最大数值Java版(力扣)

259 阅读1分钟

最大数值

编写一个方法,找出两个数字a和b中最大的那一个。不得使用if-else或其他比较运算符。

示例:
输入: a = 1, b = 2
输出: 2

题意:找出两个数的最大值,不能使用if-else或其他比较运算符。
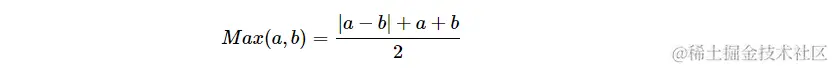
思路:利用数学公式
在这里插入图片描述
求绝对值时,为了不用系统的Math.abs(),我们自己写一个:

long absolute(long a) {
   int flag = (int) (a >> 63); //a为正数flag = 0,a为负数flag = -1
   return (flag ^ a) - flag; //任何数与0异或值不变,任何数与-1异或等价于按位取反
}

正确代码:

class Solution {
    long absolute(long a) {
        int flag = (int) (a >> 63); //a为正数flag = 0,a为负数flag = -1
        return (flag ^ a) - flag; //任何数与0异或值不变,任何数与-1异或等价于按位取反
    }
    public int maximum(int a, int b) {
        long aa=a;
        long bb=b;
        int num=(int)((absolute(aa-bb)+aa+bb)/2);
        return num;
    }
}

完整代码(含测试代码):

package com.Keafmd.day0103;

/**
 * Keafmd
 *
 * @ClassName: Maximum
 * @Description: 最大数值
 * @author: 牛哄哄的柯南
 * @date: 2021-01-03 19:39
 */
public class Maximum {
    public static void main(String[] args) {
        Solution solution = new Solution();
        int a=8,b=-26;
        int result = solution01032.maximum(a,b);
        System.out.println(result);
    }
}


class Solution {
    long absolute(long a) {
        int flag = (int) (a >> 63); //a为正数flag = 0,a为负数flag = -1
        return (flag ^ a) - flag; //任何数与0异或值不变,任何数与-1异或等价于按位取反
    }
    public int maximum(int a, int b) {
        long aa=a;
        long bb=b;
        int num=(int)((absolute(aa-bb)+aa+bb)/2);
        return num;
    }
}

输出结果:

8

Process finished with exit code 0

看完如果对你有帮助,感谢点赞支持!
如果你是电脑端,看到右下角的 “一键三连” 了吗,没错点它[哈哈]

在这里插入图片描述
加油!

共同努力!

Keafmd