本科生学深度学习-史上最容易懂的RNN文章,小白也能看得懂

612 阅读6分钟

最近写了一些基础的东西,总是理解性的,没有看到实例,今天就讲一个基础的网络结构RNN,然后写个实例,体验下深度神经网络的牛逼,这次学习下rnn神经网络,虽然看起来好高深,不过不用慌,没有理论,全是大白话,大家都可以懂的。

注:阅读的时候希望先看下目录,知道我在说什么,也可以快速的阅读到自己想get的点,这样阅读能更快的理解。

1、rnn是什么

RNN 是循环神经网络的简称,他的英语是 Rerrent Neural Network = RNN,从命名中可以看到核心点是循环的神经网络,所以我们要理解循环的是什么?为什么要循环。这个会慢慢解释。不用着急。

RNN对具有序列特性的数据非常有效,它能挖掘数据中的时序信息以及语义信息,用人话解释就是RNN具有语境信息,可以理解上下文,在你进行分析的时候可以对全局进行考虑,可以用来挖掘数据之间的关系。

举个例子:我不喜欢美女,对文字进行拆分,我,不,喜欢,美女,在普通的全连接的神经网络中会每个词是鼓励的,没有关系的,通过大量的函数去拟合数据,这个时候机器可能理解的就是喜欢美女,没有考虑到前面的“不”带来的语境信息。

RNN 可以解决这个问题,RNN 会记录整个句子出现的信息,然后进行综合评判,最后才得出结论。

总结下:RNN神经网络善于发现数据之间的关系。

2、原理说明

2.1 rnn 和全连接神经网略的区别 普通的全连接的神经网络像下面这样,每个属性是独立的,然后通过大量的函数参数进行拟合,然后进行处理,得出自己的结论,就像上篇入门的时候对函数的拟合,可以看出每个数据之间并没有什么关联

image.png

再看看我们今天说的RNN,循环的神经网络,注:这张图来自百度,我为什么要展示这张图呐?虽然我想用最直白的话给描述RNN,但是以后你可能会查阅资料,会频繁的看到这张图,所以我贴进来,以免下次遇到的时候没办法理解,因为这个图理解起来还是不那么好理解,当然如果你理解了RNN可能会明白。但是对于入门的我们来说还是有点费劲的。

image.png

2.2 RNN 简单图解释 左边的部分是没展开的RNN的见图,到这里可以看到循环神经网络的循环在哪里了

x是一个向量,它表示输入层的值

U是输入层到隐藏层的权重矩阵

s是一个向量,它表示隐藏层的值

V是隐藏层到输出层的权重矩阵。

o也是一个向量,它表示输出层的值

用函数表示 :

image.png

用代码简单的理解下

def getHidenS(x,w,prevS):
        return x * u + prevS*w
def getOutput(s):
        return s * v

2.3 RNN展开图解释

右边的图看起来很简单,但是下面的 x 增加了时间序列,这里的x 表示时间上的输入单词,举个例子:

比如:我爱中国,这个词序列,t-1 就是我 这个词的向量表示,爱 就是 t 这个词的向量表示,t+1 就是中国这个词的向量表示

o就是在输入每个单词时神经网络的输出,也就是说每次输入一个词向量的时候都会有一个输出,最后得出结论可以使用其中一个,或者综合考虑都可以,根据自己的需求

2.4 RNN的一些点 公用参数:RNN的时间序列公用参数,也就是说整个RNN公用一组参数,不同的时间点的输入的时候,神经网络的权重参数都是一组。也就是说只有一组W参数。

具有记忆功能:记忆功能的实现是基于隐藏层的输出值实现的。因为隐藏层会将上一次的信息进行保存

3、rnn的伪代码表示 对”我爱中国“进行编码,我= 1 爱 = 2 中国=3

输入 x = [1,2,3]

w = 1 # 权重矩阵 u = 1 # 输入层到隐藏层的矩阵 v = 2 # 隐藏层到输出层的矩阵 prevS = 1 # 隐藏层的输出值

def getHidenS(x, w, prevS):
   return x * u + prevS * w
 
def getOutput(s,v):
   return s * v
 
sentance = [1,2,3]
for x in sentance:
   prevS = getHidenS(x,u,prevS)
   o = getOutput(prevS,v)
   print('隐藏层的值:'+ str(prevS))
   print('输出层的值 :'+str(o))
   print('----------------------')

prevS 保存了之前的记忆,每一次的输出都可以用来判断

image.png

4、来个小例子

import torch
from torch import nn
import numpy as np
import matplotlib.pyplot as plt
 
