手撸二叉树之二叉树的坡度

1,209 阅读3分钟

这是我参与8月更文挑战的第 24 天,活动详情查看:8月更文挑战

Hello, 大家好,今天是我参加8月更文的第 24 天,今天给大家带来的关于二叉树相关的算法题是二叉树的坡度,正文如下:

题目

给定一个二叉树,计算 整个树 的坡度 。

一个树的 节点的坡度 定义即为,该节点左子树的节点之和和右子树节点之和的 差的绝对值 。如果没有左子树的话,左子树的节点之和为 0 ;没有右子树的话也是一样。空结点的坡度是 0 。

整个树 的坡度就是其所有节点的坡度之和。

示例1:

image

输入:root = [1,2,3]
输出:1
解释:
节点 2 的坡度:|0-0| = 0(没有子节点)
节点 3 的坡度:|0-0| = 0(没有子节点)
节点 1 的坡度:|2-3| = 1(左子树就是左子节点,所以和是 2 ;右子树就是右子节点,所以和是 3 )
坡度总和:0 + 0 + 1 = 1

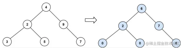
示例2

image

输入:root = [4,2,9,3,5,null,7]
输出:15
解释:
节点 3 的坡度:|0-0| = 0(没有子节点)
节点 5 的坡度:|0-0| = 0(没有子节点)
节点 7 的坡度:|0-0| = 0(没有子节点)
节点 2 的坡度:|3-5| = 2(左子树就是左子节点,所以和是 3 ;右子树就是右子节点,所以和是 5 )
节点 9 的坡度:|0-7| = 7(没有左子树,所以和是 0 ;右子树正好是右子节点,所以和是 7 )
节点 4 的坡度:|(3+5+2)-(9+7)| = |10-16| = 6(左子树值为 3、5 和 2 ,和是 10 ;右子树值为 9 和 7 ,和是 16 )
坡度总和:0 + 0 + 0 + 2 + 7 + 6 = 15

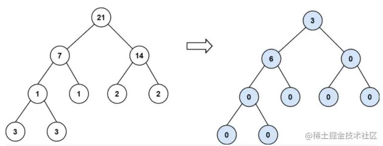
示例3:

image

输入:root = [21,7,14,1,1,2,2,3,3]
输出:9

解题思路

根据题意可知,树的坡度就是其所有节点的坡度之和,所以我们可以设计递归函数计算每个节点的坡度。

具体思路如下:

  1. 要计算每个节点的坡度,就要计算每个节点的 左子树的节点之和 与 右子树的节点之和;
  2. 左子树的节点之和 = 左子树根节点的值 + 左子树的左子树节点之和 + 左子树的右子树节点之和;
  3. 继续这样分解下去,直到分解到空树,空树的节点之和为0,作为递归出口;

代码实现

/**
 * Definition for a binary tree node.
 * public class TreeNode {
 *     int val;
 *     TreeNode left;
 *     TreeNode right;
 *     TreeNode() {}
 *     TreeNode(int val) { this.val = val; }
 *     TreeNode(int val, TreeNode left, TreeNode right) {
 *         this.val = val;
 *         this.left = left;
 *         this.right = right;
 *     }
 * }
 */
class Solution {
    // 坡度
    private int tilt = 0;
    public int findTilt(TreeNode root) {
        traverse(root);
        return tilt;
    }

    public int traverse(TreeNode root) {
        // 终止条件,空树的节点之和为0
        if (root == null) {
            return 0;
        } 
        // 计算当前节点的左子树节点之和
        int left = traverse(root.left);
        // 计算当前节点的右子树节点之和
        int right = traverse(root.right);
        // 计算当前节点的坡度并加入结果
        tilt += Math.abs(left - right);
        // 返回以当前节点为根的整棵树的节点之和
        return left + right + root.val;
    }
}

最后

复杂度分析:

  • 时间复杂度:O(n),其中 n 是结点的数目。每个结点访问一次。

  • 空间复杂度:递归使用栈辅助空间,空间复杂度为O(n)。