【温故知新】`114. 二叉树展开为链表` 深度优先、前序遍历特性实现

597 阅读2分钟

题目描述

给你二叉树的根结点 root ,请你将它展开为一个单链表:

展开后的单链表应该同样使用 TreeNode ,其中 right 子指针指向链表中下一个结点,而左子指针始终为 null 。 展开后的单链表应该与二叉树 先序遍历 顺序相同。  

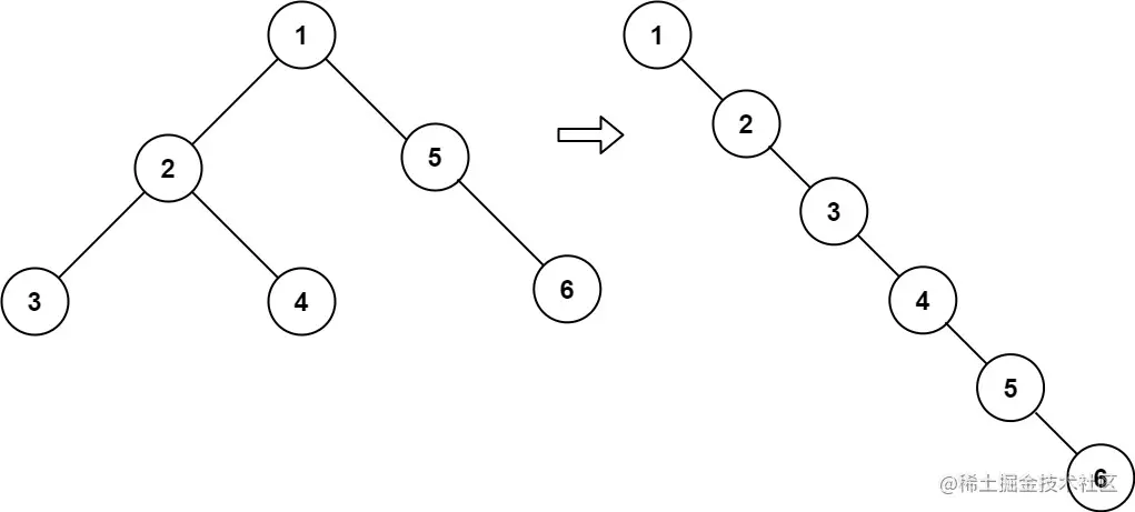
示例 1: image.png

输入:root = [1,2,5,3,4,null,6] 输出:[1,null,2,null,3,null,4,null,5,null,6] 示例 2:

输入:root = [] 输出:[] 示例 3:

输入:root = [0] 输出:[0]  

提示:

树中结点数在范围 [0, 2000] 内 -100 <= Node.val <= 100  

进阶:你可以使用原地算法(O(1) 额外空间)展开这棵树吗?

来源:力扣(LeetCode) 链接:leetcode-cn.com/problems/fl… 著作权归领扣网络所有。商业转载请联系官方授权,非商业转载请注明出处。

解题思路

思路1:深度优先遍历

  • 题目要求展开后的单链表与前序遍历的顺序一致
  • 则我们进行前序遍历
  • 进而按顺序处理TreeNode节点的left指针和right指针的指向;

前序遍历的方式

  • 递归的方式前序遍历
  • 迭代的方式前序遍历

时空复杂度

  • 时间复杂度:O(n),其中 n 是二叉树的节点数。

    • 前序遍历的时间复杂度是 O(n),前序遍历之后,需要对每个节点更新左右子节点的信息,时间复杂度也是 O(n)。
  • 空间复杂度:O(n),其中 n 是二叉树的节点数。

    • 空间复杂度取决于栈(递归调用栈或者迭代中显性使用的栈)和存储前序遍历结果的列表的大小,栈内的元素个数不会超过 n,前序遍历列表中的元素个数是 n。

递归代码

/**
 * Definition for a binary tree node.
 * class TreeNode {
 *     val: number
 *     left: TreeNode | null
 *     right: TreeNode | null
 *     constructor(val?: number, left?: TreeNode | null, right?: TreeNode | null) {
 *         this.val = (val===undefined ? 0 : val)
 *         this.left = (left===undefined ? null : left)
 *         this.right = (right===undefined ? null : right)
 *     }
 * }
 */

