机器学习 (6) 分类问题

525 阅读4分钟

这是我参与8月更文挑战的第24天,活动详情查看:8月更文挑战

Notes of Andrew Ng’s Machine Learning —— (6) Classification

Intro of Classification

Classification problems are something like giving a patient with a tumor, we have to predict whether the tumor is malignant or benign. It's expected to output discrete values.

The classification problem is just like the regression problem, except that the values we want to predict take on only a small number of discrete values. For now, we will focus on the binary classification problem in which y can take only two values, 0 and 1.

For instance, if we are trying to build a spam classifier for email, then x(i)x^{(i)} may be some features of a piece of email, and yy may be 1 if it is a piece of spam mail, and 0 otherwise. Hence, y{0,1}y \in \{0,1\}. 0 is also called the negative class, and 1 the positive class, and they are sometimes also denoted by the symbols - and +. Given x(i)x^{(i)}, the corresponding y(i)y^{(i)} is also called the label for the training example.

To attempt classification, one method is to use linear refression and map all predictions greater than 0.5 as a 1 and all less than 0.5 as a 0. However, this method doesn't work because classification is not actually a linear function. So what we actually do to solve classification problems is an algorithm named logistic regression. Note that even be called regression, it is actually to do classification.

Logistic Regression

Hypothesis Representation

We could approach the classification problem ignoring the fact that y is discrete-valued, and use our old linear regression algorithm to try to predict y given x. However it is easy to construct examples where this method performs very poorly.

Intuitively, it also doesn't make sense for hθ(x)h_\theta(x) to take values larger than 1 or smaller then 0 when we know that y{0,1}y\in\{0,1\}. To fix this, let's change our hypotheses hθ(x)h_\theta(x) to satisfy 0hθ(x)10 \le h_\theta(x) \le 1. This accomplished by plugging θTx\theta^Tx into the Logistic Function.

The the Simoid Function, also called the Logistic Function is this:

y=11+exy = \frac{1}{1+e^{-x}}

It looks like the following image:

image-20190917162504420

Our new form uses the Simoid Function:

hθ(x)=g(θTx)z=θTxg(z)=11+ez\begin{array}{l}h_\theta(x) = g(\theta^Tx)\\z = \theta^Tx\\g(z) = \frac{1}{1+e^{-z}}\end{array}

The logistic function g(z)g(z) maps any real numbers to the (0,1)(0,1) interval, making it useful for transforming a arbitrary-valued function into a function better suited for classfication.

We can also simply write hθ(x)h_\theta(x) like this:

hθ(X)=11+eθTxh_\theta(X) = \frac{1}{1+e^{-\theta^Tx}}

hθ(x)h_\theta(x) will output the probalility that our output is 1. For example, hθ(x)=0.7h_\theta(x)=0.7 gives us a probability of 70%70\% that our output is 11 (then the probability that it is 0 is 30%):

hθ(x)=P(y=1x;θ)=1P(y=0x;θ)P(y=0x;θ)+P(y=1x;θ)=1\begin{array}{l} h_\theta(x)=P(y=1 \mid x;\theta)=1-P(y=0 \mid x; \theta)\\ P(y=0 \mid x;\theta) + P(y=1 \mid x;\theta) = 1 \end{array}

Decision Boundary

In order to get our discrete 0 or 1 classification, we can translate the output of the hyporithesis function as follows:

hθ(x)0.5y=1hθ(x)<0.5y=0\begin{array}{rcl} h_\theta(x) \ge 0.5 &\Rightarrow& y=1\\ h_\theta(x) < 0.5 &\Rightarrow& y=0 \end{array}

The way our logistic function gg behaves is that when its input is 0\ge 0, its output is 0.5\ge 0.5:

g(z)0.5whenz0g(z) \ge 0.5 \quad when \quad z \ge 0

In fact, we know that:

z,eg(z)0z0,e01g(z)0.5z+,e0g(z)1\begin{array}{lclcl} z \to -\infin &,& e^{\infin} \to \infin & \Rightarrow & g(z) \to 0\\ z \to 0 &,& e^{0} \to 1 & \Rightarrow & g(z) \to 0.5\\ z \to +\infin &,& e^{-\infin} \to 0 & \Rightarrow & g(z) \to 1 \end{array}

So if our input to gg is θTX\theta^TX, then that means:

hθ(X)=g(θTX)0.5whenθTX0h_\theta(X) = g(\theta^TX) \ge 0.5 \quad when \quad \theta^TX \ge 0

From these statements we can now say:

θTX0y=1θTX0y=0\begin{array}{rcl} \theta^TX \ge 0 &\Rightarrow& y=1\\ \theta^TX \le 0 &\Rightarrow& y=0\\ \end{array}

The decision boundary is the line that separates the area where y=0y=0 and where y=1y=1. It is created by our hypothesis function.

