算法复杂度

91 阅读1分钟

文章目录

一.简介

数据结构和算法本身解决的是如何让代码运行得更快,如何让代码更省存储空间。

计算算法占时间和空间

把代码跑一遍,通过统计、监控,就能得到算法执行的时间和占用内存大小,有很大局限性:

  • 测试结果依赖环境(服务器,网络等)。
  • 测试结果受数据规模影响。

二.大O表示法

算法的执行效率,粗略地讲,就是算法代码的执行的时间。

int cal(int n) {
   int sum = 0;
   int i = 1;
   for (; i <= n; ++i) {
     sum = sum + i;
   }
   return sum;
}

从CPU角度来看,这段代码每一行都执行类似的操作:读数据-运算-写数据。
尽管每行代码对应的 CPU 执行的个数、执行的时间都不一样,但是,我们这里只是粗略估计,所以可以假设每行代码执行的时间都一样,为 unit_time。

第 2、3 行代码分别需要 1 个 unit_time 的执行时间,第 4、5 行都运行了 n 遍,所以需要 2n*unit_time 的执行时间,所以这段代码总的执行时间就是 (2n+2)*unit_time。可以看出来,所有代码的执行时间 T(n) 与每行代码的执行次数成正比。

T(n) = O(f(n))

大 O 时间复杂度实际上并不具体表示代码真正的执行时间,而是表示代码执行时间随数据规模增长的变化趋势,所以,也叫作渐进时间复杂度(asymptotic time complexity),简称时间复杂度。

当 n 很大时,你可以把它想象成 10000、100000。而公式中的低阶、常量、系数三部分并不左右增长趋势,所以都可以忽略。我们只需要记录一个最大量级就可以了,如果用大 O 表示法表示刚讲的那两段代码的时间复杂度,就可以记为:T(n) = O(n); T(n) = O(n2)。

三.时间复杂度分析

3.1 只关注循环执行次数最多的一段代码

大O这种复杂度表示方法只是一种变化趋势。

我们在分析一个算法、一段代码的时间复杂度的时候,也只关注循环执行次数最多的那一段代码就可以了。

3.2 加法法则:总复杂度等于量级最大的那段代码的复杂度

int cal(int n) {
   int sum_1 = 0;
   int p = 1;
   for (; p < 100; ++p) {
     sum_1 = sum_1 + p;
   }
   int sum_2 = 0;
   int q = 1;
   for (; q < n; ++q) {
     sum_2 = sum_2 + q;
   }
 
   int sum_3 = 0;
   int i = 1;
   int j = 1;
   for (; i <= n; ++i) {
     j = 1; 
     for (; j <= n; ++j) {
       sum_3 = sum_3 +  i * j;
     }
   }
   return sum_1 + sum_2 + sum_3;
 }

sum_1 常量执行时间。
sum_2 O(n)。

sum_3 O(n2)。

总的时间复杂度就等于量级最大的那段代码的时间复杂度。

3.3 乘法法则:嵌套代码的复杂度等于嵌套内外代码复杂度的乘积

int cal(int n) {
   int ret = 0; 
   int i = 1;
   for (; i < n; ++i) {
     ret = ret + f(i);
   } 
 } 
 
 int f(int n) {
  int sum = 0;
  int i = 1;
  for (; i < n; ++i) {
    sum = sum + i;
  } 
  return sum;
 }

在这里插入图片描述

3.4 常见时间复杂度实例分析

按数量级递增

常量级O(1)

 int i = 8;
 int j = 6;
 int sum = i + j;

一般情况下,只要算法中不存在循环语句、递归语句,即使有成千上万行的代码,其时间复杂度也是Ο(1)。
对数级 O(logn)、O(nlogn)

 i=1;
 while (i <= n)  {
   i = i * 2;
 }

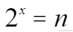
从代码中可以看出,变量i的值从1开始取,每循环一次乘以2。
在这里插入图片描述

只要知道x值是多少,就知道代码执行的次数。
在这里插入图片描述
求解x
在这里插入图片描述

这段代码的时间复杂度就是
在这里插入图片描述

在采用大 O 标记复杂度的时候,可以忽略系数,即 O(Cf(n)) = O(f(n)),忽略对数的“底”,统一表示为 O(logn)。

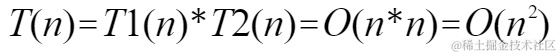
O(m+n)、O(m*n)

