每日题解——2021-8-25

179 阅读1分钟

这是我参与8月更文挑战的第25天,活动详情查看:8月更文挑战

797. 所有可能的路径

给你一个有 n 个节点的 有向无环图(DAG),请你找出所有从节点 0 到节点 n-1 的路径并输出(不要求按特定顺序)

二维数组的第 i 个数组中的单元都表示有向图中 i 号节点所能到达的下一些节点,空就是没有下一个结点了。

译者注:有向图是有方向的,即规定了 a→b 你就不能从 b→a 。

 

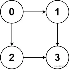
示例 1:

all_1.jpg

输入:graph = [[1,2],[3],[3],[]]
输出:[[0,1,3],[0,2,3]]
解释:有两条路径 0 -> 1 -> 30 -> 2 -> 3

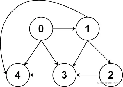
示例 2:

all_2.jpg

输入:graph = [[4,3,1],[3,2,4],[3],[4],[]]
输出:[[0,4],[0,3,4],[0,1,3,4],[0,1,2,3,4],[0,1,4]]

示例 3:

输入:graph = [[1],[]]
输出:[[0,1]]

示例 4:

输入:graph = [[1,2,3],[2],[3],[]]
输出:[[0,1,2,3],[0,2,3],[0,3]]

示例 5:

输入:graph = [[1,3],[2],[3],[]]
输出:[[0,1,2,3],[0,3]]

提示:

n == graph.length
2 <= n <= 15
0 <= graph[i][j] < n
graph[i][j] != i(即,不存在自环)
graph[i] 中的所有元素 互不相同
保证输入为 有向无环图(DAG)

797. All Paths From Source to Target

Given a directed acyclic graph (DAG) of n nodes labeled from 0 to n - 1, find all possible paths from node 0 to node n - 1 and return them in any order.

The graph is given as follows: graph[i] is a list of all nodes you can visit from node i (i.e., there is a directed edge from node i to node graph[i][j]).

 

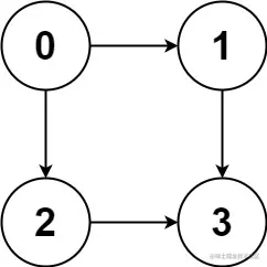
Example 1:

all_1.jpg

Input: graph = [[1,2],[3],[3],[]]
Output: [[0,1,3],[0,2,3]]
Explanation: There are two paths: 0 -> 1 -> 3 and 0 -> 2 -> 3.

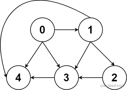
Example 2:

all_2.jpg

Input: graph = [[4,3,1],[3,2,4],[3],[4],[]]
Output: [[0,4],[0,3,4],[0,1,3,4],[0,1,2,3,4],[0,1,4]]

Example 3:

Input: graph = [[1],[]]
Output: [[0,1]]

Example 4:

Input: graph = [[1,2,3],[2],[3],[]]
Output: [[0,1,2,3],[0,2,3],[0,3]]

Example 5:

Input: graph = [[1,3],[2],[3],[]]
Output: [[0,1,2,3],[0,3]]

 

Constraints:

n == graph.length
2 <= n <= 15
0 <= graph[i][j] < n
graph[i][j] != i (i.e., there will be no self-loops).
All the elements of graph[i] are unique.
The input graph is guaranteed to be a DAG.

代码

class Solution {
    List<List<Integer>> ans = new ArrayList<List<Integer>>();
    Deque<Integer> stack = new ArrayDeque<Integer>();

    public List<List<Integer>> allPathsSourceTarget(int[][] graph) {
        stack.offerLast(0);
        dfs(graph, 0, graph.length - 1);
        return ans;
    }

    public void dfs(int[][] graph, int x, int n) {
        if (x == n) {
            ans.add(new ArrayList<Integer>(stack));
            return;
        }
        for (int y : graph[x]) {
            stack.offerLast(y);
            dfs(graph, y, n);
            stack.pollLast();
        }
    }
}