学术派 |用深度学习实现2D到3D的转换

649 阅读9分钟

随着 5G 时代的到来,VR 端应用呈爆发式增长,3D 内容作为构建 VR 生态的主力输出一直深受广大用户的追捧和喜爱。针对目前 3D 内容过少,质量不高、生产昂贵等现状,爱奇艺作为国内领先的互联网视频媒体,自然首当其冲,以真实世界的 3D 内容为基础,研究2D 转 3D 技术,实现更优质的 VR 端的 3D 内容生态的构建,满足更多用户的日常需求。

相对于 2D 内容,优质的 3D 内容有输出符合真实景深关系的能力,让用户在观看时具有更好的观影体验。下面我们从技术的角度,介绍爱奇艺如何赋予2D内容真实的景深关系,实现 2D 内容到 3D 内容的转换。

面临的挑战

目前 2D 转 3D 技术主要问题是转制成本太高,不能大面积使用,如使用一般的策略很难适用多种场景的真实 3D 视差关系,这很容易让用户感到不适。\

综合以上原因,我们考虑采用深度学习方法,通过对大量 3D 电影(side-by-side 的双目介质)真实视差的学习与建模,完成单目视图到双目视图的转换。

以下是2D转3D技术面临的几个挑战:

  • 数据集质量
3D介质中包含大量不符合真实视差关系的双目视图
受相机参数的影响,同类场景的视差在不同的 3D 介质中不统一
  • 帧间抖动
场景多样化,需要保证视差预测的连续性与准确性
重构视图的遮挡区域空洞的填补
  • 3D 效果的评价指标难以量化
同类场景具有不同的并且满足真实世界的视差关系
3D 效果依靠人工评价,过于主观

模型原型思路

通过对大量用户的调研发现,除去特效场景刺激眼球外,3D 介质的 3D 感知越符合真实世界越受用户喜爱,因此在模型构建上必须符合真实世界的 3D 观感——双目视觉

图1双目相机成像与视差原理

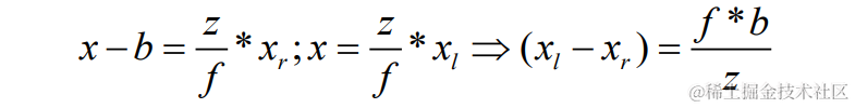
图 1 所示,两个相机拍摄同一场景生成的图像会存在差异,这种差异叫视差,其产于与真实的三维空间。视差不能通过平移消除,同时离相机近的物体视差偏移较大,反之越小。\

人的左右眼就如同图中的左右相机一样,分别获取对应图像后,通过大脑合成处理这种差异,从而获取真实世界的 3D 感知,通过图 1 可得出视差与相机焦距和轴间距间的关系:

公式(1)

其中 为物体距离相机的深度, 为三维映射到二维的图像平面, 为相机焦距, 为两个相机间的距离轴间距, 和 分别为物体在左右不同相机中成像的坐标,因此可知左右图对应像素 和 的视差。

同时,考虑到转制的对象为2D介质,因此,通过单目深度估计合成新视点的算法原型诞生:通过公式(1) 可知,假设有一个函数 那么就有:

公式(2)

通过公式(2) 可知,只需要将 图1左 作为训练输入,图1右 作为参考,即可建立深度学习模型,通过大量双目图片对训练估计出函数????。这样就可在已知相机参数(????,????)的前提下获取对应的深度值????,完成单目深度估计的任务。

通过公式(1)公式(2) 可以发现,深度与视差成反比,因此深度估计和视差估计的方法可以互用。Deep3D[1]虽然通过视差概率估计实现2D到3D介质的转换,但固定视差的设定,难以适应不同分辨率2D介质输入;\

方法[2]没有充分利用双目信息作指导,景深不够细;monodepth[3]在方法[2]的基础上,充分利用了双目信息进行对抗指导,学习到更多深度细节;\

SfmLearner[4]这类方法引入帧间时序信息,结构较复杂,运行速度慢。因此通过实现及适用性考虑最终我们选择以monodepth为baseline,其框架结构如图2所示:\

图2 monodepth框架图

通过 图2 框架可以看出,该框架在训练过程充分利用双目的有效信息作指导,同时测试过程也只需要单目图片进行输入,所以非常适合用于2D转3D技术的框架。

模型演变

解决相机问题

在Baseline模型的基础上,如果直接使用混合的3D电影数据集进行训练,模型将无法收敛或预测不稳定,一个最主要的问题是不同电影使用不同相机参数的摄像机进行拍摄,即使两个非常相似的电影场景,在不同的两部电影中也会有不同的景深分布,表现在模型训练中即为不同的视差值。

与此同时,不同电影的后处理方式,以及会聚相机的引入,会进一步增加建模的难度。在分析相似案例的处理方法中,我们发现可以通过引入条件变分自编码器(CVAE),在训练过程中,把每一组训练集(左右视图)通过网络提取其相机参数等信息,并作为后验信息通过AdaIN[5]的形式引入到单目(左视图)视差图预测中,同时参考[6]中的“双轮训练”,保证了测试时随机采样相机参数分布的正确性。

