2、运算放大器基础

690 阅读18分钟

第 2 章:介绍和章节目标

2.1 理想电压反馈运算放大器

运算放大器(op amp)是线性设计的基本构建块之一。在其基本形式中,它由两个输入端子组成,其中一个反转信号的相位,另一个保持相位,以及一个输出端子。运算放大器的标准符号如图 2.1 所示。这忽略了两个电源端子,这显然是操作所需的。运算放大器通常分为两种类型,一种使用正负电源,另一种只使用单个通常为正电源的电源。由于所有运算放大器只有两个电源引脚,因此通常没有必要进行这种区分。

图 2.1:标准运算放大器符号

名称“op amp”是运算放大器的标准缩写。这个名字来自放大器设计的早期,当时运算放大器用于模拟计算机。(是的,第一台计算机本质上是模拟的,而不是数字的)。当基本放大器与一些添加的外部组件一起使用时,可以执行各种数学“运算”,例如加法、减法、积分等。 模拟计算机的主要用途之一是在第二次世界大战期间,当时使用它们用于绘制弹道轨迹。

完成本章后,您应该能够:

  • 列出理想电压反馈运算放大器的特性
  • 绘制反相和非反相配置
  • 推导出反相和非反相配置的增益方程
  • 绘制反相求和放大器配置
  • 绘制运算放大器差分增益配置
  • 推导出仪表放大器配置的增益方程

2.2 理想电压反馈(VFB)模型

理想电压反馈运算放大器最基本的模型具有以下特点:

  1. 无限输入阻抗
  2. 无限带宽
  3. 无限电压增益
  4. 零输出阻抗
  5. 零功耗

当然,这些都不能真正实现。实际实现与这些理想的接近程度决定了运算放大器的质量。由于并非所有这些理想特性都可以同时最大化,因此许多实际运算放大器设计以一种或多种特性交换其他特性。这被称为电压反馈模型。这种类型的运算放大器几乎包括所有低于 10 MHz带宽的运算放大器,其中大约 90% 是具有更高带宽的运算放大器。另一种运算放大器架构是电流反馈,将在单独的章节中讨论。

图 2.2 总结了理想 VFB 运算放大器的属性。

图 2.2:理想电压反馈运算放大器的属性

2.3 基本操作

可以轻松总结理想运算放大器的基本操作。首先,我们假设有一部分输出反馈到反相端子以建立放大器的固定增益。这是负反馈。运算放大器输入端子上的任何差分电压都乘以放大器的开环增益,对于理想运算放大器而言,该增益是无穷大。如果反相 (-) 端子上的差分电压幅度比同相 (+) 端子上的更正,则输出将向负电源摆动。如果同相 (+) 端子上的差分电压幅度比反相 (-) 端子上的更正,则输出电压将向正电源摆动。放大器的无限开环增益以及外部负反馈将试图将差分输入电压强制为零。只要输入和输出保持在放大器的工作范围内,通常受正负电源电压的限制,它就会将差分输入电压保持为零,输出将是输入电压乘以确定的增益通过反馈网络。请注意,输出响应差模电压而不是共模输入电压。输出将是输入电压乘以由反馈网络确定的增益。请注意,输出响应差模电压而不是共模输入电压。输出将是输入电压乘以由反馈网络确定的增益。请注意,输出响应差模电压而不是共模输入电压。

2.4 反相和同相配置

将理想的电压反馈运算放大器配置为放大器有两种基本方法。如图 2.3 和图 2.4 所示。

图 2.3 显示了所谓的反相配置。在这个电路中,输出与输入的相位相差 180º。该电路的信号增益由所用电阻的比率决定,由下式给出:

图 2.3:反相模式运算放大器级

在图中,反相 (-) 输入端子称为求和结。由于运算放大器的输入具有无限阻抗,因此没有电流流入其中,因此 R G 中输入端的电流与 R F 中输出端的电流之和必须为零。如果我们假设将第二个电阻器 (R G2 ) 从第二个输入电压 ( V IN2 ) 连接到求和点,则 R F 中的电流将等于 R G和这个新的 R G2。

与往常一样,输入阻抗是输入信号的接地阻抗。的*-*输入处于相同的电压+输入其为地面。因此,我们可以将 - 输入视为所谓的虚拟接地。整个放大器的输入阻抗将简单地为 R G:

锌 = R_G

图 2.4 显示了所谓的同相配置。在这个电路中,输出与输入同相。电路的信号增益也由所用电阻的比率决定,由下式给出:

