3、运算放大器 - 非理想行为

906 阅读17分钟

第 3 章:介绍和章节目标

完成本章后,您应该能够:

  • 定义:开环增益、闭环增益、噪声增益
  • 定义增益带宽积
  • 定义相位裕度
  • 使用波特图
  • 定义和测量:输入失调电压、输入偏置电流、输入失调电流
  • 了解调整、修剪和/或消除这些错误的方法。

3.1 偏离理想

简化模型不精确也就不足为奇了。另一方面,它们通常描述大多数(如果不是全部)观察到的运算放大器行为。以下是实际运算放大器与理想性能的一些不同之处。

  • 有限开环增益。在实际运算放大器中,开环增益不可能真正无限。大多数通用运算放大器的增益都大于 100,000,对于大多数计算来说,这接近于无穷大。一些简单的放大器和许多高带宽放大器可能具有小得多的开环增益,在使用这些放大器进行设计时必须考虑到这一点。
  • 失调电压,VOS。运算放大器的输入级由一对差分晶体管组成。如果两个晶体管不完全匹配,这种不匹配将在输出端显示为非零直流偏移。在某些情况下,这可以从外部调整为零。这种偏移调整相当于改变流入两个输入晶体管的电流的比率。
  • 偏置电流,Ibias。晶体管输入实际上确实吸收了一些电流。使用双极输入晶体管的那些(如 uA741)比使用 FET 的那些(如 411)吸收更多的电流。偏置电流定义为两个输入电流的平均值。
  • 偏移电流,IOS。这是输入偏置电流之间的差异。每个偏置电流在通过输入电阻网络后,将有效地为运算放大器输入提供电压。因此,两个电流的偏移将在输出端显示为电压偏移。

3.2 非理想运算放大器 - 有限放大器增益引起的静态误差

运算放大器最显着的特征之一是它们惊人的直流电压增益幅度。即使是最便宜的设备也具有 100,000 (100dB) 的典型电压增益,而最高性能的精密双极和斩波稳定放大器可以具有高达 10,000,000 (140dB) 或更高的增益。在如此大的电压增益周围施加负反馈很容易实现闭环性能的优点,使电路仅依赖于反馈组件。

图 3.1:用于增益误差分析的非理想运算放大器级

正如第 2 章中对理想运算放大器属性的讨论所指出的,行为假设源于这样一个事实,即负反馈加上高开环增益,将放大器输入误差电压(以及因此的误差电流)限制为无穷小值。该增益越高,这些假设就越有效。

但实际上,运算放大器的增益是有限的,实际电路中存在误差。图 3.1 的运算放大器增益级将用于说明这些误差如何影响性能。在该电路中,运算放大器是理想的,除了有限的开环直流电压增益 A(通常表示为 A VOL )。

3.2.1 噪声增益(NG)

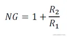
分析运算放大器电路的第一步是区分噪声增益和信号增益。我们已经讨论了同相和反相级之间在信号增益方面的差异,分别在等式 3.1 和 3.2 中进行了总结。但是,从图 3.1 中可以看出,反相和非反相级之间的区别可以很简单,就像放置参考地一样简单。对于G1点的地,该级为逆变器;相反,如果地面放置在 G2 点(没有 G1),则舞台是非反相的。

3.1 

3.2

但是请注意,就反馈路径而言,没有真正的区别。为了使事情更一般化,前面显示的电阻反馈组件在这里被更一般的符号 Z F和 Z G替换,否则它们的功能与以前一样。反相和非反相级的反馈衰减 β 相同:

3.3

噪声增益现在可以简单地定义为: 从放大器输出到反馈输入的净反馈衰减的倒数。换句话说,β 网络传递函数的倒数。这最终可以扩展到包括频率相关性(本章稍后会介绍)。噪声增益可以缩写为NG。

如前所述,ß 的倒数是理想的同相运算放大器级增益。包括有限运算放大器增益的 β 效应,同相级的修正增益表达式为:

3.4

其中 G CL是有限增益级的闭环增益,A VOL是负载条件下的运算放大器开环电压增益。

需要注意的是,该表达式与公式 3.2 的理想增益表达式相同,只是在右侧添加了括号中的乘数。另请注意,随着 A VOL接近无穷大,这个最右边的项变得越来越接近统一。因此,当表达式以这种形式显示时,它在一些教科书中被称为误差乘数项。

在这里为反相放大器开发另一个有限增益误差表达式似乎是合乎逻辑的,但实际上没有必要。反相和非反相增益级都有一个共同的反馈基础,即噪声增益。因此,等式 3.4 足以用于反相和非反相级的增益误差分析。只需使用 β 因子,因为它适用于特定情况。

注意与方程 3.4 最右边的误差乘数项相关的一些假设是有用的。对于 A VOL β » 1,一个假设是:

3.5

由于有限增益 A VOL,这又导致估计误差百分比 β :