解决抖动问题

在解决数据集问题后,进行连续帧预测时,发现存在预测不稳定及抖动的问题。在解决视频生成过程(尤其是连续帧深度图预测)的抖动问题中,目前最为常见的方案包含基于帧间ConvLSTM的[7]和[8]和基于光流的[9]和[10]。其中,[8]在不同尺度的编码和解码的过程中均加入ConvLSTM,隐式的利用时间域上特征的相关性来稳定的预测深度图,而[7]则仅在网络输出的最后一层引入ConvLSTM。

引入ConvLSTM的方法思路简单,但在2D转3D模型中却不适用,[8]使用了较多的ConvLSTM,使得训练较为复杂,不易收敛,[7]由于电影分镜镜头种类多变,单一ConvLSTM预测时易累计误差,使得预测变差。

图3 vid2vid结构图

我们的2D转3D模型采用了类似于[10]的模型结构,如图3所示,将左侧上支路改为输入三帧左视图(t,t-1,t-2),左侧下支路改为输入前两帧预测视差图(t-1,t-2),右上支路为输出当前帧所预测的视差图,右下支路改为输出前一帧预测视差图到当前帧预测视差图的光流图(t-1->t)及其valid mask图,最终结合右侧上下两支路结果合成当前帧视差图。

其中,在中间高维特征合并处引入上文提及的CVAE模块,用以引入后验相机参数信息。最终,在解决相机参数导致数据集问题的同时,模型能够得到稳定且连续的视差图输出。

解决“空洞”填补问题

由于新视角的生成,会使部分原本被遮挡的区域在新视角中显露出来,这些信息仅从左视图中是无法获取的,即使通过前后帧的光流信息也很难还原。在生成新视角的后处理过程中,我们参考[11]的模型框架设计,通过视差图来指导获取产生的“空洞”区域,通过图像修补技术解决新视角的“空洞”问题。

3D效果测评 由于拍摄条件不同会导致3D效果不同,所以在2D转3D效果测评中,我们用大量人力对预测的视差图和成片在VR中的3D效果进行综合性的评测。视差图估计如图4:

图4 各种场景下的单目视差估计

应用扩展

不仅如此,视差图的预测也能转化为相对深度值,被应用到其他方面,例如3D海报。3D海报是一张2D图片加上其深度关系图,通过一系列的新视点渲染,得到一组动态的,人能感知的立体影像。如图5与图6所示:

图5 复仇者联盟3D海报

图6 剑干将莫邪3D海报

References

[1]Xie J, Girshick R, Farhadi A. Deep3d: Fully automatic 2d-to-3d video conversionwith deep convolutional neural networks[C]//European Conference on ComputerVision. Springer, Cham, 2016: 842-857.

[2]Garg R, BG V K, Carneiro G, et al. Unsupervised cnn for single view depthestimation: Geometry to the rescue[C]//European Conference on Computer Vision.Springer, Cham, 2016: 740-756.

[3] Godard C, Mac Aodha O, Brostow G J. Unsupervisedmonocular depth estimation with left-right consistency[C]//Proceedings of theIEEE Conference on Computer Vision and Pattern Recognition. 2017: 270-279.

[4] Zhou T, Brown M, Snavely N, et al. Unsupervised learningof depth and ego-motion from video[C]//Proceedings of the IEEE Conference onComputer Vision and Pattern Recognition. 2017: 1851-1858.

[5] Huang X, Belongie S. Arbitrary style transfer inreal-time with adaptive instance normalization[C]//Proceedings of the IEEEInternational Conference on Computer Vision. 2017: 1501-1510.

[6] Zhu J Y, Zhang R, Pathak D, et al. Toward multimodal image-to-imagetranslation[C]//Advances in neural information processing systems. 2017:465-476.

[7] Zhang H, Shen C, Li Y, et al. Exploitingtemporal consistency for real-time video depth estimation[C]//Proceedings ofthe IEEE International Conference on Computer Vision. 2019: 1725-1734.

[8] Tananaev D, Zhou H, Ummenhofer B, et al. TemporallyConsistent Depth Estimation in Videos with RecurrentArchitectures[C]//Proceedings of the European Conference on Computer Vision(ECCV). 2018: 0-0.

[9] Lin J, Gan C, Han S. Tsm: Temporal shift module forefficient video understanding[C]//Proceedings of the IEEE InternationalConference on Computer Vision. 2019: 7083-7093.

[10] Wang T C, Liu M Y, Zhu J Y, et al. Video-to-videosynthesis[J]. arXiv preprint arXiv:1808.06601, 2018.

[11]Yu J, Lin Z, Yang J, et al. Free-form imageinpainting with gated convolution[C]//Proceedings of the IEEE InternationalConference on Computer Vision. 2019: 4471-4480.