【背包问题の第三讲】从「最多不超过」到「恰好」,换个角度来理解背包问题

1,180 阅读7分钟

前言

今天是我们讲解动态规划专题中的「背包问题」的第三天。

在众多背包问题中「01 背包问题」是最为核心的,因此我建议你先精读过 背包问题 第一讲 之后再阅读本文。

另外,我在文章结尾处列举了我所整理的关于背包问题的相关题目。

背包问题我会按照编排好的顺序进行讲解(每 2~3 天更新一篇,确保大家消化)。

你也先可以尝试做做,也欢迎你向我留言补充,你觉得与背包相关的 DP 类型题目 ~

题目描述

这是 LeetCode 上的416. 分割等和子集,难度为 Medium

给定一个只包含正整数的非空数组。是否可以将这个数组分割成两个子集,使得两个子集的元素和相等。

注意:

  • 每个数组中的元素不会超过 100
  • 数组的大小不会超过 200

示例 1:

输入: [1, 5, 11, 5]

输出: true

解释: 数组可以分割成 [1, 5, 5][11].

示例 2:

输入: [1, 2, 3, 5]

输出: false

解释: 数组不能分割成两个元素和相等的子集.

基本分析

基本的「将原问题抽象为 01 背包问题」的分析在 上一讲 讲过啦 ~

本节要解决的问题是:如何将「间接求解」的方式转为「直接求解」,并学习为什么能这么做,此类做法是否有共性 ...

直接求解

我们先来回顾一下 上一节 使用的「状态定义」和「转移方程」。

状态定义:

f[i][j]f[i][j] 代表考虑前 ii 个数值,其选择数字总和不超过 jj 的最大价值。

转移方程:

但题目并不是问我们「最大价值是多少」,而是问「是否能凑出最大价值」。

因此我们可以对 01 背包的状态定义进行修改,使其直接与我们答案相关联:

f[i][j]f[i][j] 代表考虑前 ii 个数值,其选择数字总和是否恰好为 jj

此时 dpdp 数组中存储的是「布尔类型」的动规值。

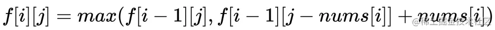
相应的状态转移方程调整为:

代表逻辑「或」的意思。

新转移方程代表的意思为:想要 f[i][j]f[i][j] (考虑前 ii 个数值,选择的数字总和恰好为 jj ) 为真。需要满足以下两种方案,至少一种为 truetrue

1. f[i1][j]f[i-1][j] (不选第 ii 件物品,选择的数字总和恰好为 jj ) 为 truetrue

2. f[i1][jnums[i]]f[i-1][j-nums[i]] (选第 ii 件物品,选择的数字总和恰好为 jj ) 为 truetrue

至此,我们利用 01 背包的基本思想,修改了「状态定义」,使其与答案直接相关联,然后根据新的「状态定义」调整了我们的「转移方程」。

但还没结束。

当我们与某个模型的「状态定义」进行了修改之后,除了考虑调整「转移方程」以外,还需要考虑修改「初始化」状态。

试考虑,我们创建的 dpdp 数组存储的是布尔类型,初始值都是 falsefalse,这意味着无论我们怎么转移下去,都不可能产生一个 truetrue,最终所有的状态都仍然是 falsefalse

换句话说,我们还需要一个有效值 truetrue 来帮助整个过程能递推下去。

通常我们使用「首行」来初始化「有效值」。

对于本题,显然我们可以通过「先处理第一个物品」来得到「有效值」,即令 f[0][nums[0]]=truef[0][nums[0]] = true

f[0][nums[0]]=truef[0][nums[0]] = true 代表只有容量为 nums[0]nums[0] 的背包才符合「恰好」的要求。

但我们无法确保 nums[0]nums[0] 不会超过我们的「最大背包」容量(也就是第一个物品过大,永远无法装入背包的情况)。

因此我们要通过处理下一行来得到有效值?或是先给物品排个序?

事实上,这里有一个技巧,就是我们增加一个「不考虑任何物品」的情况讨论。

之前我们的状态定义是 f[i][j]f[i][j] 代表考虑下标为 ii 之前的所有物品。现在我们可以加入不考虑任何物品的情况,也就是将「物品编号」从 0 开始调整为从 1 开始

举个🌰,原本我们的 f[0][x]f[0][x] 代表只考虑第一件物品、f[1][x]f[1][x] 代表考虑第一件和第二件物品;调整后我们的 f[0][x]f[0][x] 代表不考虑任何物品、f[1][x]f[1][x] 代表只考虑第一件物品 ...