3.6

当 A VOL趋于无穷大时,此误差再次变为零。

3.2.2 增益稳定性

由这些方程预测的闭环增益误差本身并不是非常重要,因为总是可以调整比率 Z F /Z G以补偿该误差。但请注意,在大多数应用中,闭环增益稳定性是一个非常重要的考虑因素。闭环增益不稳定性主要由电源电压、温度、负载等变化引起的开环增益变化产生。

3.7

根据等式 3.7,就对闭环增益的影响而言,开环增益 (βA VOL ) 的任何变化都会减少因子 A VOL β。闭环增益稳定性的这种改进是负反馈的重要好处之一。

3.2.3 环路增益

出现在上述方程中 的乘积 A VOL β 称为环路增益,这是反馈​​理论中的一个众所周知的术语。几乎在所有情况下,负反馈导致的闭环性能改进都与环路增益成正比。

术语“环路增益”来自测量方法。这是通过断开运算放大器输出端的闭合反馈环路并测量环路周围的总增益来实现的。例如,在图 3.1 中,这可以在放大器输出和反馈路径之间完成(见箭头)。近似地,闭环输出阻抗、线性度和误差中的增益稳定性通过使用负反馈的因子 A VOL β减小。

另一个有用的近似被开发如下。等式 3-4 的重新排列是:

3.8

因此,对于 A VOL β 的高值,

3.9

因此,在给定的反馈电路中,环路增益 A VOL β 大约是放大器开环增益与电路闭环增益的数值比(或差值,单位为dB)。

该环路增益讨论强调,实际上环路增益是预测闭环运算放大器电路性能的一个非常重要的因素。获得足够数量的环路增益所需的开环增益当然取决于所需的闭环增益。

例如,使用公式 3-9,对于 10 的闭环增益,A VOL = 20,000的放大器的 A VOL β ~ 2000,但对于 1000 的闭环增益,环路增益仅为 20。第一种情况意味着与放大器相关的增益误差约为 0.05%,而第二种情况会导致大约 5% 的误差。显然,所需的增益越高,支持给定精度的 A VOL β所需的开环增益就越大。

3.2.4 环路增益的频率相关性

到目前为止,已经假设放大器开环增益与频率无关。不幸的是,事实并非如此。将开环响应对带宽和动态误差影响的讨论留待稍后,让我们现在研究频率响应对环路增益和静态误差的一般影响。

对于增益为 100 (40dB) 的具有叠加闭环放大器响应的典型运算放大器的开环频率响应,以图形方式说明了这些结果,如图 3.2 所示。在这些波特图中,对数刻度上的减法等效于数值数据的正常除法。今天,运放开环增益和环路增益参数通常以dB为单位给出,因此这种显示方法很方便。

图 3.2:运算放大器闭环增益和环路增益与典型开环响应的相互作用

几个关键点从这个图形演变而来,这是一个涉及两个假设运算放大器的模拟,两个都具有 100dB (100kV/ V )的直流/低频增益。第一个增益带宽为 1MHz,而第二个增益带宽为 10MHz。

•两个运算放大器的开环增益 A VOL分别由标记为 1MHz 和 10MHz 的两条曲线表示。请注意,每个都有一个 -3dB 的转角频率与之相关,高于该转角频率时开环增益会下降 6dB/octave。对于两个运算放大器,这些转角频率分别标记为 10Hz 和 100Hz。

• 在开环增益曲线上的任何频率下,增益 A VOL和频率 f 的乘积是一个常数(100Hz 时的10,000V/ V等于 1MHz)。根据定义,这是恒定增益带宽积放大器的特征。所有电压反馈运算放大器都以这种方式运行。

•以dB为单位的VOL β是开环增益和闭环增益之间的差值,如对数-对数标度所绘。在标记的较低频率点处,A VOL β 因此为 60dB。

• A VOL β 随着频率的增加而减小,这是 由于开环转角频率以上的A VOL减小。例如,在 100Hz 时,1MHz 增益带宽放大器显示的 A VOL β 仅为 80-40 = 40dB。

•对于较高的闭环增益值,VOL β 也会降低。其他更高的闭环增益示例(未显示)会在低频下将 A VOL β 降低到 60dB 以下。

• G CL主要取决于反馈分量Z F和Z G的比率,并且与A VOL相对独立(除了上面讨论的与A VOL β成反比的误差)。在本例中,1/β 是 100,即 40dB,因此标记为 10Hz。请注意,G CL随着频率的增加而平坦,直到 G CL与开环增益曲线相交的频率为止,并且 A VOL β 降至零。

• 在闭环和开环曲线相交的这一点,环路增益根据定义为零,这意味着在这一点之后没有负反馈。因此,对于频率的进一步增加,闭环增益等于开环增益。

• 请注意,从 -3dB 频率可以看出,10MHz 增益带宽运算放大器允许闭环带宽增加 10 倍。对于 10MHz 与 1MHz 增益带宽运算放大器,即 100kHz 与 10kHz。

图 3.2 说明了通常为运算放大器引用的高开环增益数字可能会有些误导。如上所述,超过几赫兹,开环增益下降到 6dB/octave。因此,闭环增益稳定性、输出阻抗、线性度和其他依赖于环路增益的参数在较高频率下会降低。具有高达 100dB 的 DC 增益和高达几MHz 的带宽的原因之一是即使在低至 100Hz 的频率下也能获得足够的环路增益。

