在受虐中成长-面经01

136 阅读8分钟
redis线程模型?

Redis和Netty都是基于Reactor模式开发

优点:单线程模型,省去上下文切换的时间及CPU消耗,不用去考虑锁的问题,不存在加锁释放锁等操作,从而节省资源。

单线程,指的是网络请求模块使用一个线程来处理,即一个线程处理所有网络请求,其他模块仍用了多个线程。 它的组成结构为4部分:多个套接字、IO多路复用程序、文件事件分派器、事件处理器。因为文件事件分派器队列的消费是单线程的,所以Redis才叫单线程模型

redis的性能瓶颈

那为什么使用单线程呢?官方答案是:因为CPU不是Redis的瓶颈,Redis的瓶颈最有可能是机器内存或者网络带宽。既然单线程容易实现,而且CPU不会成为瓶颈,那就顺理成章地采用单线程的方案了。

Redis 6.0 后为什么改用多线程

之前的段落说了,Redis 的瓶颈并不在 CPU,而在内存和网络。

内存不够的话,可以加内存或者做数据结构优化和其他优化等,但网络的性能优化才是大头,网络 IO 的读写在 Redis 整个执行期间占用了大部分的 CPU 时间,如果把网络处理这部分做成多线程处理方式,那对整个 Redis 的性能会有很大的提升。

blog.csdn.net/weixin_3909…

Netty线程模型
  • 单线程模型 (单Reactor单线程)

Reactor内部通过selector 监控连接事件,收到事件后通过dispatch进行分发,如果是连接建立的事件,则由Acceptor处理,Acceptor通过accept接受连接,并创建一个Handler来处理连接后续的各种事件,如果是读写事件,直接调用连接对应的Handler来处理

Handler完成read->(decode->compute->encode)->send的业务流程

这种模型好处是简单,坏处却很明显,当某个Handler阻塞时,会导致其他客户端的handler和accpetor都得不到执行,无法做到高性能,只适用于业务处理非常快速的场景

  • 多线程模型 (单Reactor多线程)

主线程中,Reactor对象通过selector监控连接事件,收到事件后通过dispatch进行分发,如果是连接建立事件,则由Acceptor处理,Acceptor通过accept接收连接,并创建一个Handler来处理后续事件,而Handler只负责响应事件,不进行业务操作,也就是只进行read读取数据和write写出数据,业务处理交给一个线程池进行处理

线程池分配一个线程完成真正的业务处理,然后将响应结果交给主进程的Handler处理,Handler将结果send给client

  • 主从多线程模型 (多Reactor多线程) (最流行)

存在多个Reactor,每个Reactor都有自己的selector选择器,线程和dispatch 主线程中的mainReactor通过自己的selector监控连接建立事件,收到事件后通过Accpetor接收,将新的连接分配给某个子线程 子线程中的subReactor将mainReactor分配的连接加入连接队列中通过自己的selector进行监听,并创建一个Handler用于处理后续事件 Handler完成read->业务处理->send的完整业务流程

引用 zhuanlan.zhihu.com/p/87630368

JMM内存模型

原子性,可见性,有序性

内存模型解决的问题

原子性,可见性,有序性

BIO,NIO,AIO区别

BIO 阻塞IO

NIO 非阻塞IO,也叫NewIO,核心有Channel、Buffer、Selector

AIO 异步IO,基于NIO,但是在监听的同时是异步的,可以做其他事,当发生事件之后回来通知你

JVM运行时数据区域

垃圾回收算法
  • 标记 —— 清除算法
  • 复制算法
  • 标记 —— 整理算法
  • 分代回收
垃圾回收器

引用计数法和根可达性算法的区别
  • 引用计数法

    给对象中添加一个引用计数器,每当有一个地方引用他时,计数器值就+1,;当引用失效时,计数器值就-1;任何时刻计数器为0的对象就是不可能在被使用。

    优点:判定效率很高;

    缺点:不完全准确,当遇到循环依赖就无法处理;

  • 根可达性算法

    通过一系列的GC Roots的对象作为起始点,从这些根节点开始向下搜索,搜索所走过的路径称为引用链(Reference Chain),当一个对象到GC Roots没有任何引用链相连时,则证明此对象是不可用的。

    可作为 GC Roots 的对象:

    • 虚拟机栈(栈帧中的本地变量表)中引用的对象
    • 方法区中类静态属性引用的对象
    • 方法区中常量引用的对象
    • 本地方法栈中 JNI(即一般说的 Native 方法) 引用的对象

    优点:可解决循环依赖问题;

    缺点:在多线程环境下,其他线程可能会更新已经访问过的对象中的引用,从而造成误报(将引用设置为null)或者漏报(将引用设置为未被访问过的对象)。

内存相关的文章引用: blog.csdn.net/qq_41701956…

对微服务的理解?

XXX 随意发挥吧……

CAP的理解?

Eureka与Zookeeper的区别?