这种技巧本质上还是利用了「哨兵」的思想。

有了以上的分析思路,和 上一讲 的代码基础之后,我们可以很容易写出代码。

虽然更换了状态定义和转移方程,但仍然有「常规解法」、「滚动数组优化」「一维空间优化」几种实现方法。我们快速过一下。

常规解法

class Solution {
    public boolean canPartition(int[] nums) {
        int n = nums.length;

        //「等和子集」的和必然是总和的一半
        int sum = 0;
        for (int i : nums) sum += i;
        int target = sum / 2;

        // 对应了总和为奇数的情况,注定不能被分为两个「等和子集」
        if (target * 2 != sum) return false;

        // f[i][j] 代表考虑前 i 件物品,能否凑出价值「恰好」为 j 的方案
        boolean[][] f = new boolean[n+1][target+1];
        f[0][0] = true;
        for (int i = 1; i <= n; i++) {
            int t = nums[i-1];
            for (int j = 0; j <= target; j++) {
                // 不选该物品
                boolean no = f[i-1][j];
                // 选该物品
                boolean yes = j >= t ? f[i-1][j-t] : false;
                f[i][j] = no | yes;
            }
        }
        return f[n][target];
    }
}
  • 时间复杂度:targettarget 为数组总和的一半,nn 数组元素个数。为共有 ntargetn * target 个状态需要被转移,复杂度为 O(ntarget)O(n * target)
  • 空间复杂度:O(ntarget)O(n * target)

滚动数组

class Solution {
    public boolean canPartition(int[] nums) {
        int n = nums.length;

        //「等和子集」的和必然是总和的一半
        int sum = 0;
        for (int i : nums) sum += i;
        int target = sum / 2;

        // 对应了总和为奇数的情况,注定不能被分为两个「等和子集」
        if (target * 2 != sum) return false;

        // f[i][j] 代表考虑前 i 件物品,能否凑出价值「恰好」为 j 的方案
        // 修改「物品维度」为 2
        boolean[][] f = new boolean[2][target+1];
        f[0][0] = true;
        for (int i = 1; i <= n; i++) {
            int t = nums[i-1];
            for (int j = 0; j <= target; j++) {
                // 不选该物品
                boolean no = f[(i-1)&1][j];
                // 选该物品
                boolean yes = j >= t ? f[(i-1)&1][j-t] : false;
                f[i&1][j] = no | yes;
            }
        }
        return f[n&1][target];
    }
}
  • 时间复杂度:targettarget 为数组总和的一半,nn 数组元素个数。为共有 ntargetn * target 个状态需要被转移,复杂度为 O(ntarget)O(n * target)
  • 空间复杂度:O(target)O(target)

一维空间优化

class Solution {
    public boolean canPartition(int[] nums) {
        int n = nums.length;

        //「等和子集」的和必然是总和的一半
        int sum = 0;
        for (int i : nums) sum += i;
        int target = sum / 2;

        // 对应了总和为奇数的情况,注定不能被分为两个「等和子集」
        if (target * 2 != sum) return false;

        // 取消「物品维度」
        boolean[] f = new boolean[target+1];
        f[0] = true;
        for (int i = 1; i <= n; i++) {
            int t = nums[i-1];
            for (int j = target; j >= 0; j--) {
                // 不选该物品
                boolean no = f[j];
                // 选该物品
                boolean yes = j >= t ? f[j-t] : false;
                f[j] = no | yes;
            }
        }
        return f[target];
    }
}
  • 时间复杂度:targettarget 为数组总和的一半,nn 数组元素个数。为共有 ntargetn * target 个状态需要被转移,复杂度为 O(ntarget)O(n * target)
  • 空间复杂度:O(target)O(target)

总结

今天我们又做了一遍「416. 分割等和子集」,但却是以另外一个角度进行求解:

通过修改 01 背包的「状态定义」和「转移方程」实现「直接求解」。

但这样的做法属于特题特解吗?

其实不属于。反而这是「背包问题」中一个可推广的性质:

我们可以通过将一个背包问题的「状态定义」从最多不超过 XX 容量修改为背包容量恰好为 XX,同时再把「有效值构造」出来,也即是将物品下标调整为从 1 开始,设置 dp[0][0]dp[0][0] 为初始值

这其实是另外一类「背包问题」,它不对应「价值最大化」,对应的是「能否取得最大/特定价值」。这样的「背包问题」同样具有普遍性。

需要大家进行掌握 ~

背包问题(目录)

  1. 01背包 : 背包问题 第一讲

    1. 【练习】01背包 : 背包问题 第二讲

    2. 【学习&练习】01背包 : 本篇

  2. 完全背包 : 背包问题 第四讲

    1. 【练习】完全背包 : 背包问题 第五讲

    2. 【练习】完全背包 : 背包问题 第六讲

    3. 【练习】完全背包 : 背包问题 第七讲

  3. 多重背包 : 背包问题 第八讲

  4. 多重背包(优化篇)

    1. 【上】多重背包(优化篇): 背包问题 第九讲

    2. 【下】多重背包(优化篇): 背包问题 第十讲

  5. 混合背包 : 背包问题 第十一讲

  6. 分组背包 : 背包问题 第十二讲

    1. 【练习】分组背包 : 背包问题 第十三讲
  7. 多维背包

    1. 【练习】多维背包 : 背包问题 第十四讲

    2. 【练习】多维背包 : 背包问题 第十五讲

  8. 树形背包 : 背包问题 第十六讲

    1. 【练习篇】树形背包 : 背包问题 第十七讲

    2. 【练习篇】树形背包

  9. 背包求方案数

    1. 【练习】背包求方案数
  10. 背包求具体方案

    1. 【练习】背包求具体方案
  11. 泛化背包

    1. 【练习】泛化背包