求最小高度树的根节点

470 阅读2分钟

树是一个无向图,其中任何两个顶点只通过一条路径连接。 换句话说,一个任何没有简单环路的连通图都是一棵树。

给你一棵包含 n 个节点的树,标记为 0 到 n - 1 。给定数字 n 和一个有 n - 1 条无向边的 edges 列表(每一个边都是一对标签),其中 edges[i] = [ai, bi] 表示树中节点 ai 和 bi 之间存在一条无向边。

可选择树中任何一个节点作为根。当选择节点 x 作为根节点时,设结果树的高度为 h 。在所有可能的树中,具有最小高度的树(即,min(h))被称为 最小高度树 。

请你找到所有的 最小高度树 并按 任意顺序 返回它们的根节点标签列表。

树的 高度 是指根节点和叶子节点之间最长向下路径上边的数量。  

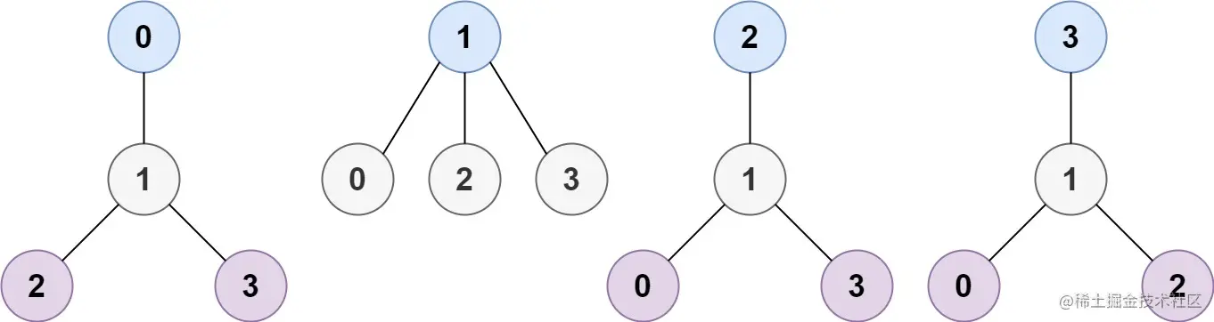
示例 1:

image.png

输入:n = 4, edges = [[1,0],[1,2],[1,3]]
输出:[1]
解释:如图所示,当根是标签为 1 的节点时,树的高度是 1 ,这是唯一的最小高度树。

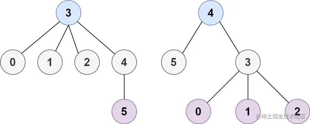
示例 2:

image.png

输入:n = 6, edges = [[3,0],[3,1],[3,2],[3,4],[5,4]]
输出:[3,4]

示例 3:

输入:n = 1, edges = []
输出:[0]

示例 4:

输入:n = 2, edges = [[0,1]]
输出:[0,1]

提示:

  • 1 <= n <= 2 * 104
  • edges.length == n - 1
  • 0 <= ai, bi < n
  • ai != bi
  • 所有 (ai, bi) 互不相同
  • 给定的输入 保证 是一棵树,并且 不会有重复的边

解题思路:

3种情况
1. n=11个点,没有边,即最小高度树点跟节点为0
2. n=22个点,最小高度树为以01为节点的数,故最小高度数的跟节点为[0,1]
3. n>2 
   1. 把每个点可以连接的边的点数取出来,放在obj里,如下所示:
   `{"0":{"1":1},"1":{"0":1,"2":1,"3":1},"2":{"1":1},"3":{"1":1}}`
   2.获取所有点里大于1条边的点数,放在数组res里面

js:

getRootsNode();

function getRootsNode() {
    // let n = 6;
    // let edges = [[3, 0], [3, 1], [3, 2], [3, 4], [5, 4]];
    let n = 4;
    let edges = [[1,0],[1,2],[1,3]];
    // let n = 1;
    // let edges = [];
    // let n = 2;
    // let edges = [[0, 1]];

    if (n == 1) {
        return [0];
    } else if (n == 2) {
        return edges[0];
    }

    let obj = {};
    //根据每个节点获取边
    for (var i = 0; i < edges.length; i++) {
        let edge = edges[i];
        for (var j = 0; j < 2; j++) {
            let node = edge[j];
            if (!obj.hasOwnProperty(node)) {
                obj[node] = {};
            }

            let nextNode = edge.filter(item => {
                return node != item;
            })
            obj[node][nextNode] = 1;
        }
    }
    // console.log('obj:', obj);

    let res = [];
    //4-5 == 5-4 保留1项

    for (var key in obj) {
        let arr = Object.keys(obj[key]);
        if (arr.length > 1) {
            res.push(Number(key));
        }
    }

    return res;

}

以上是我的解题思路,如思路有问题,烦请留言说明,谢谢!