见上题

SQL查询倒数第三个数据

LIMIT+ORDER,LIMIT m,n两个参数,m--从该数m+1开始,n--查询n条数据。

select * from table order by 条件 limit 2,1;

Spring事务类型
  • PROPAGATION_REQUIRED–支持当前事务,如果当前没有事务,就新建一个事务。这是最常见的选择。
  • PROPAGATION_SUPPORTS–支持当前事务,如果当前没有事务,就以非事务方式执行。
  • PROPAGATION_MANDATORY–支持当前事务,如果当前没有事务,就抛出异常。
  • PROPAGATION_REQUIRES_NEW–新建事务,如果当前存在事务,把当前事务挂起。
  • PROPAGATION_NOT_SUPPORTED–以非事务方式执行操作,如果当前存在事务,就把当前事务挂起。
  • PROPAGATION_NEVER–以非事务方式执行,如果当前存在事务,则抛出异常。
  • PROPAGATION_NESTED–如果当前存在事务,则在嵌套事务内执行。如果当前没有事务,则进行与PROPAGATION_REQUIRED类似的操作。
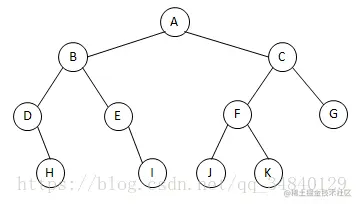
树的正序中序倒序遍历

二叉树的遍历主要有三种:

(1)先(根)序遍历(根左右)

(2)中(根)序遍历(左根右)

(3)后(根)序遍历(左右根)

先(根)序遍历(根左右):A B D H E I C F J K G

中(根)序遍历(左根右) : D H B E I A J F K C G

后(根)序遍历(左右根) : H D I E B J K F G C A

三次握手四次挥手?

第一次握手:建立连接时,客户端发送syn包(syn=x)到服务器,并进入SYN_SENT状态,等待服务器确认;SYN:同步序列编号(Synchronize Sequence Numbers)。

第二次握手:服务器收到syn包,必须确认客户的SYN(ack=x+1),同时自己也发送一个SYN包(syn=y),即SYN+ACK包,此时服务器进入SYN_RECV状态;

第三次握手:客户端收到服务器的SYN+ACK包,向服务器发送确认包ACK(ack=y+1),此包发送完毕,客户端和服务器进入ESTABLISHED(TCP连接成功)状态,完成三次握手。

1)客户端进程发出连接释放报文,并且停止发送数据。释放数据报文首部,FIN=1,其序列号为seq=u(等于前面已经传送过来的数据的最后一个字节的序号加1),此时,客户端进入FIN-WAIT-1(终止等待1)状态。 TCP规定,FIN报文段即使不携带数据,也要消耗一个序号。

2)服务器收到连接释放报文,发出确认报文,ACK=1,ack=u+1,并且带上自己的序列号seq=v,此时,服务端就进入了CLOSE-WAIT(关闭等待)状态。TCP服务器通知高层的应用进程,客户端向服务器的方向就释放了,这时候处于半关闭状态,即客户端已经没有数据要发送了,但是服务器若发送数据,客户端依然要接受。这个状态还要持续一段时间,也就是整个CLOSE-WAIT状态持续的时间。

3)客户端收到服务器的确认请求后,此时,客户端就进入FIN-WAIT-2(终止等待2)状态,等待服务器发送连接释放报文(在这之前还需要接受服务器发送的最后的数据)。

4)服务器将最后的数据发送完毕后,就向客户端发送连接释放报文,FIN=1,ack=u+1,由于在半关闭状态,服务器很可能又发送了一些数据,假定此时的序列号为seq=w,此时,服务器就进入了LAST-ACK(最后确认)状态,等待客户端的确认。

5)客户端收到服务器的连接释放报文后,必须发出确认,ACK=1,ack=w+1,而自己的序列号是seq=u+1,此时,客户端就进入了TIME-WAIT(时间等待)状态。注意此时TCP连接还没有释放,必须经过2∗∗MSL(最长报文段寿命)的时间后,当客户端撤销相应的TCB后,才进入CLOSED状态。

6)服务器只要收到了客户端发出的确认,立即进入CLOSED状态。同样,撤销TCB后,就结束了这次的TCP连接。可以看到,服务器结束TCP连接的时间要比客户端早一些。

引用: blog.csdn.net/u010918487/…

更深入的可以看此处:www.zhihu.com/question/27…

Linux内存模型?
  1. 阻塞I/O(blocking I/O)
  2. 非阻塞I/O (nonblocking I/O)
  3. I/O复用(select 和poll) (I/O multiplexing)
  4. 信号驱动I/O (signal driven I/O (SIGIO))
  5. 异步I/O (asynchronous I/O (the POSIX aio_functions))

前面四种都是同步io、第五种是异步IO;

引用:zhuanlan.zhihu.com/p/112810033