除了增加开环增益之外,提高高频环路增益的一种直接方法是增加放大器的开环带宽。图 3.2 用两个简单的例子说明了这一点。然而,应该记住,当今可用的运算放大器增益带宽已扩展到数百MHz,从而允许视频和高速通信电路充分利用反馈的优点 。

3.2.5 波特图:渐近响应和实际响应

开环增益与频率在对数刻度上的关系图就是所谓的 Bode(读作 boh dee)图。它是评估运算放大器是否适合特定应用的主要工具之一。

如果在波特图上绘制开环增益和噪声增益,如图 3.3 所示,它们相交的点将决定放大器系统的最大闭环带宽。这通常称为闭环频率 (F CL )。请记住,交叉点的实际响应实际上比该值低3 dB。在高于 F CL一个八度音程和低于 F CL一个八度音程的频率下,渐近响应和实际响应之间的差异将小于 1 dB。

波特图也可用于确定稳定性。如上所述,如果闭环增益(噪声增益)以大于 6 dB /倍频程(20 dB /十倍频程)的斜率与开环增益相交,放大器可能不稳定(取决于相位裕度)。

图 3.3:显示渐近响应和实际响应的波特图

3.2.6 增益带宽积

对于单极点响应 ,开环增益下降为 6 dB /octave。这意味着如果我们将频率加倍,增益会下降两倍。相反,如果频率减半,开环增益将加倍,如图 3.4 所示。这产生了所谓的增益带宽积。如果我们将开环增益乘以频率,则乘积始终为常数。需要注意的是,我们必须处于曲线中以 6 dB /octave下降的部分。这为我们提供了一个方便的品质因数,用于确定特定运算放大器是否可用于特定应用。请注意,增益带宽积仅对电压反馈 (VFB) 运算放大器有意义。

图 3.4:增益带宽积

例如,如果我们的设计需要 10 的闭环增益和 100 kHz的带宽,我们需要一个最小增益带宽积为 1 MHz的运算放大器。然而,这有点过于简单化了,因为增益带宽乘积的部件与部件之间的可变性以及在闭环增益与开环增益相交的位置,响应实际上下降了 3 dB 的事实。此外,应该允许一些额外的余量。

在上述情况下,增益带宽积为 1 MHz的运算放大器将是微不足道的。至少 5 的安全系数可以更好地确保实现预期性能,因此应选择增益带宽积为 5 MHz的运算放大器。

3.2.7 稳定性标准

反馈稳定性理论指出,要使系统无条件稳定,闭环增益必须以不大于 6 dB /倍频程(单极点响应)的斜率与开环增益相交。如果响应为 12 dB /octave(双极点响应),运算放大器将振荡。想到这一点的最简单方法是每个极点增加 90° 的相移。两个极点产生 180° 相移,180° 相移将负反馈变为正反馈,这意味着振荡。

可能会问这个问题 - 为什么你想要一个单位增益不稳定的放大器?答案是,对于给定的放大器,如果放大器没有设计为单位增益稳定,则带宽可以在更高的增益下增加。这种类型的运算放大器有时称为去补偿运算放大器。但是,仍然必须满足稳定性标准。该标准是闭环增益必须以 6 dB / 倍频程(单极点响应)的斜率截取开环增益。否则,放大器将振荡。因此,去补偿运算放大器只能在制造商数据表中指定的更高增益下稳定。

例如,比较图 3.5 中的开环增益图。所示的三个商用运算放大器(AD847、AD848 和 AD849)基本上是相同的设计,但内部补偿不同。AD847 单位增益稳定,额定增益带宽为 50 MHz。AD848 在增益为 5 或更高时是稳定的,增益带宽为 175 MHz。AD849 在增益为 25 或更高时是稳定的,增益带宽为 725 MHz。这说明了如何在设计中调整运算放大器内部补偿,以产生各种增益带宽乘积,作为相同基本设计拓扑的最小稳定增益的函数。

图 3.5:增益 1 稳定、增益 5 稳定、增益 25 开环增益特性、增益带宽积和相位响应

3.2.8 相位裕度

稳定性的一种衡量标准是相位裕度。正如幅度响应不会保持平坦然后立即改变一样,相位响应也将逐渐改变,在转角频率前大约十年开始。相位裕度是在达到 180° 之前剩余的相移量,在闭环增益与开环增益相交的频率处测量。

低相位裕度的结果是在闭环增益与开环增益相交的频率之前增益峰值增加。图 3.6 显示了典型(AD8051)运算放大器的增益和相位响应。在这种情况下,单位增益频率下的相位裕度为 45°。

图 3.6:典型运算放大器 (AD8051) 相位裕度

3.3 运放输入失调电压

3.3.1 输入失调电压的定义

理想情况下,如果运算放大器的两个输入电压完全相同,则输出应为零伏。实际上,需要向输入施加一个小的差分电压以强制输出为零。这称为输入失调电压V OS。输入失调电压被建模为电压源V OS,与运算放大器的反相输入端子串联,如图 3.7 所示。

