产品经理应该具备哪些能力和素质

379 阅读8分钟

如何成为一个人见人爱的产品经理🌼

今天又看到了一个超级有意思的话题,简直让我忍不住乐开了花~

除了在第一时间 @张三 以外,也让我忍不住开始沉思:

身为一个产品经理,我要怎样才能不被干掉呢?

考虑到这是一个性命攸关的问题,所以我约出了我的PM小伙伴们,大家都是一条船上的浪子,遇到事儿还不得一起想办法!

在推杯换盏,酒过三巡之后,我们终于整理出了这本《产品经理的自我修养》

要如何成为一个人见人爱的产品经理,经我们的不完全统计,主要得做到以下三点。

且听我慢慢道来:

一、明确的需求

这第一点,绝对是设计和开发在面向产品经理时的共同呼唤!

在确定需求之前,我们要知道:明确的需求一定来源于对用户和市场强有力的洞察,要以解决实际问题为出发点来做决策,而非“他们”说要这样做。

且即便当真遇见了“他们说”这种情况,也要能够逆向追溯,想明白为什么他们要这么说。

在这里还是刀哥的分析思路靠谱:

我们要学会使用RTPA设计框架,这是一种逆向思维假设分析,它教会我们使用这样一种思考技巧:假设初始需求都是错误的,即问题并不存在,你需要重新发现问题。不要需求方一提需求,就开始着手设计,多问几个为什么并着手调查,以了解真正的问题。” --by PMCAFF:刀哥

举个简单的例子: 你天天在家任劳任怨的做饭,突然有一天,你对象说:“明天咱们出去吃吧!”这个时候,一个优秀产品经理的思路,绝不是反问她:“去哪吃?”,而是要开启自己的主观能动性,去探查:为什么明天要出去吃饭?为什么要出去吃饭?为什么是明天?

所以你看吧,要成为一个可爱的产品经理,不仅要听得进别人的意见,还得有分析问题的能力,和解决问题的办法。

听得进建议,拿得准主意。三思方举步,百折不回头!

但凡做好了这一点,你的需求就会相当稳定。而不轻易改动的需求,将为你带来这样的工作氛围:

二、详细的说明

要做到人见人爱,就一定要减少开发和设计在工作过程中和你的交流,尽量使用可视化的,可传输的表达方式,这就是传说中的:“话越少,爱越多。”

毕竟大家的声音都是这样的:

  • 某乎某可爱A:“最重要的是需求明确!必须准确定义(而不是模糊概念)需要做什么!”

  • 某乎某可爱B:“产品应该把细节都想清楚,类似于产品数据逻辑请不要等我发现if else不知道怎么写的时候提问时才想到。”

  • 某乎某可爱C:“能提交明确具体而简洁的文档,就算很小的一个改动,也要写清楚。”

  • 某乎某可爱D:“最好原型上也写上文字标明”

☝由此可见,详细的需求说明有多么重要。

而产出详细的说明主要应该注意这三点:

  1. 有结构的产品原型

  2. 逻辑清晰的流程图

  3. 完整到牛逼的PRD

好巧不巧,这三点,我们在还没喝高的时候就已经达成了共识:

详细的需求说明,一定要借助高效的产品工具来完成。

翻开秘籍第8页,上书:摹客RP!

再往下看:快捷高效,不要钱!

接着看:👇👇👇

1、支持绘制结构式原型

相比于一些重设计的工具来说,摹客RP其实是一款更加注重产品页面结构、产品功能逻辑的工具。在需求确定,功能模块细分后,再以此为基础去搭建我们的原型框架,这样产出的原型才能够在最大程度上降低反复修改的频率。

(而又有什么,是比不改需求、不改页面更招人喜爱的呢?)

2、高效的原型绘制方式

如果说结构化的原型是为了让产品功能逻辑更清晰,那摹客RP自带的交互效果预设组件、海量图标、高自由度的编辑方式等功能,都能够帮助各位产品经理快速地产出细节满满的高保真设计稿。

这种轻装设计,快速交互的原型制作方式,还有更多值得尝试的操作玩法,都该亲自去试试:www.mockplus.cn/rp

上图模板来源于:www.mockplus.cn/example/rp/…,点击马上试用!