图 2.4:同相模式运算放大器级

请注意,由于输出驱动分压器(增益设置网络),当电路配置为最小增益为 1 (R G = ∞)时,反相端子上可用的最大电压是全输出电压。

与往常一样,输入阻抗是输入信号的接地阻抗。由于没有电流可以流入或流出 + 输入,因此输入阻抗是无穷大:

锌 = infty

另请注意,在反相和非反相配置中,反馈都是从输出到反相端子。这是负反馈,对设计师有很多好处。这些将被更详细地讨论。

还应该注意的是,增益基于电阻器的比率,而不是它们的实际值。这意味着设计人员可以在一定的实际限制内从广泛的值中进行选择。

但是,如果电阻值太低,则运算放大器输出需要大量电流才能正常工作。这会导致运算放大器本身的功耗过大,具有许多缺点。增加的耗散会导致集成电路的自热,这会导致运算放大器本身的直流特性发生变化。此外,产生的热量最终会导致结温升至 150º C 以上,这是大多数半导体普遍接受的最高限值。结温是硅芯片本身的温度。另一方面,如果电阻值过高,则会增加噪声和对寄生电容的敏感性,这会限制带宽并可能导致不稳定和振荡。

从实际意义上讲,低于 10 Ω 和高于 1 MegΩ 的电阻更难生产,尤其是在需要精密电阻时。

2.5 反相运算放大器增益推导

让我们更详细地看一下反相放大器的情况。参见图 2.5,同相端接地。我们假设一个双极(正极和负极)电源。由于运算放大器会将输入端的差分电压强制为零,因此反相输入也将显示为接地。事实上,这个节点通常被称为虚拟地面。

图 2.5:反相放大器增益

如果有电压V IN施加到输入电阻器,它将通过电阻器 R G设置电流 I 1,以便:

由于理想运算放大器的输入阻抗无穷大,因此没有电流流入反相输入端。因此,这个相同的电流 I 1必须流经反馈电阻器 R F (I 2 = I 1 )。由于放大器的无限开环增益将迫使反相端子和同相端子之间的差为零,因此输出将假定电压V OUT使得:

做一些简单的算术运算,我们可以得出以下结论:

2.6 同相运算放大器增益推导

图 2.6:同相放大器增益

现在我们更详细地检查非反相情况。参考图 2.6,输入电压施加到同相端。输出电压驱动一个由 R F和 R G组成的分压器。两个电阻连接点处的反相端子V A的电压等于:

运放的负反馈作用会迫使差分电压为0,所以:

应用一些简单的算术我们得到:

这就是我们在图 2.3 中指定的

在上述所有讨论中,我们将增益设置组件称为电阻器。事实上,它们是阻抗,而不仅仅是电阻。这使我们能够构建频率相关放大器,并将在后面的章节中进行更详细的介绍。

2.7 反相求和运算放大器级

通过向简单的反相运算放大器配置添加多个输入电阻器,可以将多个输入电压相加,如图 2.7 所示。

图 2.7:求和放大器

如果所有输入电阻 R 1 , R 2 , … R n都等于但不等于 R f ,那么从等式中我们可以看到它可以被简化,这样输出将等于输入的代数和乘以 a -R f /R 1 的共同增益因子。如果包括 R f在内的所有电阻都相等,那么输出将只是输入的负和。

2.8 差分运算放大器级

运算放大器差分增益级(也称为差分放大器或减法器)如图 2.7 所示。

图 2.8:差分放大器级(减法器)

成对的输入和反馈网络电阻设置该级的增益。这些电阻器 R F -R G和 R F '-R G ' 必须按上述方式匹配,才能正常工作。输入V 1和V 2的单独增益计算及其线性组合得出级增益。

请注意,该级旨在放大电压V 1和V 2的差值,因此净输入为V IN = V 1 - V 2。一般的增益表达式为:

对于理想的运算放大器和如上所述匹配的电阻比,该差分级从V IN到V OUT的增益为:

像这样的运算放大器级所允许的重要基本效用是抑制V 1 - V 2共有的电压的特性,即共模 (CM) 电压。例如,如果噪声电压出现在接地 G 1和 G 2 之间,噪声将被差分放大器的共模抑制 (CMR) 抑制。然而,CMR 仅在电阻比匹配允许的情况下才好,因此实际上,这意味着需要精确调整电阻比。

这个阶段的一个缺点是电阻网络加载V 1 - V 2源,如果驱动阻抗与 R G相比不低,则可能导致额外的误差。解决此问题的方法是在输入电阻之前插入单位增益(同相)跟随器级,如图 2.8.1 所示