Example:

θ=[510]\theta=\left[ \begin{array}{c} 5\\ -1\\ 0 \end{array} \right]

In this case, y=1y=1 if 5+(1)x1+0x205+(-1)x_1+0x_2 \ge 0 , i.e. x15x_1 \le 5. Our boundary is a straight vertical line placed on the graph where x1=5x_1=5, and everything to the left of that denotes y=1y=1, while everything to the right denotes y=0y=0:

image-20190917173722734

Another example:

image-20190917173931467

Non-linear decision boundaries:

The input to the sigmoid function g(z) (e.g. θTX\theta^TX) doesn't need to be linear, and could be a function that describes a circle (e.g. z=θ0+θ1x12+θ2x22z=\theta_0+\theta_1x_1^2+\theta_2x_2^2) or any shape to fit our data.

Example:

image-20190917174144868

Logistic Regression Model

In this part, we will implement the logistic regression model.

Training set:{(x(1),y(1)),(x(2),y(2)),,(x(m),y(m))}m examples:x[x0x1xn]where (x0=1),y{0,1}Hypothesis:hθ(x)=11+eθTx\begin{array}{rcl} \textrm{Training set} &:& \{(x^{(1)},y^{(1)}), (x^{(2)},y^{(2)}), \ldots, (x^{(m)},y^{(m)})\}\\ \\ \textrm{m examples} &:& x \in \left[\begin{array}{c} x_0\\x_1\\ \vdots \\ x_n \end{array}\right] \textrm{where }(x_0=1) ,\quad y \in \{0,1\}\\ \\ \textrm{Hypothesis} &:& h_\theta(x)=\frac{1}{1+e^{-\theta^Tx}} \end{array}

Cost Function

If we use the same cost function that we use for linear regression (J(θ)=1mi=1m12(hθ(x(i))y(i))2J(\theta)=\frac{1}{m}\sum_{i=1}^m\frac{1}{2}(h_\theta(x^{(i)})-y^{(i)})^2) for logistic regression, it will be non-convex (that looks wavy), which is causing many local optima and hard to find the global minimum.

屏幕快照 2019-09-19 22.49.53

So, what we actually need is our new Logistic Regression Cost Function, which guarantees that J(θ)J(\theta) is convex for logistic regression.

J(θ)=1mi=1mCost(hθ(x(i),y(i)))Cost(hθ(x),y)={log(hθ(x)) ify=1log(1hθ(x)) ify=0\begin{array}{l} J(\theta)=\frac{1}{m}\sum_{i=1}^{m}Cost(h_\theta(x^{(i)},y^{(i)}))\\ \\ Cost(h_\theta(x),y)=\left\{\begin{array}{rl} -log(h_\theta(x)) & \textrm{ if}\quad y=1\\ -log(1-h_\theta(x)) & \textrm{ if}\quad y=0 \end{array}\right. \end{array}

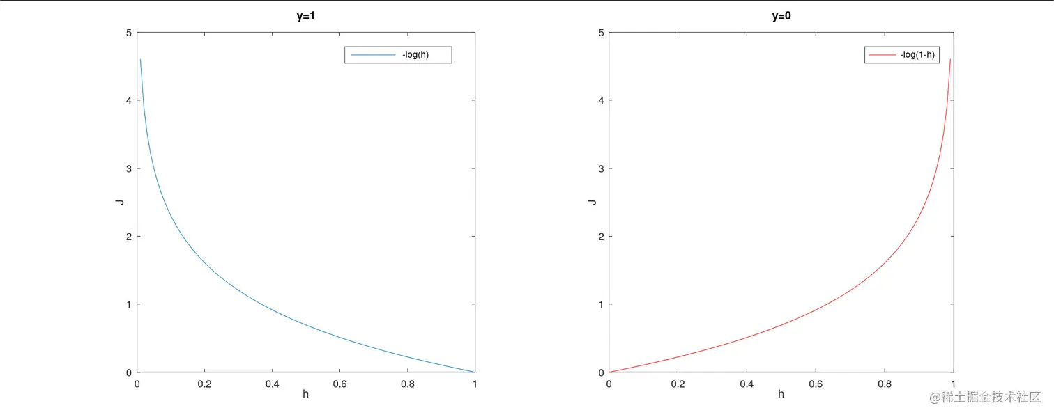
The “J(θ)J(\theta)-hθ(x)h_\theta(x)” plots is like this:

屏幕快照 2019-09-19 23.23.39

Let's take a look at the Cost(hθ(x),y)Cost(h_\theta(x),y) :

Cost(hθ(x),y)=0ifhθ(x)=yCost(hθ(x),y)ify=0&hθ(x)1Cost(hθ(x),y)ify=1&hθ(x)0\begin{array}{lcl}Cost(h_\theta(x),y) = 0 &\textrm{if}& h_\theta(x)=y\\Cost(h_\theta(x),y) \to \infin &\textrm{if}& y=0 \quad\&\quad h_\theta(x) \to 1\\Cost(h_\theta(x),y) \to \infin &\textrm{if}& y=1 \quad\&\quad h_\theta(x) \to 0\\\end{array}

If our correct answer 'y' is 0, then the cost function will be 0 if our hypothesis function also outputs 0. If our hypothesis approaches 1, then the cost function will approach infinity.