3、可一键开启流程图模式

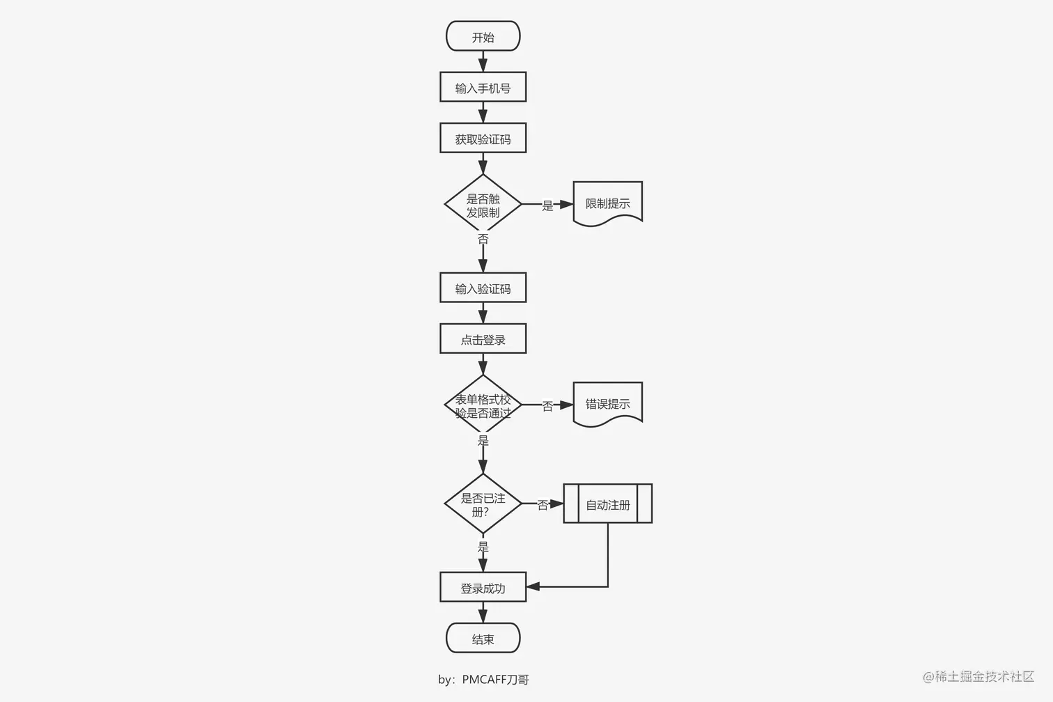
当我们走到这一步的时候,就应该对每一个功能进行更细致的业务流程梳理。例如用户完成输入并提交时,后端应该做什么校验。不同输入该怎么处理,不同输入会产生什么结果,不同结果该返回什么值,该展示什么页面。

而这一切,都最好通过业务流程图+文字来描述,以确保逻辑完整。而通常我们的流程图可能是这样:

但在摹客RP的原型设计中,专门提供了“流程图”模式。不仅可以绘制如上的业务流程图,还可以针对我们的页面本身来进行逻辑连线和文本备注。

且只需要点击上方工具栏最左侧的图标,就能开启流程图模式,避免页面新建,内容扩张,非常轻便!

4、可同步PRD文档

说到PRD文档,这才是个大头。要知道我们平常在写PRD文档时,一般都是将RP设计稿和流程图导出成图片后再放入文档中。所以哪怕设计稿里有一些小改动,也需要将图片重新导出后,再更新到PRD文档中去。

这种方式将直接导致队友们文档量的激增,能招人喜欢才怪了!但你若使用摹客的PRD文档功能,就可以省去这麻烦的修改步骤了。因为文档中的RP设计稿和流程图都可以实现自动更新,还支持在线评审,很香的呢!

5、永久免费

如果说上面的文档同步功能很香,那这一点绝对是让我们摸着良心推荐摹客RP的首要原因。因为它的免费:不限功能、不限页面、不限时长!

所以选它根本没毛病啊,毕竟咱们做产品的出来混江湖,只讲究一个规矩:你不收我钱,你就是我大哥!而且用摹客RP画原型,一个月能省下四五十的会员费,让咱们都可以挺直腰杆手头阔绰地叫服务员加酒了!

三、优雅的气质

请注意,“气质”这一点,真的不是我在皮,而是刚需!刚需!!

尤其是我听说,在开发界,流传着这样一句话:

那气质从何而来?绝对不是大金链子小金表,而是咱们产品人身上独有的智慧气场:

1、同理心

同理心能够帮助我们更好地理解他人,不仅是理解用户,也是理解队友。只有了解他们,认同他们,才能更好地连接你和队友,合理排期,制定计划,做出满足用户需求的产品。

2、沟通力

在很多时候,大部分团队中的队友都不明白我们为什么要做这个需求,做了有什么好处。这个时候就需要咱们来画大饼讲故事了,咱们不仅要告诉队友需要“做什么”,还需要告诉他们“为什么这么做”,让他们知道这样做的意义。

3、责任心

此处所说的责任感,并非指对自己的事情负责(因为这是最基础的职业素养),而是指能够看到别人看不到的问题,并将其着手解决,还要能够拒绝老板和业务提出的不合理需求,为团队以及项目铺平前进的道路。

4、讲规矩

一个人见人爱的产品经理,格局一定要大。不仅要有对产品的敏锐直觉,还要具备人文关怀的品质和社会责任感的意识。

就像我们大家都熟知的dd打车,尽管我们不能否认它改变了我们出行的传统方式,但在产品的发展过程中,它从“杀熟”开始,无底线压制司机和用户的利益,再爆出信息泄露的问题,使得一款有价值的产品逐步走向口碑的崩盘。

所以要做一个人见人爱的产品经理,一定要讲规矩,要有所畏。产品秘籍上有说:畏则不敢肆而德以成,无畏则从其所欲而及于祸!

最后,也是最重要的一点。一个没事群里发红包,平时一起开玩笑,吃东西,分享五福,浇浇水的人,管他是开发是设计还是产品,谁又会不喜欢呢~

看到最后,想问问大家还能记得多少?

忘完了?摹客RP别忘了!