# https://www.cnblogs.com/lokvahkoor/p/12263953.html
# torch.manual_seed(1)    # reproducible
 
# 超参数定义
TIME_STEP = 10  # rnn time step
INPUT_SIZE = 1  # rnn input size
LR = 0.02  # 学习率
HIDDEN_SIZE = 32# 隐藏层神经元个数
EPOCH = 100
 
# 横向坐标,产出100个float点
steps = np.linspace(0, np.pi * 2, 100, dtype=np.float32)  # float32 for converting torch FloatTensor
x_np = np.sin(steps)
y_np = np.cos(steps)
# 输入的参数是sin的序列,输出是余弦序列
plt.plot(steps, y_np, 'r-', label='target (cos)')
plt.plot(steps, x_np, 'b-', label='input (sin)')
plt.legend(loc='best')
plt.show()
 
input("请回车:")
 
class RNN(nn.Module):
    def __init__(self):
        super(RNN, self).__init__()
 
        self.rnn = nn.RNN(
            input_size=INPUT_SIZE,
            hidden_size=HIDDEN_SIZE,  # 隐藏神经元的数量
            num_layers=1,  # 一层rnn
            batch_first=True,  # input & output will has batch size as 1s dimension. e.g. (batch, time_step, input_size)
        )
        self.out = nn.Linear(HIDDEN_SIZE, 1)
 
    def forward(self, x, h_state):
        # x = (batch, time_step, input_size)
        # h_state = (n_layers, batch, hidden_size)
        # r_out = (batch, time_step, hidden_size)
 
        out, h_state = self.rnn(x, h_state)
 
        out = out.view(-1, HIDDEN_SIZE) #(10,32)
        out = self.out(out) #(10,1)
        out = out.unsqueeze(dim=0) # (1,10,1) -> (n_layers, batch, hidden_size)
        return out, h_state
 
 
rnn = RNN()
print(rnn)
optimizer = torch.optim.Adam(rnn.parameters(), lr=LR)  # 优化器
loss_func = nn.MSELoss()  # 损失函数
 
h_state = None  # 隐藏层的输出值
 
plt.figure(1, figsize=(12, 5))
plt.ion()  # continuously plot
 
for step in range(EPOCH):
    # 每次生成新的数据,整体的趋势是拟合成cos函数曲线
    start, end = step * np.pi, (step + 1) * np.pi  # time range
    # use sin predicts cos
    steps = np.linspace(start, end, TIME_STEP, dtype=np.float32,
                        endpoint=False)  # float32 for converting torch FloatTensor
    x_np = np.sin(steps)
    y_np = np.cos(steps)
    # np.newaxis的功能:插入新维度,(1,10,1)
    # shape (batch, time_step, input_size)
    # 表示每一批送进去一个
    x = torch.from_numpy(x_np[np.newaxis, :, np.newaxis])
    y = torch.from_numpy(y_np[np.newaxis, :, np.newaxis])
 
    prediction, h_state = rnn(x, h_state)  # 计算输出
    # 将上一步的隐藏层的结果进行保存,在下次输入
    h_state = h_state.data  # repack the hidden state, break the connection from last iteration
 
    loss = loss_func(prediction, y)  # 计算误差
    optimizer.zero_grad()  # 清除之前的梯度
    loss.backward()  # 反向传播
    optimizer.step()  # 优化参数
 
    # 开始画图
    plt.plot(steps, y_np.flatten(), 'r-')
    plt.plot(steps, prediction.data.numpy().flatten(), 'b-')
    plt.draw()
    plt.pause(0.05)
 
plt.ioff()
plt.show()

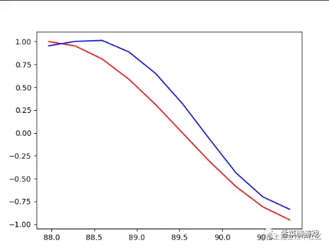
看一下最后的拟合结果:

image.png

5、rnn存在的问题

对于梯度消失: 由于它们都有特殊的方式存储”记忆”,那么以前梯度比较大的”记忆”不会像简单的RNN一样马上被抹除,因此可以一定程度上克服梯度消失问题。

对于梯度爆炸:用来克服梯度爆炸的问题就是gradient clipping,也就是当你计算的梯度超过阈值c或者小于阈值-c的时候,便把此时的梯度设置成c或-c。

6、总结

RNN的关键点是记忆功能,也就是保存了语境信息,但是也存在一些问题,后面我们会分析怎么解决这个问题。

原创不容易,求点赞支持,为爱发电。

推荐阅读 点击标题可跳转

1、再不入坑就晚了,从零学pytorch,一步一步环境搭建

2、再不入坑就晚了,深度神经网络概念大整理,最简单的神经网络是什么样子?

3、深度学习基础之三分钟轻松搞明白tensor到底是个啥