LeetCode 1305. 两棵二叉搜索树中的所有元素

177 阅读1分钟

题目

给你 root1 和 root2 这两棵二叉搜索树。

请你返回一个列表,其中包含 两棵树 中的所有整数并按 升序 排序。.

 

image.png

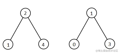
示例 1:

输入:root1 = [2,1,4], root2 = [1,0,3]
输出:[0,1,1,2,3,4]
示例 2:

输入:root1 = [0,-10,10], root2 = [5,1,7,0,2]
输出:[-10,0,0,1,2,5,7,10]
示例 3:

输入:root1 = [], root2 = [5,1,7,0,2]
输出:[0,1,2,5,7]
示例 4:

输入:root1 = [0,-10,10], root2 = []
输出:[-10,0,10]

image.png

示例 5:



输入:root1 = [1,null,8], root2 = [8,1]
输出:[1,1,8,8]

提示:

每棵树最多有 5000 个节点。 每个节点的值在 [-10^5, 10^5] 之间。

解题思路

# Definition for a binary tree node.
class TreeNode:
    def __init__(self, val=0, left=None, right=None):
            self.val = val
            self.left = left
            self.right = right

class Solution:
    def getAllElements(self, root1: TreeNode, root2: TreeNode) -> List[int]:
        resList = []
        ## 普通二叉树遍历再排序
        def dfs(root:TreeNode):
            if root == None:
                return
            resList.append(root.val)
            if root.left:
                dfs(root.left)
            if root.right:
                dfs(root.right)
        dfs(root1)
        dfs(root2)
        resList.sort()
        return resList

if __name__ == '__main__':
    root1 = TreeNode(1)
    root1.left = TreeNode(2)
    root1.right = TreeNode(3)
    root2 = TreeNode(3)
    root2.left = TreeNode(4)
    root2.right = TreeNode(5)
    result = Solution().getAllElements(root1, root2)
    print(result)