剑指Offer 51 52

122 阅读3分钟

这是我参与8月更文挑战的第25天,活动详情查看:8月更文挑战

剑指 Offer 51. 数组中的逆序对

题目

在数组中的两个数字,如果前面一个数字大于后面的数字,则这两个数字组成一个逆序对。输入一个数组,求出这个数组中的逆序对的总数。

示例 1:

输入: [7,5,6,4]
输出: 5

限制:

0 <= 数组长度 <= 50000

方法一

归并排序:在每次左右两边排好序后,左边自己或者右边自己内部已经没有逆序对;所以,只需要统计左边和右边形成的逆序对;

class Solution {
​
    public int reversePairs(int[] nums) {
        int n = nums.length;
        return dfs(0, n - 1, nums);       
    }
    int dfs(int l, int r, int[] nums) {
        if (l >= r) return 0;
        int mid = (l + r) >> 1, res = 0;
        res += dfs(l, mid, nums);
        res += dfs(mid + 1, r, nums);
​
        int[] tmp = new int[r - l + 1];
        int k = 0, i = l, j = mid + 1;
        while(i <= mid && j <= r) {
            if (nums[i] <= nums[j]) tmp[k ++] = nums[i ++];
            else {
                res += mid - i + 1;
                tmp[k ++] = nums[j ++];
            }
        }
        while (i <= mid) tmp[k ++] = nums[i ++];
        while (j <= r) tmp[k ++] = nums[j ++];
        for (i = l, k = 0; i <= r; i ++ ) nums[i] = tmp[k ++];
        return res;
    }
​
}

时间复杂度: O(nlogn)

空间复杂度: O(n)

剑指 Offer 52. 两个链表的第一个公共节点

题目

输入两个链表,找出它们的第一个公共节点。

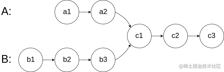
如下面的两个链表

在节点 c1 开始相交。

示例 1:

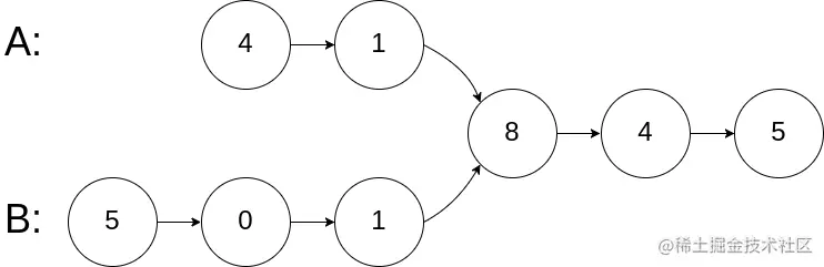
输入:intersectVal = 8, listA = [4,1,8,4,5], listB = [5,0,1,8,4,5], skipA = 2, skipB = 3
输出:Reference of the node with value = 8
输入解释:相交节点的值为 8 (注意,如果两个列表相交则不能为 0)。从各自的表头开始算起,链表 A[4,1,8,4,5],链表 B[5,0,1,8,4,5]。在 A 中,相交节点前有 2 个节点;在 B 中,相交节点前有 3 个节点。

示例 2:

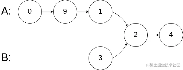
输入:intersectVal = 2, listA = [0,9,1,2,4], listB = [3,2,4], skipA = 3, skipB = 1
输出:Reference of the node with value = 2
输入解释:相交节点的值为 2 (注意,如果两个列表相交则不能为 0)。从各自的表头开始算起,链表 A[0,9,1,2,4],链表 B[3,2,4]。在 A 中,相交节点前有 3 个节点;在 B 中,相交节点前有 1 个节点。

示例 3:

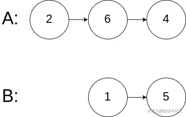
输入:intersectVal = 0, listA = [2,6,4], listB = [1,5], skipA = 3, skipB = 2
输出:null
输入解释:从各自的表头开始算起,链表 A[2,6,4],链表 B[1,5]。由于这两个链表不相交,所以 intersectVal 必须为 0,而 skipA 和 skipB 可以是任意值。
解释:这两个链表不相交,因此返回 null。

注意:

  • 如果两个链表没有交点,返回 null.
  • 在返回结果后,两个链表仍须保持原有的结构。
  • 可假定整个链表结构中没有循环。
  • 程序尽量满足 O(n) 时间复杂度,且仅用 O(1) 内存。

方法一

双指针:两个指针分别指向两个链表的头结点,当两个指针没有相遇,即不相等时,继续往后遍历;若某个指针遍历完了当前链表,则从另一个链表重新开始遍历;直到两个指针相遇或同时为空;

/**
 * Definition for singly-linked list.
 * public class ListNode {
 *     int val;
 *     ListNode next;
 *     ListNode(int x) {
 *         val = x;
 *         next = null;
 *     }
 * }
 */
public class Solution {
    public ListNode getIntersectionNode(ListNode headA, ListNode headB) {
        ListNode q = headA, p = headB;
        while(q != p) {
            if (p == null) p = headA;
            else p = p.next;
            if (q == null) q = headB;
            else q = q.next;
        }
        return q;
    }
}

时间复杂度: O(n)

空间复杂度: O(1)

注意: 还有一种常规一点的做法,首先计算出两个链表的长度差值k,让长链表先走k步,再判断两个指针是否相等。