图 2.8.1:缓冲差分放大器级

2.9 仪表放大器

仪表放大器是具有高输入阻抗和单端输出的高增益差分放大器。它们主要用于放大来自某些类型的传感器或传感器(例如电机控制系统中的应变计、热电偶或电流传感电阻器)的非常小的差分信号。它们还具有非常好的共模抑制(当V 1 = V 2时为零输出),直流时超过 100dB。具有高输入阻抗 (Zin) 的仪表放大器的典型示例如图 2.9 所示。如您所见,它与图 2.8.1 的配置非常相似,但两个输入缓冲器现在用作同相增益级。

图 2.9 高输入阻抗仪表放大器

顶部运算放大器的负反馈导致放大器 A 1负输入端的电压等于输入电压V 1。同样,A 2负输入端的电压等于V 2的值。这会在 R 1 上产生一个电压降,该电压降等于V 1和V 2之间的电压差。该压降导致电流流过 R 1,并且由于缓冲运算放大器的两个输入端不吸收电流,因此流过 R 1的相同数量的电流也必须流过两个电阻器 R 2. 这会在点V a和V b之间产生一个电压降,等于:

点V a和V b之间的电压降连接到差分放大器的输入端,差分放大器将其放大为 1(假设所有“R”电阻值相等)。然后我们有仪表放大器电路总电压增益的一般表达式为:

为了改变电路的微分增益,我们只需改变 R 1的值。仪表放大器也可以由两个运算放大器组成;如图 2.10 所示。

R 1 = R 4(匹配)
R 2 = R 3(匹配)
增益 = 1 + R 1 /R 2 

在单电源运算放大器的情况下,这假设 Vin- 和 Vin+ 以 Vcc/2 为参考。

图 2.10:使用两个运算放大器的仪表放大器

然而,这种拓扑结构并不理想,因为第一个运算放大器的工作增益低于单位增益,因此它可能不稳定。此外,从 Vin- 到输出的信号路径比从 Vin+ 到输出的信号路径具有更长的传播延迟。这可能导致放大器带宽限制下最高输出频率的精确差异小于精确差异。

部分总结

理想电压反馈运算放大器的基本模型具有以下特点:

  1. 无限输入阻抗
  2. 无限带宽
  3. 无限电压增益
  4. 零输出阻抗
  5. 零功耗

反相配置的增益方程由下式给出:

同相配置的增益方程由下式给出:

三运放仪表放大器配置的增益方程由下式给出:

2.10 整合与差异化

通过在运算放大器放大器电路的反馈回路中引入电抗而不是纯电阻,我们可以使输出响应输入电压随时间的变化。我们将要探索的两个电路的名称来自它们各自的微积分函数,积分器产生的电压输出与输入电压和时间的乘积(乘法)成正比;微分器(不要与我们刚刚介绍的差分放大器混淆)产生与输入电压变化率成正比的电压输出。

2.10.1 理想的反相积分器

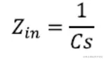
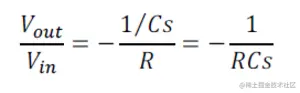
积分器是一种输出电压与其输入电压的时间积分成正比的电路。图 2.11 显示了理想运算放大器积分器的配置。该电路类似于图 2.3 中的反相放大器,不同之处在于电阻 R F被电容器代替。电压增益传递函数是从我们在 2.5 节中推导出的方程中获得的,通过用电容器 C 的复阻抗替换 R F得到:

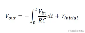
请记住,在复频域中除以 s 等效于时域中的积分,根据该等式,时域输出电压由下式给出:

图 2.11 反相积分器

因此,该电路具有增益常数为 1/RC 的反相积分器的传递函数。由于 RC 以秒为单位,因此称为积分器时间常数。电路的输入电阻为 R。输出电阻为零。

请注意,此配置也可以视为低通滤波器。它是一个在 DC 处具有单极点的滤波器(即,角频率 ? = 0 弧度)。

这个电路有几个潜在的问题。通常假设输入V in具有零直流分量(即具有零平均值)。否则,除非电容器定期放电,否则输出将漂移到运算放大器的工作范围之外。即使当V in没有偏移时,进入运算放大器输入的漏电流或偏置电流也会给V in添加意外的偏移电压,导致输出在一个或另一个方向上向电源轨漂移。平衡输入电流并用电阻为 R 的电阻器代替同相 (+) 对地短路可以降低此问题的严重性。