图 3.7:运算放大器输入失调电压

  • 偏移电压:必须施加到运算放大器输入端以产生零输出的差分电压。

  • 范围:

    • 斩波稳定/自动归零运算放大器:<1µV\

    • 通用精密运算放大器:50-500µV\

    • 最佳双极运算放大器:10-25µV\

    • 最佳 JFET 输入运算放大器:100-1,000µV\

    • 高速运算放大器:100-2,000µV\

    • 未调整的 CMOS 运算放大器:5,000 - 50,000µV\

    • DigiTrim™ CMOS 运算放大器:100µV - 1,000µV

斩波稳定(也称为自动归零)运算放大器的V OS小于 1 µV(例如 AD8538、AD8551、AD8571、AD8628、AD8630)和最佳精密双极运算放大器(超级β 或偏置稳定)最大失调可低至 25 µV (OP177F)。最佳微调 JFET 输入类型的失调电压约为 100 µV(AD8610B、AD8620B),未经微调的 CMOS 运算放大器的范围为 5 至 50 mV。

但是,ADI DigiTrim™ CMOS 运算放大器的失调电压小于 100 µV(例如AD8603、AD8607、AD8609、AD8605、AD8606、AD8608)。一般来说,“精密”运算放大器的V OS < 0.5 mV,尽管一些高速放大器可能比这差一点。本章稍后将解释 DigiTrim 过程。

3.3.2 输入失调电压漂移和老化影响

输入失调电压随温度变化,其温度系数被称为 TC VOS,或更常见的是漂移。失调漂移受运算放大器失调调整的影响,但当双极输入运算放大器的失调电压最小时,漂移可能低至 0.1 µV/°C(OP177F 的典型值)。一系列通用精密运算放大器的更典型漂移值在 1-10 µV/°C 范围内。大多数运算放大器都有指定的 TC VOS值,但有些运算放大器具有在工作温度范围内保证的第二个最大V OS值。这样的规范不太有用,因为不能保证 TC VOS是恒定的或单调的。

偏移电压也会随着时间的推移或老化而变化。老化通常以 µV/月或 µV/1000 小时为单位指定,但这可能会产生误导。由于老化是一种“随机游走”现象,它与经过时间的平方根成正比。因此,1 µV/1000 小时的老化率变为大约 3 µV/年(而不是 9 µV/年)。

OP177F 的长期稳定性约为 0.3 µV/月。这是指开始运营 30 天后的一段时间。不包括工作的最初一小时,这些设备在工作的前 30 天内的失调电压变化通常小于 2 µV。

斩波稳定运算放大器的长期稳定性没有规定,因为自动归零电路消除了由于老化造成的任何偏移。

3.3.3 测量输入失调电压

测量几微伏的输入失调电压要求测试电路不会引入比失调电压本身更多的误差。图 3.8 显示了测量偏移电压的标准电路。该电路将输入失调电压放大 1001 倍的噪声增益。使用精确的数字电压表在放大器输出端进行测量。参考输入 (RTI) 的偏移量是通过将输出电压除以噪声增益来计算的。输入端看到的小源电阻导致偏置电流对测量失调电压的影响可以忽略不计。例如,流经 10Ω 电阻器的 2 nA 偏置电流会产生 0.02 µV 的输入误差。

图 3.8:测量输入失调电压

尽管这个电路看起来很简单,但在测试精密运算放大器时,它可能会给出不准确的结果,除非在实现时小心谨慎。最大的潜在误差源来自寄生热电偶结,在两种不同的金属连接处形成。该热电偶电压的范围可以从 2 µV/ºC 到超过 40 µV/ºC。请注意,在此电路中,已向同相输入添加了额外的“虚拟”电阻器,以便精确匹配/平衡反相输入路径中的热电偶结点。

测量的准确性还取决于组件的机械布局以及它们在 PC 板上的确切放置方式。请记住,电阻等元件的两个连接会产生两个相等但极性相反的热电电压(假设它们连接到相同的金属,例如 PC 板上的铜迹线)。假设两者处于完全相同的温度,这些将相互抵消。干净的连接和较短的引线长度有助于最大限度地减少温度梯度并提高测量的准确性。

在测试电路中,气流应该最小,以便所有热电偶结点稳定在相同的温度。在某些情况下,电路应放置在一个小的密闭容器中,以消除外部气流的影响。电路应平放在一个表面上,以便对流电流从电路板顶部向上流动,而不是像垂直安装电路板那样穿过组件。

测量随温度变化的失调电压偏移是一项更加艰巨的挑战。将包含待测放大器的印刷电路板放置在带有泡沫绝缘材料的小盒子或塑料袋中,可防止温度室气流在寄生热电偶上产生热梯度。如果需要冷测试,建议使用干燥的氮气吹扫。使用 Thermostream 型加热器/冷却器的放大器本身的局部温度循环可能是一种替代方法,但是这些装置往往会产生相当多的气流,这可能会很麻烦。通常,图 3.8 的测试电路可以用于许多放大器。小电阻器(例如 10Ω)的低绝对值将最大限度地减少偏置电流引起的误差。