If our correct answer 'y' is 1, then the cost function will be 0 if our hypothesis function outputs 1. If our hypothesis approaches 0, then the cost function will approach infinity.

Simplified Cost Function

We can simplify the CostCost function by compressing the two conditional cases into one case:

Cost(hθ(x),y)=ylog(hθ(x))(1y)log(1hθ(x))Cost(h_\theta(x),y)=-y \cdot log(h_\theta(x))-(1-y) \cdot log(1-h_\theta(x))

In this definition, when y=0y=0, the term (1y)log(1hθ(x))-(1-y) \cdot log(1-h_\theta(x)) will be 00; when y=0y=0, the term ylog(hθ(x))-y \cdot log(h_\theta(x)) will be 00. Obviously, this is equal to the previous one but more easy to implement.

Now, we can fully write out our entire cost function as follow:

J(θ)=1mi=1m[y(i)log(hθ(x))+(1y(i))log(1hθ(x(i)))]J(\theta)=-\frac{1}{m}\sum_{i=1}^m\Bigg[y^{(i)}log\Big(h_\theta(x)\Big)+(1-y^{(i)})log\Big(1-h_\theta(x^{(i)})\Big)\Bigg]

And a vectorized implementation is:

h=g(Xθ)J(θ)=1m(yTlog(h)(1y)Tlog(1h))\begin{array}{l} h=g(X\theta)\\ J(\theta)=\frac{1}{m}\cdot\big(-y^T log(h) -(1-y)^T log(1-h)\big) \end{array}

Gradient Descent

The general form of gradient descent is:

Repeat{θj:=θjαθjJ(θ)}\begin{array}{l} Repeat \quad \{\\ \qquad \theta_j:=\theta_j-\alpha\frac{\partial}{\partial\theta_j}J(\theta)\\ \} \end{array}

Work out the derivative part using calculus to get:

Repeat{θj:=θjαmi=1m(hθ(x(i))y(i))xj(i)}\begin{array}{l} Repeat \quad \{\\ \qquad \theta_j:=\theta_j-\frac{\alpha}{m}\sum_{i=1}^m(h_\theta(x^{(i)})-y^{(i)})\cdot x_j^{(i)}\\ \} \end{array}

Actually, this algorithm is identical to the one we used in linear regression. And notice that we still have to simultaneously update all values in theta.

Vectorized implementation:

θ:=θαmXT(g(Xθ)y)\theta:=\theta-\frac{\alpha}{m}X^T(g(X\theta)-\overrightarrow{y})

Advanced Optimization

There are many more sophisticated, faster ways to optimize θ\theta that can be used instead of gradient descent, such as "Conjugate gradient", "BFGS" and "L-BFGS".

We are not suggest to write these more sophisticated algorithms ourself but use the libraries instead, as they're already tested and highly optimized. Octave provides them.

We can use octave's fminunc() optimization algorithm to do that.

To use this advanced optimization, we first need to provide a function that evaluates the following two functions for a given inpuit value θ\theta:

J(θ),θjJ(θ)J(\theta), \qquad \frac{\partial}{\partial\theta_j}J(\theta)

We can write a single function that retunrs both of these:

function [jVal, gradient] = costFunction(theta)
	jVal = <code to compute J(theta)>
	gradient = <code to compute derivative of J(theta)>
end

Then we are going to set a optimset and a initial theta as well, then send them to fminunc():

options = optimset('GradObj', 'on', 'MaxIter', 100);
initialTheta = zeros(2, 1);

[optTheta, functionVal, exitFlag] = fminunc(@costFunction, initialTheta, options);

Multiclass Classification

Now we will approach the classification of data when we have more than two categories. Instead of y={0,1}y=\{0,1\} we will expand our definition so that y={0,1...n}y=\{0,1...n\}.

Since y={0,1...n}y=\{0,1...n\}, we divide our problem into n+1n+1 (+1+1 because the index starts at 00) binary classification problems; in each one, we predict the probability that 'yy' is a member of one of our classes.

y{0,1,,n}hθ(0)(x)=P(y=0x;θ)hθ(0)(x)=P(y=0x;θ)hθ(0)(x)=P(y=0x;θ)prediction=maxθ(hθ(i)(x))\begin{array}{l} y \in \{0,1,\cdots,n\}\\\\ h_\theta^{(0)}(x)=P(y=0|x;\theta)\\ h_\theta^{(0)}(x)=P(y=0|x;\theta)\\ \vdots\\ h_\theta^{(0)}(x)=P(y=0|x;\theta)\\\\ prediction = \mathop{max}\limits_{\theta}\big(h_\theta^{(i)}(x)\big) \end{array}

We are basically choosing one class and then lumping all the others into a single second class. We do this repeatedly, applying binary logistic regression to each case, and then use the hypothesis that returned the highest value as our prediction.

The following image shows how one could classify 3 classes:

img

To summarize:

Train a logistic regression classifier hθ(x)h_\theta(x) for each class to predict the probability that  y=iy=i . To make a prediction on a new xx, pick the class that maximizes hθ(x)h_\theta(x).