2)和 P(S4)
B.V(S2)和 P(S4)
C.P(S2)和 V(S4)
D.V(S2)和 V(S4)

(28)
A.P(S4)和 V(S5)
B.V(S5)和 P(S4)
C.V(S4)和 P(S5)
D.V(S4)和 V(S5)

【解析】
P(X):这个主要就是检查上一个进程是否完成
V(X):就是唤醒当前进程指向的下一个进程

d.png

ab对应的是进程2,可以看到我标记的图所示,p2是P1完成后到执行到P2,所以看到a我们需要知道执行P2之前我们需要检查P1是否完成所以应该填P(S1),如果P1完成则执行P2,执行完成P2之后我们需要指向下一个进程也即是P3和P4则我们需要去唤醒P3用V(S3)V(S4)

2、设文件索引节点中有7个地址项,其中4个地址项为直接地址索引,2个地址项是一级间接地址索引,1个地址项是二级间接地址索引,每个地址项大小为4字节,若磁盘索引块和磁盘数据块大小均为256字节,则可表示的单个文件的最大长度是( )

A、33kb
B、519kb
C、1057kb
D、16513kb

【解析】

d.png

3、

d.png

【解析】
首先,来说一下什么是RxS

d.png

d1.png

d2.png

也就是笛卡儿积,将R和S的每一行当作一个整体做一个组合运算,从列上看,相当于R和S中的列数相加,从行上看,相当于R和S的行相乘。

第二, σ  选择运算
σ4<5 (R×S) 的意思在RxS的结果中,选择出满足属性列4 的值 <属性列5的值的那些行。

第三, π投影运算 π3,4,7(σ4<5 (R×S)),其实比较简单了,就是在σ4<5 (R×S)的结果中选择相应的列,这里对应的是第3,4,7列

d3.png

其实最后的结果就是上图,为了避免C,D两列区分不清,要加上相应的关系名。

4、下列安全协议中(  )是应用层安全协议。

A、IPSec
B、L2TP
C、PAP
D、HTTPS

【解析】

df2a82c8c65d4978974d3e6001674932_.jpeg

5、范式判断的知识点。

w.png

6、NoSQL与关系数据库的比较。

w.png

7、系统架构风险、敏感点和权衡点的定义。

风险点:系统架构风险是指架构设计中潜在的、存在问题的架构决策所带来的隐患。
敏感点:是指为了实现某种特定的质量属性,一个或多个构件所具有的特性。
权衡点:是影响多个质量属性的特性,是多个质量属性的敏感点。

8、负载均衡的静态算法和动态算法。

w.png

9、ESB

ESB(企业服务总线)指传统中间件技术与XML、 Web服务等技术结合的产物,支持异构系统集成。它基于内容的路由和过滤,具备了复杂数据的传输能力,并可以提供一系列的标准接口。
ESB主要功能:
1、服务位置透明性;
2、传输协议转换;
3、消息格式转换;
4、消息路由;
5、消息增强;
6、安全性;
7、监控与管理;

10、设计模式

w.png

w1.png

11、TCP与UDP

TCP是一种面向连接的、可靠的、基于字节流的传输层通信协议。TCP之所以可靠,是因为建立连接时有3次握手,通信时有回应机制,所以丢了包,能重传以保障通信可靠性。

UDP是一种面向无连接的传输层通信协议,丢了包不会重传,所以不能保障通信可靠性。

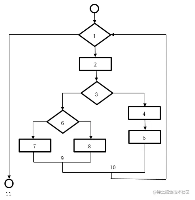
12、使用McCabe方法可以计算程序流程图的环形复杂度,下图的环形复杂度为()

w.png

图G的环形复杂度V(G)=E-N+2,其中,E是流图中边的条数,N是结点数。
本题中,E=12,N=10,所以V(G)=12-10+2=4。

13、软件开发方法

w.png

14、软件开发模型

w.png

15、# Huffman树的构建

A 8, D 1, E 4, F 1, R 5, T 3

  • 重复以下的步骤:

    • 按照权值对每一个节点排序:D-F-T-E-R-A
    • 选择权值最小的两个节点,此处为D和F生成新的节点,节点的权重为这两个节点的权重之和,为2
  • 直到只剩最后的根节点

16、语法树,前缀式,中缀式,后缀式

前序遍历:根左右
中序遍历:左根右
后序遍历:左右根

b2e11c5e92964f05a6ab5b7f2a382ebf.png