另一种V OS测量方法如图 3.9 所示,适用于高和/或不等偏置电流的情况(如电流反馈运算放大器的情况)。在这种测量方法中,仪表放大器通过隔离电阻连接到运算放大器输入端,并为测量提供增益。然后必须从最终的V OS测量值中减去仪表放大器的失调电压(在 S 闭合时测量)。

图 3.9:使用仪表放大器测量交替输入失调电压

3.3.4 使用“NULL”引脚调整失调电压

许多单运放都有可用于可选偏移零点的引脚。为了利用这个特性,两个引脚通过一个电位器连接起来,抽头通过一个电阻连接到一个电源,如图 3.10 所示。请注意,如果雨刷器意外连接到错误的电源,则运算放大器可能会损坏 - 这是一个常见问题,当一种运算放大器类型被另一种替代时。设计良好的运算放大器的失调调整范围不超过最大V OS 的两倍或三倍最低等级的设备,以尽量减少灵敏度。然而,运算放大器偏移调整引脚处的电压增益实际上可能大于其信号输入处的增益!因此,保持这些引脚无噪声非常重要。请注意,从运算放大器到远程调零电位计之间使用长引线是绝对不可取的。

图 3.10:偏移调整销

  • 抽头连接可能是 + V S或 - V S取决于运算放大器。\

  • R 1和R 2 的值取决于运算放大器,请参阅制造商的数据表。\

  • 用于消除运算放大器输入失调电压,而不是整个系统失调。\

  • 从偏移引脚到输出可能有高增益 - 保持安静!\

  • 归零失调会导致失调温度系数增加,对于 FET 输入放大器的 1mV 失调归零大约为 4 µV/°C

如上所述,运算放大器随温度的失调漂移会随着其失调调整的设置而变化。因此,内部调整端子应仅用于调整运算放大器自身的失调,而不是校正任何系统失调误差,因为这样做会以增加温度漂移为代价。对于每毫伏的归零失调电压,FET 输入运算放大器的漂移损失约为 4 µV/°C。通常最好通过适当的器件/等级选择来控制失调电压。

3.3.5 偏移调整(外部方法)

如果运算放大器没有偏移调整引脚(普通双通道和所有四通道都没有),并且仍然需要调整放大器和系统偏移,则可以使用外部方法。如果要使用系统可编程电压(例如数模转换器 (DAC))进行偏移调整,则此方法也最有用。

对于反相运算放大器配置,将电流注入反相输入是最简单的方法,如图 3.11A 所示。这种方法的缺点是,由于 R 3和电位计电阻的并联路径,噪声增益可能会有所增加。通过使±V R足够大,使得R 3值远大于R 1 IIR 2 ,可以减少由此产生的噪声增益增加。请注意,如果电源是稳定的,无噪声,它们可以用作±V ř否则单独调节的低噪声(过滤的)源应该被使用。

图 3.11B 显示了如何通过向同相输入注入一个小的偏移电压来实现偏移调整。该电路优于图 3.11A,因为它不会导致噪声增益增加(但需要增加 R P)。如果运算放大器具有匹配的输入偏置电流,则 RP 应等于 R 1 II R 2(以最小化增加的失调电压)。否则,RP应小于 50Ω。对于更高的值,建议在高频下绕过 R P。

图 3.11:反相运算放大器外部失调调整方法

在同相模式下使用运算放大器时,可以使用图 3.12 所示的电路注入一个小的失调电压。该电路适用于小偏移,其中 R 3可以远大于 R 1。请注意,否则,随着偏移电位计的调整,信号增益可能会受到影响。然而,如果R 3连接到固定的低阻抗参考电压源±V R,则增益可以稳定。

图 3.12:同相运算放大器外部失调调整方法

3.3.6 失调电压调整过程

DigiTrim™ CMOS 运算放大器系列利用了数字技术的优势,以最大限度地降低通常与 CMOS 放大器相关的失调电压。在器件封装后完成偏移电压调整。根据等级,将数字代码输入到器件中以将偏移电压调整到小于 1 mV。不需要晶圆测试,并且 ADI 公司的专利技术 DigiTrim™ 不需要额外的引脚来完成该功能。这些器件具有轨到轨输入和输出,并且 NMOS 和 PMOS 并行输入级使用 DigiTrim 分别进行微调,以最大限度地减少两对中的失调电压。典型 DigiTrim CMOS 运算放大器的功能图如图 3.13 所示。

图 3.13:ADI 公司用于微调 CMOS 运算放大器的 DigiTrim™ 工艺

DigiTrim 通过对数字加权电流源进行编程来调整偏移电压。调整信息是使用特殊数字序列通过现有引脚输入的。在执行永久调整之前,可以临时编程、评估和重新调整调整值以获得最佳精度。微调完成后,微调电路被锁定,以防止最终用户意外重新微调的可能性。

