揭秘你处理数据的“底层逻辑”,详解公式引擎计算(二)

261 阅读8分钟

上篇中我们介绍了计算公式引擎的计算原理,本期我们继续带着大家了解在Excel表格中公式引擎的实现原理。

背景

在上节中解决了基本运算的逻辑之后,在一些实际业务场景中,公式计算并不是单一公式进行的独立运算。我们经常需要将一个很大的运算分解成前后依赖的小运算;同时这些单元格之间的计算会出现很多相互依赖,计算顺序也是要考虑的一个关键问题,我们需要将一系列具有先后顺序的同类运算管理起来依次执行。

为了实现这种计算关系之间的管理,出现了计算链,用以对公式之间的依赖和先后顺序进行管理,处理在电子表单中错综复杂的依赖。涉及到图的处理,脏值计算等内容。接下来我们将从图计算出发,介绍不同图的计算、按需计算和脏值处理的问题,更加深层次的了解Excel表格计算中计算链相关问题。

计算链

让我们先从两个表格计算问题出发。

  • 第一种简单情况:

在这一串计算公式之中,当C1赋值为1时,A1的结果为3。但此时如果修改C1的值,C1=10,此时B1的内容还没有修改,A1依旧是3,然后B1=10+1=11,这里就会发现A1内容计算出错。

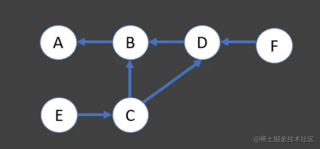
  • 第二种更加复杂一些的情况:

我们用图的结点表示单元格的计算内容,箭头代表依赖关系。入度为零的节点,完全不依赖其他节点内容,所以计算的顺序应该是从不依赖其他节点的节点内容开始。单元格A依赖F、E,D依赖C、B,C、B又分别依赖F、E,唯二不依赖其他节点的内容是E、F。

这样就得到了一个稳定正确的计算顺序,这个顺序被称之为计算链。在这个例子中计算链是:F,C,E,A,D,B。

有向无环图和有向有环图的计算

在一张图中,如果从一个节点出发,最后能回到这个节点,我们称之为有向有环图,反之被称作有向无环图。

左图中不论从任意一个节点出发都不能再回到该节点,所以左图是有向无环图。

右图中A点可以出发后回到A节点,所以右图是有向有环图。

我们将计算节点和计算节点之间的关系拆解成有向图后,就可以使用计算有向图的标准方法得到一个可靠的计算链。

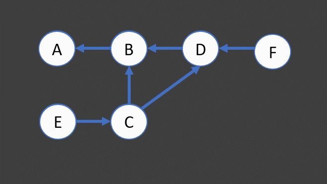
有向无环图的计算

对于每一个节点存在入度和初度的概念,入度:多少箭头指向当前节点,例如对于A节点,入度为1;出度:当前箭头有多箭头指出,例如对于B节点,入度为2。

在对有向无环图进行计算的时候,就利用了图中入度作为优先级排序,每次运算入度为0的节点,然后移除。

以上图为例,完整的计算过程如下:

1.初始化,统计入度: A:1 B:2 C:1 D:2 E:0 F:0

2. 计算 E 节点,更新入度: A:1 B:2 C:0 D:2 F:0

3. 计算 F 节点,更新入度: A:1 B:2 C:0 D:1

4. 计算 C 节点,更新入度: A:1 B:1 D:0

5. 计算 D 节点,更新入度: A:1 B:0

6. 计算 B 节点,更新入度: A:0

7. 计算 A 节点,计算结束有向有环图的计算

有向有环图的计算

解决了有向无环图的计算问题,如果此时把上图中B-C之间的箭头反向调换,情况就会变的截然不同起来。此时B-C-D之间组成了一个环。

这时候依旧进行计算:

1. 初始化,统计入度: A:1 B:1 C:2 D:2 E:0 F:0

2. 计算 E 节点,更新入度: A:1 B:1 C:1 D:2 F:0

3. 计算 F 节点,更新入度: A:1 B:1 C:1 D:1

4. 没有入度为0的节点,开始迭代计算

(迭代计算:把上一步的计算结果代入这一步的运算中去,经过多步这样的计算,可以得出一个更为接近的结果。)