/**
 Do not return anything, modify root in-place instead.
 */


function flatten(root: TreeNode | null): void {
    // 通过递归实现前序遍历
    // 原地替换:left指向为null,right指向为TreeNode;
    let list:TreeNode[]=[];
    preorderTraversal(root,list)
    for(let i=1;i<list.length;i++){
        let prev=list[i-1],curr=list[i];
        prev.left=null;
        prev.right=curr
    }
     
};

function preorderTraversal(root:TreeNode | null,list:TreeNode[]){
    // 递归实现前序遍历
     if(root!==null){
         list.push(root);
         preorderTraversal(root.left,list)
         preorderTraversal(root.right,list)
     }
   
}

迭代代码

function flatten(root: TreeNode | null): void {
  // 深度优先遍历,利用栈stack的先进后出的原则进行前序遍历;
  let list:TreeNode[]=[]; // 用于存储遍历节点;
  let stack:TreeNode[]=[] // 用户进行深度优先遍历;
  let node=root
  // 栈迭代遍历;
   while(node!==null||stack.length>0){
       while(node!==null){
           // 前序操作节点;
           list.push(node);
           stack.push(node);
           node=node.left
       }// 左节点遍历完毕;
       // 开始迭代遍历右节点;
       node=stack.pop();
       node=node.right
   }// end of while  
   // 处理链表指针
   for(let i=1;i<list.length;i++){
       let prev=list[i-1],curr=list[i];
       prev.left=null;
       prev.right=curr;
   }// end of for loop

};

思路二:寻找前驱节点

  • 题目要求按照前序遍历的方式展开列表
  • 前序遍历的特点是:
    • 根节点 、左子树、右子树;
  • 如果一个节点的左子树为null,则不做展开操作;
  • 否则,按照前序遍历的特点,
    • 改节点root的左子树最后一个节点访问完后, 开始访问右子树;
    • 该节点左子树最后一个节点即为左子树最右边的一个节点;
    • 我们称之为前驱节点
    • 综上:问题转换为寻找当前节点的前驱节点

编码思路

  • 判断当前节点如果左子树不为空,则进行左子树最右边的节点的查找;作为前驱节点prev;
  • 将当前前驱节点prev的右指针prev.right指向当前节点curr的右指针curr.right;
  • 将当前节点curr的左指针清空curr.left=null;
  • 将当前节点curr的右指针指向下一个遍历的节点;curr.right=next;
  • 直到所有节点遍历完成;

时空复杂度

  • 时间复杂度:O(n),其中 n是二叉树的节点数。展开为单链表的过程中,需要对每个节点访问一次,在寻找前驱节点的过程中,每个节点最多被额外访问一次。

  • 空间复杂度:O(1)。

代码

function flatten(root: TreeNode | null): void {
  // 利用前序遍历的特点;原地更换右指针
  let curr=root;
   while(curr!==null){
       // 寻找前驱节点:
       if(curr.left!==null){
           // 寻找最改左子树的最右边的节点即为前驱节点;
           const next=curr.left;
           let prev=next;
           // 寻找前驱节点;
           while(prev.right!==null){
               prev=prev.right
           }
           prev.right=curr.right;
           curr.left=null;
           curr.right=next;

       }// 
       curr=curr.right
   }// end of while
};

二叉树相关回顾

【温故知新】101. 对称二叉树 利用队列、递归实现二叉树的判断

【温故知新】102. 二叉树的层序遍历 广度优先遍历、队列先进先出的原则

【温故知新】104. 二叉树的最大深度 广度优先遍历、递归实现

【温故知新】1367. 二叉树中的列表 递归分解问题求解

【温故知新】谷歌面试:226. 翻转二叉树 广度优先、深度优先 、前序、后序递归4种解法