通过熔断多晶硅保险丝实现的物理微调非常可靠。不需要额外的焊盘或引脚,也不需要特殊的测试设备来执行修整。可以在包装后进行修整,这样就可以消除与装配相关的转变。由于芯片良率高,因此无需在晶圆级进行测试。

最早使用这种新技术的器件是 ADI 公司的 AD8601、AD8602、AD8604(单、双、四)轨到轨 CMOS 放大器。针对高共模条件和低共模条件调整偏移,以便在整个共模输入电压范围内偏移电压低于 500 µV。运算放大器的带宽为 8 MHz,压摆率为 5 V /µs,每个放大器的电源电流仅为 640 µA。

AD8603、AD8605、AD8607(单、双、四)系列在整个共模范围内的最大失调电压为 50 µV。增益带宽为 400 kHz,每个放大器的电源电流仅为 50 µA。

在这一点上,回顾其他常见的修剪方法很有用。ADI 公司率先将薄膜电阻器和激光晶片修整用于精密放大器、基准电压源、数据转换器和其他线性 IC。微调可以实现高达 16 位的精度,薄膜电阻器本身对温度非常稳定,即使没有微调,也可以增加器件的热稳定性和精度。薄膜沉积和图案化是必须严格控制的过程。激光修整系统也相当昂贵。无法进行封装内修整,因此无法轻松补偿与组装相关的偏移。然而,晶圆级的薄膜修整在需要高精度和稳定性的精密集成电路中提供了连续的精细修整分辨率。

齐纳击穿使用电压在晶体管的基极-发射极结上产生金属短路,以移除电路元件。基极-发射极结通常被称为齐纳,尽管其机制实际上是结的雪崩击穿。在基极-发射极结的雪崩击穿期间,非常高的电流密度和局部加热会在基极和发射极连接之间产生快速的金属迁移,从而导致跨结的金属短路。通过适当的偏置(电流、电压和时间),该短路将具有非常低的电阻值。如果一系列这些基极 - 发射极结与一串电阻并联排列,击穿选定结将使电阻串的部分短路,从而调整总电阻值。

可以在封装 IC 中执行齐纳 Zap 微调,以补偿与组装相关的偏移电压偏移。但是,封装中的修整需要额外的封装引脚。或者,在晶圆级修整需要额外的探针焊盘。随着工艺特征的缩小,探针垫不能有效地缩放。因此,无论工艺几何形状如何,修整所需的芯片面积都是相对恒定的。修整结构需要某种形式的双极晶体管,因此纯基于 MOS 的工艺可能不具备齐纳电击能力。修整的性质是离散的,因为每次电击都会去除一个预定义的电阻值。提高修整分辨率需要额外的晶体管和焊盘或引脚,这会迅速增加总芯片面积和/或封装成本。

正是在 1975 年创建行业标准 OP07 的过程中,Precision Monolithics Incorporated 率先采用齐纳 ZAP 修整。OP07 和其他类似部件必须能够在超过 ±15 V 的电源下工作。因此,它们利用相对较大的器件几何尺寸来支持高电压要求,并且额外的探针焊盘不会显着增加芯片面积。

链接修整是切割金属或多晶硅链接以移除连接。在链路修整中,使用激光或高电流来破坏并联电阻元件上的“短路”连接。移除连接会增加组合元件的有效电阻。激光切割的工作原理类似于薄膜的激光修整。来自激光束的高局部热量会导致材料变化,从而导致非导电区域,有效地切割金属或导电多晶硅连接器。

高电流链路修整方法与齐纳电击相反——导电连接被破坏,而不是由齐纳电击产生。

链接修整结构往往比激光修整电阻器结构稍微紧凑一些。通常不需要特殊工艺,但如果使用激光切割,工艺可能必须根据激光特性进行定制。使用高电流修整方法,如果芯片良率良好,则可能不需要晶圆级测试。激光切割方案不需要额外的接触垫,但修整结构不会随着工艺特征尺寸而缩放。链路的激光切割不能在封装中进行,并且需要在芯片上增加额外的探针焊盘。此外,它可能需要额外的封装引脚以进行封装内高电流调整。与齐纳切换一样,链接修整是离散的。分辨率的提高需要额外的结构,增加面积和成本。

EEPROM 修整利用特殊的非易失性数字存储器来存储修整数据。存储的数据位通过片上 D/A 转换器控制调整电流。

存储单元和 D/A 转换器随工艺特征尺寸而变化。可以在客户的系统中进行封装内修整甚至修整,从而可以减少与装配相关的偏移。如果良率合理,则不需要晶圆级测试。除了普通的混合信号测试仪系统之外,修整不需要特殊的硬件,尽管测试软件的开发可能更复杂。

由于调整可以被覆盖,因此可以定期重新编程系统以解决长期漂移或修改系统特性以满足新要求。可能的重新编程周期数取决于过程,并且是有限的。大多数 EEPROM 进程提供足够的重写周期来处理例行重新校准。