按需计算

解决这种互相依赖的复杂单元格的运算时,除了图计算还可以采用按需计算的方法。在这里使用到的是calcOnDemand这个函数。这个函数的核心工作原理是:压栈并且计算所需要的节点内容,该节点可以是任意内容。

以该图内容来说明这一计算的过程:这里选择A作为我们需要的节点

  1. 压栈并计算A,需要计算B的结果

  2. 压栈并计算B ,需要计算C的结果

  3. 压栈并计算C ,需要计算E的结果

  4. 压栈并计算E, E 计算完毕后出栈

  5. 计算C,C计算完毕后出栈

  6. 计算B,还需要计算D的结果

  7. 压栈并计算D ,拿到C的结果,还需要F的结果

  8. 压栈并计算F, F计算完毕后出栈

  9. 计算D,D计算完毕后出栈

  10. 计算B,B计算完毕后出栈

  11. 计算A,A计算完毕后出栈

  12. 栈空,计算完毕

这个例子取了最复杂的A作为需求节点,如果需要D节点,变为D节点入栈,C节点入栈,E节点入栈,计算后出栈,C节点计算后出栈,F节点入栈计算后出栈,D节点入栈,这样就得到了正确的D的值,这种运算方式只计算需要的内容。

图计算VS按需计算

在这里对图计算和按需计算做一个对别,这两种算法在不同情况下效率不同。

左图中是一个从上到下的累加,使用按需计算计算的很顺畅,从上向下按顺序计算即可,堆栈中存在的待计算元素不超过两个,按需计算比图的计算更加快。

右图中是是一个逆向计算,上一行单元格的内容依赖下一行单元格的内容,按需计算需要计算1000步,这时按需计算会比图计算慢很多。

总体来说,图计算比按需计算更加稳定,而按需计算在不同情况下会有不同的表现,实际使用中我们可以根据具体的使用场景采用不同的计算策略。

脏值计算

在这个图中,如果此时修改了某节点的值,这个时候就需要根据传播途径,标记所有需要重算的节点。

举例:修改了E的内容

  1. 根据传播依次将E C B D A标记

  2. 删去未标记的节点

  3. 开始计算剩余的节点

标记完成之后,我们就不再需要关注未标记节点,计算完成。

整个过程如下图所示:

拓展:关于运算内容几个问题

已经介绍完计算链的全部内容,为了帮助大家更好地理解,这里有几个思考问题:

  1. 示例中的图计算,可否可改用按需计算?

  2. 可不可以先计算E的值,再标记并重算C B D A?

  3. 根据传播途径标记需要重算节点的优势?

解答部分:

  1. 该图可以进行按需计算,因为按需计算和图计算都可以对图内容进行正确计算。

  2. 该图中不可以先算E,然后重标CBDA,因为一旦我们一但先计算E,此时C依旧依赖E的内容,而C又不能先于E计算,这时ABCD节点数值都会变得不可靠,这个计算引用链就会被完全破坏。

  3. 脏数据的处理中只对传播路径上的节点进行处理,在实际应用场景下,几百个单元格数据处理使,可以大大减少运算的内容。

总结

所有的单元格计算内容就全部为大家介绍完毕了,我们一起回顾一下本章节内容:计算链就是将一个个单元格计算串联起来,分为普通计算和迭代计算。而这里我们介绍了两种不同的计算方式——图计算和按需计算,在面对不同情需要选择采用不同的计算策略。计算链在整个计算过程中不像单元格的计算那么明显,但是却比单元格的计算更加复杂。

在了解了计算公式如何进行词法、语法分析对公式进行快速运算,计算链是如何进行多单元格大数据量的处理,接下来将继续为大家介绍异步函数在前后算计算中的花式用法。

看到这里了点个赞吧~后续本葡萄也会为大家带来更多严肃或有趣的内容。

转载请注明出处:葡萄城官网,葡萄城为开发者提供专业的开发工具、解决方案和服务,赋能开发者。