由于该电路不提供 DC 反馈(即,对于 ? = 0 的信号,电容器看起来像是开路),输出的偏移可能与预期不一致(即,V initial可能超出设计人员的控制范围)电路)。

通过添加一个与反馈电容器并联的大电阻 R F(例如大于 1 兆欧),可以使这些问题中的许多问题不那么严重。在非常高的频率下,该电阻的影响可以忽略不计。然而,在存在漂移和偏移问题的低频下,电阻器提供必要的直流反馈,以将输出稳定在正确的值。实际上,这个电阻降低了“积分器”的直流增益,它从无穷大变为某个有限值 R F /R。

为了说明该积分器电路的工作原理,我们用输入电阻 R = 2.5 KΩ 和反馈电容 C = 0.1µF 来模拟电路。图 2.12 中以绿色显示的输入电压V in是一个 -1 伏到 +1 伏的方波,周期为 1 毫秒(高电平为 500 微秒,低电平为 500 微秒)。积分器输出电压V out在图 2.12 中以蓝色显示。当输出电压为零时开始仿真,因此电容器两端的电压 C 也为零(V initial = 0)。正如我们所看到的,输出波形是一个三角波,其斜率由积分器时间常数 RC 和V in. 选择 RC 时间常数 (250 毫秒),以便在输入方波的 500 毫秒半周期中的每个半周期中,输出中给定 -1 至 +1 伏的输入V将上升和下降 2 伏。

图 2.12 理想积分器仿真

图 2.12 还绘制了运算放大器的负输入端子(V sumjnc红色波形)。它应该是 0 伏特。“恒定”+/- 1 伏特V in出现在输入电阻器两端,使“恒定”电流流入反馈电容器。我们得到电容器两端的线性变化电压,因为我们知道电容器上电压的时间变化率与电流成线性比例。

2.10.2 理想的微分器

微分器是一种输出电压与其输入电压的时间导数成正比的电路。图 2.13 显示了运算放大器微分器的配置。该电路类似于图 2.3 中的反相放大器,不同之处在于电阻器 R G被替换为电容器。因此,我们在第 2.5 节中推导出的增益方程可用于通过将 R G替换为电容器的复阻抗来求解微分器的电压增益传递函数。电压增益传递函数由下式给出:

再次记住,在复频域中乘以 s 等效于时域中的微分,根据上述等式,时域输出电压由下式给出:

图 2.13 反相微分器

因此,该电路具有增益常数为 RC 的反相微分器的传递函数。由于增益常数以秒为单位,故称为微分器时间常数。电路的输出电阻为零。输入阻抗传递函数是电容器 C 到虚拟地的传递函数,由下式给出:

当 s = jω 时,得出 |Zin| --> 0 随着 ω 变大。这是一个缺点,因为低输入阻抗会导致大电流流入输入电路。通常通过在输入电容器串联插入一些相对较小的电阻来修改此微分器。

请注意,此配置也可以视为高通滤波器。它是一个在 DC 处具有单个零的滤波器(即,角频率 ω = 0 弧度)。当电路用于模拟伺服回路(例如,在具有显着微分增益的 PID 控制器中)时,微分放大器的高通特性(即低频零)会导致稳定性挑战。特别是,根轨迹分析表明,增加反馈增益将驱动闭环极点在微分器引入的 DC 零处趋于边际稳定性。

为了说明该微分器电路的操作,我们使用反馈电阻器 R = 2.5 KΩ 和输入电容器 C = 0.1µF 来模拟电路。图 2.14 中以绿色显示的输入电压V in是一个 -1 伏到 +1 伏的三角波,周期为 1 毫秒(上升 500 微秒,下降 500 微秒)。微分器输出电压V out在图 2.14 中以蓝色显示。仿真在输入电压为零时开始,因此电容器两端的电压 C 也为零(V initial = 0)。正如我们所看到的,输出波形是一个方波,其幅度由微分器时间常数 RC 和V in的斜率(伏特/秒)决定. 选择 RC 时间常数 (250 毫秒),以便在输入方波的 500 毫秒半周期中的每个半周期中,输出中输入V的 -1 到 +1 伏斜坡将是 + 和 - 1 伏。

图 2.14 理想微分器仿真

图 2.14 中 还绘制了运算放大器的负输入端子(V sumjnc红色波形)。它应该是 0 伏特。V in的线性 +/- 1 伏斜坡出现在输入电容器两端。我们知道,电容器上电压的时间变化率与电流成线性比例,因此在反馈电阻中产生“恒定”电流,我们在输出上得到恒定电压。