这种修剪方法确实需要特殊处理。在某些条件下,特别是在高工作温度下,存储的调整数据可能会丢失。至少需要一个额外的数字接触垫/封装引脚来将调整数据输入到片上存储器。

由于需要非常薄的氧化物,该技术仅适用于基于 MOS 的工艺。最大的缺点是片上 D/A 转换器很大——通常比它们正在调整的放大器电路大。因此,EEPROM 微调主要用于数据转换器或系统级产品,其中微调 D/A 转换器占整个芯片面积的百分比要小得多。

表 3.1 总结了每种制造修整方法的主要特征。可见,所有微调方法在生产高性能线性集成电路方面都有各自的用途。

过程修剪于:特殊处理解析度
DigiTrim™晶圆或最终测试没有任何离散的
激光修整晶圆薄膜电阻器连续
齐纳 Zap 修剪晶圆没有任何离散的
链接修剪晶圆薄膜或多晶电阻器离散的
EEPROM 修整晶圆或最终测试电可擦可编程只读存储器离散的

表 3.1:典型偏移修整工艺总结

3.4 运放输入偏置电流

3.4.1 输入偏置电流的定义

理想情况下,没有电流流入运算放大器的输入端子。实际上,总是有两个输入偏置电流,I B+和 I B-(见图 3.14)。

图 3.14:运算放大器输入偏置电流

  • I B是一个非常可变的参数!

  • I B可以从 60 fA(每 3 µs 1 个电子)到许多 µA 不等,具体取决于设备。

  • 有些结构具有匹配良好的 I B,有些则没有。

  • 某些结构的 I B随温度变化很小,但 JFET 运算放大器的 I B 会随着温度每升高 10°C 增加一倍。

  • 一些结构具有 I B可以在任一方向流动。

I B 的值范围从静电计运算放大器(例如 AD549)中的 60 fA(大约每三微秒一个电子)到一些高速运算放大器中的数十微安。使用双极结型晶体管 (BJT) 或 FET 长尾对的具有简单输入结构的运算放大器具有沿一个方向流动的偏置电流。更复杂的输入结构(偏置补偿和电流反馈运算放大器)的偏置电流可能是两个或多个内部电流源之间的差值,并且可能沿任一方向流动。

偏置电流对运算放大器用户来说是一个问题,因为它在外部阻抗中流动并产生电压,这会增加系统误差。考虑一个由 1MO 源阻抗驱动的同相单位增益缓冲器。如果 I B为 10nA,则会引入额外的 10mV 误差。这种程度的错误在任何系统中都不是小事。

或者,如果设计人员简单地忘记 I B并使用电容耦合,则电路根本无法工作。或者,如果 I B足够低,它可能会在电容器充电时暂时工作,从而产生更具误导性的结果。这里要记住的是,在任何运算放大器电路中都不要忽视 I B的影响。同样的警告也适用于仪表放大器电路。

3.4.2 输入失调电流

输入失调电流 I OS是 I B-和 I B+之间的差值,或 I OS = I B+ - I B-。另请注意,I OS仅在两个单独的偏置电流从根本上合理匹配的情况下才有意义。对于大多数电压反馈 (VFB) 运算放大器来说都是如此。然而,例如,对于电流反馈(CFB 放大器将在后面的章节中更详细地介绍)运算放大器谈论 I OS没有意义,因为电流根本不匹配。

应该注意的是,由两个互补并联级组成的轨到轨输入级的偏置电流会随着共模电压通过过渡区而改变方向。除了简单地给出最大正/负值之外,这些器件的偏置电流和偏移电流特别难以指定。

3.4.3 内部偏置电流消除电路

通过通过内部电流源提供这种必要的偏置电流,如下图 3.15 所示,流入输入端子的唯一外部电流是基极电流和电流源之间的差电流,该电流可能非常小。

图 3.15:偏置电流补偿双极输入级

  • 优点

    • 低失调电压:低至 10 µV

    • 低失调漂移:低至 0.1 µV/ºC

    • 温度稳定 I偏置

    • 低偏置电流:<0.5 - 10nA

    • 低电压噪声:低至 1nV/✔Hz

  • 缺点

    • 偏置电流匹配不良(电流甚至可能反向流动)

    • 较高的电流噪声

    • 在高频下不是很有用

    • 由于附加阻抗,匹配源阻抗使偏置电流引起的偏移误差更严重

大多数现代精密双极输入级运算放大器使用某种内部偏置电流补偿方法,例如熟悉的 OP07 和 OP27 系列。

偏置电流补偿输入级具有简单双极输入级的许多优良特性,即:低电压噪声、低失调和低漂移。此外,它们具有低偏置电流,随温度变化相当稳定。但是,它们的电流噪声不是很好,并且它们的偏置电流匹配很差。

后两个不希望有的副作用是由补偿电流源和输入晶体管基极电流之间的差值的外部偏置电流引起的。这两种电流都不可避免地具有噪声。由于它们不相关,这两个噪声以平方和的方式相加(即使直流电流相减)。

