「前端刷题」25. Reverse Nodes in k-Group

319 阅读3分钟

这是我参与8月更文挑战的第25天,活动详情查看:8月更文挑战

leetcode-cn好像又挂了,用英文吧

题目

Given a linked list, reverse the nodes of a linked list k at a time and return its modified list.

k is a positive integer and is less than or equal to the length of the linked list. If the number of nodes is not a multiple of k then left-out nodes, in the end, should remain as it is.

You may not alter the values in the list's nodes, only nodes themselves may be changed.

 

Example 1:

Input: head = [1,2,3,4,5], k = 2 Output: [2,1,4,3,5]

Example 2:

Input: head = [1,2,3,4,5], k = 3

Output: [3,2,1,4,5]

Example 3:

Input: head = [1,2,3,4,5], k = 1

Output: [1,2,3,4,5]

Example 4:

Input: head = [1], k = 1

Output: [1]

 

Constraints:

  • The number of nodes in the list is in the range sz.
  • 1 <= sz <= 5000
  • 0 <= Node.val <= 1000
  • 1 <= k <= sz

 

Follow-up: Can you solve the problem in O(1) extra memory space?

解题思路

题意是以 k 个nodes为一组进行翻转,返回翻转后的linked list.

从左往右扫描一遍linked list,扫描过程中,以k为单位把数组分成若干段,对每一段进行翻转。给定首尾nodes,如何对链表进行翻转。

链表的翻转过程,初始化一个为nullprevious node(prev),然后遍历链表的同时,当前node (curr)的下一个(next)指向前一个node(prev)
在改变当前node的指向之前,用一个临时变量记录当前node的下一个node(curr.next). 即

ListNode temp = curr.next; curr.next = prev; prev = curr; curr = temp;

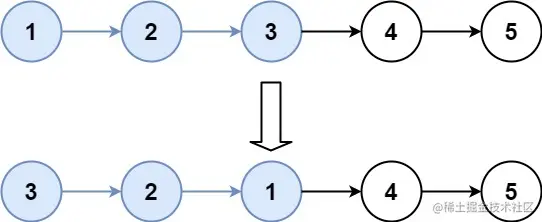
举例如图:翻转整个链表 1->2->3->4->null -> 4->3->2->1->null

image.png

这里是对每一组(k个nodes)进行翻转,

  1. 先分组,用一个count变量记录当前节点的个数

  2. 用一个start 变量记录当前分组的起始节点位置的前一个节点

  3. 用一个end 变量记录要翻转的最后一个节点位置

  4. 翻转一组(k个nodes)即(start, end) \- start and end exclusively

  5. 翻转后,start指向翻转后链表, 区间(start,end)中的最后一个节点, 返回start 节点。

  6. 如果不需要翻转,end 就往后移动一个(end=end.next),每一次移动,都要count+1.

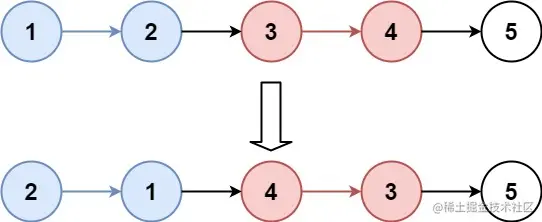
如图所示 步骤4和5: 翻转区间链表区间(start, end)

image.png

举例如图,head=[1,2,3,4,5,6,7,8], k = 3

image.png

NOTE: 一般情况下对链表的操作,都有可能会引入一个新的dummy node,因为head有可能会改变。这里head 从1->3,
dummy (List(0)) 保持不变。

复杂度分析

  • 时间复杂度: O(n) - n is number of Linked List
  • 空间复杂度: O(1)

关键点分析

  1. 创建一个dummy node
  2. 对链表以k为单位进行分组,记录每一组的起始和最后节点位置
  3. 对每一组进行翻转,更换起始和最后的位置
  4. 返回dummy.next.

代码

/**
 * @param {ListNode} head
 * @param {number} k
 * @return {ListNode}
 */
var reverseKGroup = function(head, k) {
  // 标兵
  let dummy = new ListNode()
  dummy.next = head
  let [start, end] = [dummy, dummy.next]
  let count = 0
  while(end) {
    count++
    if (count % k === 0) {
      start = reverseList(start, end.next)
      end = start.next
    } else {
      end = end.next
    }
  }
  return dummy.next

  // 翻转stat -> end的链表
  function reverseList(start, end) {
    let [pre, cur] = [start, start.next]
    const first = cur
    while(cur !== end) {
      let next = cur.next
      cur.next = pre
      pre = cur
      cur = next
    }
    start.next = pre
    first.next = cur
    return first
  }
};

扩展

  • 要求从后往前以k个为一组进行翻转。(字节跳动(ByteDance)面试题)

    例子,1->2->3->4->5->6->7->8, k = 3,

    从后往前以k=3为一组,

    • 6->7->8 为一组翻转为8->7->6
    • 3->4->5为一组翻转为5->4->3.
    • 1->2只有2个nodes少于k=3个,不翻转。

    最后返回: 1->2->5->4->3->8->7->6

这里的思路跟从前往后以k个为一组进行翻转类似,可以进行预处理:

  1. 翻转链表

  2. 对翻转后的链表进行从前往后以k为一组翻转。

  3. 翻转步骤2中得到的链表。

例子:1->2->3->4->5->6->7->8, k = 3

  1. 翻转链表得到:8->7->6->5->4->3->2->1

  2. 以k为一组翻转: 6->7->8->3->4->5->2->1

  3. 翻转步骤#2链表: 1->2->5->4->3->8->7->6

最后

曾梦想仗剑走天涯

看一看世界的繁华

年少的心总有些轻狂

终究不过是个普通人

无怨无悔我走我路

「前端刷题」No.25