代码复杂度由两个数据的规模来决定。

int cal(int m, int n) {
  int sum_1 = 0;
  int i = 1;
  for (; i < m; ++i) {
    sum_1 = sum_1 + i;
  }
  int sum_2 = 0;
  int j = 1;
  for (; j < n; ++j) {
    sum_2 = sum_2 + j;
  }
  return sum_1 + sum_2;
}

从代码中可以看出,m 和 n 是表示两个数据规模。我们无法事先评估 m 和 n 谁的量级大,所以我们在表示复杂度的时候,就不能简单地利用加法法则,省略掉其中一个。所以,上面代码的时间复杂度就是 O(m+n)。
针对这种情况,原来的加法法则就不正确了,我们需要将加法规则改为:T1(m) + T2(n) = O(f(m) + g(n))。但是乘法法则继续有效:T1(m)*T2(n) = O(f(m) * f(n))。

3.5 最好、最坏情况时间复杂度

// n表示数组array的长度
int find(int[] array, int n, int x) {
  int i = 0;
  int pos = -1;
  for (; i < n; ++i) {
    if (array[i] == x) {
       pos = i;
       break;
    }
  }
  return pos;
}

最好情况时间复杂度就是,在最理想的情况下,执行这段代码的时间复杂度。就像我们刚刚讲到的,在最理想的情况下,要查找的变量 x 正好是数组的第一个元素,这个时候对应的时间复杂度就是最好情况时间复杂度。
最坏情况时间复杂度就是,在最糟糕的情况下,执行这段代码的时间复杂度。就像刚举的那个例子,如果数组中没有要查找的变量 x,我们需要把整个数组都遍历一遍才行,所以这种最糟糕情况下对应的时间复杂度就是最坏情况时间复杂度。

3.6 平均情况时间复杂度

还是用3.5的示例。

要查找的变量 x 在数组中的位置,有 n+1 种情况:在数组的 0~n-1 位置中和不在数组中。我们把每种情况下,查找需要遍历的元素个数累加起来,然后再除以 n+1,就可以得到需要遍历的元素个数的平均值,即:
在这里插入图片描述
时间复杂度的大 O 标记法中,可以省略掉系数、低阶、常量,所以,咱们把刚刚这个公式简化之后,得到的平均时间复杂度就是 O(n)。

只有同一块代码在不同的情况下,时间复杂度有量级的差距,我们才会使用这三种复杂度表示法来区分。(最好,最坏,平均)

3.7 均摊时间复杂度

 // array表示一个长度为n的数组
 // 代码中的array.length就等于n
 int[] array = new int[n];
 int count = 0;
 
 void insert(int val) {
    if (count == array.length) {
       int sum = 0;
       for (int i = 0; i < array.length; ++i) {
          sum = sum + array[i];
       }
       array[0] = sum;
       count = 1;
    }

    array[count] = val;
    ++count;
 }

假设数组的长度是 n,根据数据插入的位置的不同,我们可以分为 n 种情况,每种情况的时间复杂度是 O(1)。除此之外,还有一种“额外”的情况,就是在数组没有空闲空间时插入一个数据,这个时候的时间复杂度是 O(n)。而且,这 n+1 种情况发生的概率一样,都是 1/(n+1)。所以,根据加权平均的计算方法,我们求得的平均时间复杂度就是:
在这里插入图片描述

每一次 O(n) 的插入操作,都会跟着 n-1 次 O(1) 的插入操作,所以把耗时多的那次操作均摊到接下来的 n-1 次耗时少的操作上,均摊下来,这一组连续的操作的均摊时间复杂度就是 O(1)。这就是均摊分析的大致思路。

四.空间复杂度分析

时间复杂度的全称是渐进时间复杂度,表示算法的执行时间与数据规模之间的增长关系。类比一下,空间复杂度全称就是渐进空间复杂度(asymptotic space complexity),表示算法的存储空间与数据规模之间的增长关系。

常见的空间复杂度就是 O(1)、O(n)、O(n2 ),像 O(logn)、O(nlogn) 这样的对数阶复杂度平时都用不到。

参考

《数据结构与算法之美》

公众号

在这里插入图片描述
名称:大数据计算
微信号:bigdata_limeng