由于产生的外部偏置电流是两个几乎相等的电流之间的差值,因此没有理由为什么净电流应该具有定义的极性。因此,偏置补偿运算放大器的偏置电流不仅可能不匹配,而且实际上可能以相反的方向流动!在大多数应用中,这并不重要,但在某些应用中它可能会产生意想不到的影响(例如,使用偏置补偿运算放大器构建的采样保持 (SHA) 的下降可能具有任一极性)。

在许多情况下,运算放大器数据表中未提及偏置电流补偿功能,也未提供简化的原理图。通过检查偏置电流规格很容易确定是否使用偏置电流补偿。如果偏置电流指定为“±”值,则运算放大器最有可能对偏置电流进行补偿。请注意,通过检查偏移电流规格(偏置电流的差异),可以轻松验证这一点。如果存在内部偏置电流补偿,则失调电流将与偏置电流具有相同的幅度。如果没有偏置电流补偿,偏置电流通常至少比偏置电流小 10 倍。请注意,无论偏置电流的确切大小如何,这些关系通常都成立。

如前所述,轨到轨输入级的偏置电流会随着共模电压通过过渡区而改变方向。除了简单地给出最大正/负值之外,这些器件的偏置电流和偏移电流特别难以指定。

3.4.4 消除偏置电流的影响(运算放大器外部)

当运算放大器的偏置电流匹配良好时(使用简单的双极输入级运算放大器,而不是内部偏置补偿运算放大器,如前所述),偏置补偿电阻器 R 3,(R 3 =R 1 || R 2 ) 在同相输入中引入电压降以匹配并因此补偿反相输入中R 1和R 2并联组合中的压降。这最大限度地减少了额外的失调电压误差,如图 3.16 所示。注意,如果 R 3大于 1kΩ 左右,应使用电容器旁路以防止噪声拾取。另请注意,这种形式的偏置消除在偏置电流不匹配的情况下是无用的,事实上,会使情况变得更糟。

图 3.16:消除应用中输入偏置电流的影响

3.4.5 测量输入失调和输入偏置电流

输入偏置电流(或输入失调电压)可以使用图 3.17 的测试电路进行测量。为了测量 I B,一个大电阻 R S与被测输入串联插入,产生一个等于 I B ×R S的明显附加失调电压。如果之前已经测量并记录了实际的V OS,则可以确定由于 R S的变化而导致的表观V OS的变化,然后很容易计算I B。这产生对于I值B +和余B- I的额定值乙是平均两个电流的,或我乙= (I B++ + I B- )/2。

典型的有用 R S值从双极运算放大器的 100kΩ 到某些 FET 输入器件的 1000MΩ 不等。

图 3.17:测量输入偏置电流

极低的输入偏置电流必须通过积分技术来测量。所讨论的偏置电流用于为电容器充电,并测量电压变化率。如果电容器和一般电路泄漏可以忽略不计(这对于低于 10 fA 的电流来说是非常困难的),可以直接从测试电路输出的变化率计算电流。下面的图 3.18 说明了一般概念。一个开关打开而另一个开关关闭,则测量I B+或 I B-。

图 3.18:测量非常低的偏置电流

应该注意的是,只有优质的低泄漏电容器电介质才能用于 C,例如 Teflon 或聚丙烯类型。

3.5 运算放大器总输出失调电压计算

3.5.1 计算由 IB 和 VOS 引起的总输出偏移误差

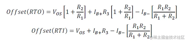
下面的图 3.19 中所示的公式可用于将偏置电流误差中的所有失调电压和感应失调电压引用到运算放大器的输入 (RTI) 或输出 (RTO)。RTI 或 RTO 的选择是一个偏好问题。

图 3.19:运算放大器总失调电压模型

从节点 A 到V OUT的增益与噪声增益相同:

从节点 B 到V OUT的增益为:

对于偏置电流消除:

如果

I B+ = I B- 

R_3=[(R_1 R_2)/(R_1+R_2)]

RTI 值可用于将累积运算放大器偏移误差与输入信号进行比较。如果运算放大器驱动附加电路,则 RTO 值更有用,可以将净误差与下一阶段的净误差进行比较。

在任何情况下,RTO 值都可以简单地通过将 RTI 值乘以级噪声增益来获得,即 1 + R 2 /R 1。

在离开偏移误差的话题之前,重复一些最小化的简单规则:

  • 保持输入/反馈电阻值尽可能低,以最大限度地减少由于偏置电流效应引起的失调电压。

  • 将偏置补偿电阻与未采用内部偏置补偿设计的 VFB 运算放大器一起使用。绕过这个电阻,以获得最低的噪声拾取。

  • 如果 VFB 运算放大器确实使用内部偏置电流补偿,则不要使用补偿电阻。

  • 必要时,使用外部偏移调整网络,以实现最低的感应漂移。

  • 选择一个适当的精密运算放大器,指定用于低失调和漂移,而不是微调。

  • 对于高性能、低漂移电路,请注意热电偶效应(当使用两种不同的金属进行电气连接时会发生)并使用平衡、低热误差的 PCB 布局。