编译器前端之如何实现基于DFA的词法分析器

1,146 阅读4分钟

前言

文章来自博客,查看最新文章,请点击查看博客,欢迎大家关注与讨论

一、什么是编译器前端

让机器理解代码并生成可执行文件,这是一件很困难的事情,所以编译器是一个非常浩大的工程,它内部工作过程十分复杂。

不过计算机科学中有句名言,任何一个问题都可以通过增加一个中间层/抽象层来解决,这也是最常用的计算机分层思想。

All problems in computer science can be solved by another level of indirection. —— David John Wheeler

所以为了降低编译器工程的复杂性,提高发展效率,一般把编译器分为两个完全解耦的两个部分

  • 编译器前端 :只负责理解代码,不考虑各种CPU指令不兼容等问题
  • 编译器后端 :只负责生成可执行文件,不考虑各种语言特性

为了让两个部分可以连接在一起工作,所以必然存在一个部分的输出是另一部分的输入,很明显,编译器前端的输出,就是编译器后端的输入。

这样,两个部分只需要约定好数据格式,就可以大幅度提高编译器的发展效率,编译器整个工作流程也变得非常简单清晰了,如下图所示,如果对图中的编译器前端不理解没关系,接下来的 第二节《编译器前端的原理》 会对这部分进行讲解

image

结论 :所以编译器前端就是编译器中的前端部分,负责理解代码并生成中间语言

二、编译器前端的原理

既然编译器前端的工作是理解代码,那么它的原理是什么呢,首先看下面一段简单的C语言代码

int age = 18;

从人类阅读代码的角度来看,我们是如何理解上述代码的呢

1、局部理解

  1. 看到 int 关键字
  2. 看到 age 标识符
  3. 看到 = 赋值符号
  4. 看到 18 字面量数值
  5. 看到 ; 结束符

局部理解的过程,就是词法分析的过程

2、全局理解

通过联系孤立的、局部的理解结果,可得到一个整体 int age = 18 ;,对其在脑海中进行全局理解后,发现它符合C语言的整型赋值语法

整型赋值语法 -> 关键字 标识符 赋值符号 字面量
关键字 -> int | long
标识符 -> [a-zA-Z_]+[a-zA-Z+_*0-9]*
字面量 ->[0-9]+

所以通过全局理解,最终可知道上面代码是一个整型的赋值语句

全局理解的过程,就是语法分析的过程

3、总结

结合人类理解代码的过程,编译器前端主要可以分为局部理解和全局理解两个步骤,其中

  • 局部理解会生成一个一个的理解结果,称为Token
  • 全局理解会把孤立的token联系成为一个整体,进行语法规则匹配,如果符合语法则理解成功,否则理解失败

三、词法分析器的介绍

词法分析器就是在做对字符序列的局部理解,每完成一次局部理解,就生成一个Token。常见的Token包括操作符、符号、空白符、关键字、标识符、数字、浮点数、字符串、字符等。

所以词法分析器的工作内容也比较简单,只要能把输入的字符序列,生成一个有序的token列表即可。

四、词法分析器的原理

1、直接扫描法

直接扫描法的思路类似二重循环的暴力法,每一轮的扫描都是如下过程

  • 先第一层的扫描,根据第一个字符判断属于哪种类型的token
  • 进入第二层的扫描,向后依次读取,直到读出一个完整的token为止,跳出第二层循环
  • 继续开始第一层的扫描

(1) 伪代码

let end = s.length-1;
for(let i=0; i<=end; i=n){
    let tokenType = justTokenType(s[i]);
    switch(tokenType){
        case "string":
            let queue = [];
            for(let j = i; j<=end-1; ++j){
                if(!match){
                    break;
                }
                queue.push(s[j]);
            }
            let token = queue.join('');
            tokens.push(token);
            n=j+1;
            break;
    }
}

(2) 缺点

  • 逻辑非常复杂
  • 可能存在回溯情况,可能需要记忆已匹配的前N个字符,效率低
  • 大量IF判断,可维护性差,扩展性差

2、DFA法

DFA即deterministic finite automaton有限状态自动机,其特点是可以实现状态的自动转移,可以用于解决字符匹配问题

(1) 核心构成

DFA的核心构成要素是状态和状态的转移

  • 定义自动机所具备的N种状态,并定义初始状态
  • 定义上一个状态转移至下一个状态的条件

(2) 应用实践

如何用DFA实现词法分析器呢,步骤如下

  • 先定义不同的状态 :如操作符状态、数字状态、符号状态等
  • 再定义状态转移条件 :如当前状态是初始状态,遇到数字则转移至数字状态,遇到符号则转移至符号状态
  • 如果字符读取完成,则整个转移过程结束

(3) 伪代码

let state = 0; // 当前状态, 也是初始状态
while ((ch = nextChar()) !== false) {
    let match = false;

    // 获取下一个状态, 如果下一个状态不是初始状态, 则说明匹配成功
    let nextState = getNextState(ch, state);
    if (nextState) {
        match = true;
    }

    // 如果匹配成功, 则字符读取序列的下标+1,并转移至下一个状态
    if (match) {
        incrSeq();
        flowtoNextState(ch, nextState);
    } else {
        // 不匹配则生成token,并转移至初始状态,开始重新匹配
        produceToken();
        flowtoResetState();
    }
}

(4) 优点

  • 逻辑清晰简单
  • 可维护性高,可扩展能力高
  • 时间复杂度为O(N),效率高

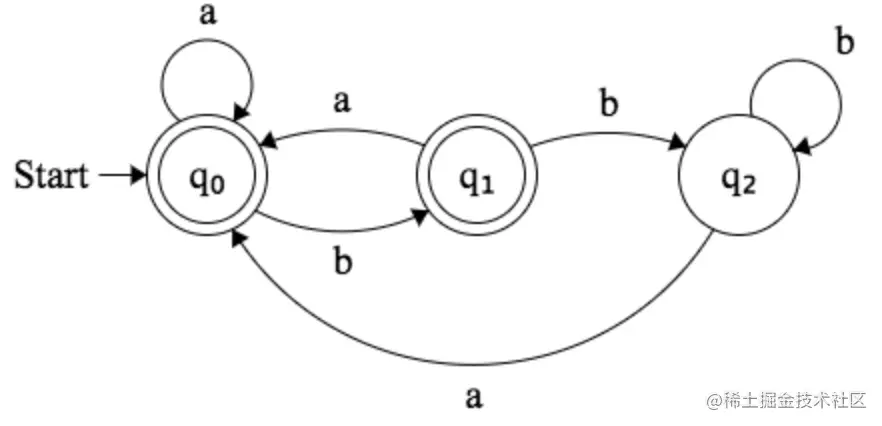
(5) 一些例子

1) 匹配字符串

image.png

2) 匹配浮点数

image.png

3) 匹配字符

image.png

4) 匹配运算符

image.png

五、词法分析器的实现

词法分析器的详细实现及源码讲解,参见lexer项目

六、结束语

本文已结束,感谢阅读,点击查看原文

下期请关注文章《编译器前端之如何实现一个基于LL(1)的语法分析器》